200 bài tập trắc nghiệm Phương pháp tọa độ trong không gian có lời giải (cơ bản - phần 4)
Với 200 bài tập trắc nghiệm Phương pháp tọa độ trong không gian có lời giải chi tiết sẽ giúp học sinh ôn tập, biết cách làm bài tập trắc nghiệm Phương pháp tọa độ trong không gian.
200 bài tập trắc nghiệm Phương pháp tọa độ trong không gian có lời giải (cơ bản - phần 4)
(199k) Học Toán 12 KNTTHọc Toán 12 CDHọc Toán 12 CTST
Bài 1: Trong không gian Oxyz, cho điểm M(a;b;1) thuộc mặt phẳng (P): 2x - y + z - 3 = 0. Mệnh đề nào dưới đây đúng?
A. 2a - b = 3.
B. 2a - b = 2.
C. 2a - b = -2.
D. 2a - b = 4.
Lời giải:
Đáp án: B.
Điểm M(a;b;1) thuộc mặt phẳng (P): 2x - y + z - 3 = 0 nên ta có:
2a - b + 1 - 3 = 0 ⇔ 2a - b = 2.
Bài 2: Góc giữa 2 mặt phẳng (P): 8x - 4y - 8z - 11 = 0 và (Q): √2x - √2y + 7 = 0 bằng:
A. 90o.
B. 30o.
C. 45o.
D. 60o.
Lời giải:
Đáp án: C.
Suy ra góc giữa (P) và (Q) bằng 45o.
Bài 3: Trong không gian với hệ tọa độ Oxyz, cho (P): 3x - 4y + 2z + 4 = 0 và điểm A(1;-2;3). Tính khoảng cách từ A đến (P).
Lời giải:
Đáp án: C.
Bài 4: Trong không gian với hệ trục tọa độ Oxyz, cho mặt phẳng (P): 3x+ 4y + 2z + 4 = 0 và điểm A(1;-2;3). Tính khoảng cách d từ A đến mặt phẳng (P).
Lời giải:
Đáp án: D.
Bài 5: Trong không gian với hệ trục tọa độ Oxyz cho mặt phẳng (P): 2x + y - 2z - 6 = 0. Tính khoảng cách từ O đến (P).
A. 3.
B. 2/3.
C. -2.
D. 2.
Lời giải:
Đáp án: D.
Bài 6: Trong không gian với hệ tọa độ Oxyz, cho điểm M(-1;2;-5). Tính khoảng cách từ điểm M đến mặt phẳng (Oxy).
A. √30.
B. √5.
C. 25.
D. 5.
Lời giải:
Đáp án: D.
Khoảng cách từ điểm M tới (Oxy) là |zM| = |-5| = 5.
Bài 7: Trong không gian Oxyz, cho mặt phẳng (P): 2x - 2y + z + 5 = 0. Tính khoảng cách từ điểm M(-1;2;-3) đến mặt phẳng (P).
Lời giải:
Đáp án: A.
Khoảng cách từ điểm M đến mặt phẳng (P) là:
Bài 8: Trong không gian Oxyz, cho ba điểm A(1;0;0), B(0;-1;0) và C(0;0;2). Khoảng cách từ gốc tọa độ đến mặt phẳng (ABC) bằng:
Lời giải:
Đáp án: A.
Sử dụng phương trình mặt phẳng theo đoạn chắn, ta có phương trình mặt phẳng (ABC):
Bài 9: Cho điểm H(-3;-4;6) và mặt phẳng (Oxz). Hỏi khoảng cách từ điểm H đến mặt phẳng (Oxz) bằng bao nhiêu?
A. d(H;(Oxz)) = 4.
B. d(H;(Oxz)) = 3.
C. d(H;(Oxz)) = 6.
D. d(H;(Oxz)) = 8.
Lời giải:
Đáp án: A.
Mặt phẳng (Oxz): y = 0.
Khoảng cách từ điểm H đến mặt phẳng (Oxz) là d(H;(Oxz)) = |yH| = 4.
Bài 10: Trong không gian với hệ tọa độ Oxyz, cho hai điểm A(1;-2;-1), B(1;4;3). Độ dài của đoạn AB là:
A. 3.
B. √6.
C. 2√3.
D. 2√13.
Lời giải:
Đáp án: D.
Ta có AB⟶= (0;6;4). Khi đó độ dài đoạn AB là:
Bài 11: Lập phương trình của mặt phẳng đi qua A(2;6;-3) và song song với mặt phẳng (Oyz).
A. x = 2.
B. x + z = 12.
C. y = 6.
D. z = -3.
Lời giải:
Đáp án: A.
Mặt phẳng song song với (Oyz) có dạng x + d = 0 (d ≠ 0).
Mặt phẳng đi qua A nên d = -2 ⇒ mặt phẳng cần tìm là x - 2 = 0 hay x = 2.
Bài 12: Trong không gian Oxyz, phương trình mặt phẳng tiếp xúc với mặt cầu (S): (x - 1)2 + (y - 2)2 + (z - 3)2 = 81 tại điểm P(-5;-4;6) là:
A. 7x + 8y + 67 = 0.
B. 4x + 2y - 9z + 82 = 0.
C. x - 4z + 29 = 0.
D. 2x + 2y - z + 24 = 0.
Lời giải:
Đáp án: D.
Mặt cầu (S) có tâm I(1;2;3).
Gọi (α) là mặt phẳng cần tìm. Do (α) tiếp xúc với (S) tại P nên mặt phẳng (α) đi qua P và có véc-tơ pháp tuyến n→= IP⟶= (-6;-6;3).
Phương trình mặt phẳng (α) là:
-6(x + 5) - 6(y + 4) + 3(z - 6) = 0 ⇔ 2x + 2y - z + 24 = 0.
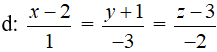
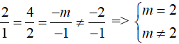
Bài 13: Trong không gian với hệ tọa độ Oxyz, cho hai mặt phẳng (α): x + 2y - z - 1 = 0 và (β): 2x + 4y - mz - 2 = 0. Tìm m để hai mặt phẳng (α) và (β) song song với nhau.
A. m = 1.
B. Không tồn tại m.
C. m = -2.
D. m = 2.
Lời giải:
Đáp án: B.
Mặt phẳng (α) song song với mặt phẳng (β) khi và chỉ khi:
Hệ này vô nghiệm nên không có giá trị của m thỏa mãn.
Bài 14: Trong không gian Oxyz, cho mặt cầu (S) tâm O(0;0;0) và tiếp xúc với mặt phẳng (α): 2x + y + 2z - 6 = 0. Tính bán kính của (S).
A. 1.
B. 3.
C. 2.
D. 6.
Lời giải:
Đáp án: C.
Ta có bán kính của (S) là:
Bài 15: Trong không gian với hệ tọa độ Oxyz, cho đường thẳng d: x = 1 - 2t ; y = 1 + t; z = t + 2 (t ∈ R). Tìm một véc-tơ chỉ phương của đường thẳng d.
A. (-2;1;2).
B. (-2;1;1).
C. (1;1;1).
D. (2;-1;-2).
Lời giải:
Đáp án: B.
Đường thẳng d có vec tơ chỉ phương là u→= (-2;1;1).
Bài 16: Trong không gian với hệ trục tọa độ Oxyz, cho đường thẳng:
Véc-tơ nào sau đây là véc-tơ chỉ phương của d?
A. u4→= (1;2;5).
B. u3→= (1;-3;-1).
C. u1→= (0;3;-1).
D. u2→= (1;3;-1).
Lời giải:
Đáp án: C.
Véc-tơ chỉ phương của đường thẳng d là u1→= (0;3;-1).
Bài 17: Trong không gian Oxyz, cho mặt phẳng (P): x - 2y - 3z - 2 = 0. Đường thẳng d vuông góc với mặt phẳng (P) có một véc-tơ chỉ phương có tọa độ là:
A. (1;-2;2).
B. (1;-2;-3).
C. (1;2;3).
D. (1;-3;-2).
Lời giải:
Đáp án: B.
Mặt phẳng (P) có một véc-tơ pháp tuyến là n→= (1;-2;-3).
Do d ⊥ (P) nên véc-tơ n→= (1;-2;-3) cũng là một véc-tơ chỉ phương của d.
Bài 18: Trong không gian với hệ tọa độ Oxyz, cho đường thẳng:
Đường thẳng d có một véc-tơ chỉ phương là:
A. a→= (-1;1;2).
B. a→= (3;2;1).
C. a→= (1;-1;-2).
D. a→= (3;-2;1).
Lời giải:
Đáp án: D.
Đường thẳng có một véc-tơ chỉ phương là a→= (3;-2;1).
Bài 19: Trong không gian Oxyz cho đường thẳng:
Đường thẳng d song song với Δ có một véc-tơ chỉ phương là:
A. u1→= (0;2;-1).
B. u2→= (3;2;1).
C. u3→= (0;-1;1).
D. u4→= (3;2;-1).
Lời giải:
Đáp án: D.
Đường thẳng Δ có một véc-tơ chỉ phương là u→= (3;2;-1) nên đường thẳng song song với Δ nhận u→làm véc-tơ chỉ phương.
Bài 20: Trong không gian tọa độ Oxyz, cho đường thẳng:
Véc-tơ nào dưới đây không phải là một véc-tơ chỉ phương của đường thẳng d?
A. a→= (2;1;3).
B. b→= (2;-1;-3).
C. c→= (-2;1;3).
D. d→= (6;-3;-9).
Lời giải:
Đáp án: A.
Dễ thấy, a→= (2;1;3) không phải là một véc-tơ chỉ phương của đường thẳng d.
Bài 21: Trong không gian với hệ tọa độ Oxyz, cho hai điểm A(0;-1;-2) và B(2;2;2). Véc-tơ a→nào dưới đây là một véc-tơ chỉ phương của đường thẳng AB?
A. a→= (2;1;0).
B. a→= (2;3;4).
C. a→= (-2;1;0).
D. a→= (2;3;0).
Lời giải:
Đáp án: B.
Ta có AB⟶= (2;3;4). Suy ra véc-tơ a→= (2;3;4) là một véc-tơ chỉ phương của đường thẳng AB.
Bài 22: Trong không gian với hệ trục tọa độ Oxyz, cho hai điểm A(1;1;0) và B(0;1;2). Véc-tơ nào dưới đây là véc-tơ chỉ phương của đường thẳng AB?
A. a→= (-1;0;-2).
B. b→= (-1;0;2).
C. c→= (1;2;2).
D. d→= (-1;1;2).
Lời giải:
Đáp án: B.
Ta có AB⟶= (-1;0;2) là một véc-tơ chỉ phương của đường thẳng AB.
Bài 23: Trong không gian với hệ tọa độ Oxyz, véc-tơ nào dưới đây là một véc-tơ chỉ phương của Oz?
A. j→= (0;1;0).
B. i→= (1;0;0).
C. m→= (1;1;1).
D. k→= (0;0;1).
Lời giải:
Đáp án: D.
Trục Oz có một véc-tơ chỉ phương là k→= (0;0;1).
Bài 24: Trong không gian Oxyz, cho đường thẳng:
Đường thẳng d có một véc-tơ chỉ phương là:
A. u3→= (2;-3;0).
B. u1→= (2;-3;4).
C. u4→= (1;2;4).
D. u2→= (1;2;0).
Lời giải:
Đáp án: B.
Đường thẳng d có một véc-tơ chỉ phương u→= (2;-3;4).
Bài 25: Trong không gian với hệ trục tọa độ Oxyz, cho đường thẳng:
Véc-tơ chỉ phương u→của d và điểm M thuộc đường thẳng d là:
A. u→= (6;-2;8), M(3;-1;4).
B. u→= (2;3;-5), M(3;-1;4).
C. u→= (3;-1;4), M(1;3;-4).
D. u→= (6;-2;8), M(2;3;-5).
Lời giải:
Đáp án: D.
Ta có u→= (6;-2;8) = 2(3;-1;4), M(2;3;-5).
Bài 26: Trong không gian với hệ tọa độ Oxyz, cho đường thẳng:
Véc-tơ nào trong các véc-tơ sau đây không là véc-tơ chỉ phương của đường thẳng d?
A. u1→= (2;-2;2).
B. u2→= (-3;3;-3).
C. u3→= (4;-4;4).
D. u4→= (1;1;1).
Lời giải:
Đáp án: D.
Đường thẳng d có một véc-tơ chỉ phương là u→= (1;-1;1). Ta thấy véc-tơ u4→không cùng phương với u→suy ra u4→không là véc-tơ chỉ phương của đường thẳng d.
Bài 27: Trong không gian với hệ tọa độ Oxyz, cho đường thẳng:
Một véc-tơ chỉ phương của đường thẳng (d) có tọa độ là:
A. (0;-2;-4).
B. (0;2;4).
C. (3;-1;1).
D. (3;-1;0).
Lời giải:
Đáp án: C.
Đường thẳng có một véc-tơ chỉ phương có tọa độ là (3;-1;1).
Bài 28: Trong không gian với hệ tọa độ Oxyz, cho hai điểm A(1;1;0) và B(0;1;2). Véc-tơ nào dưới đây là một véc-tơ chỉ phương của đường thẳng AB?
A. a→= (-1;0;-2).
B. b→= (-1;0;2).
C. c→= (1;2;2).
D. d→= (-1;1;2).
Lời giải:
Đáp án: B.
AB⟶= (-1;0;2) là một véc-tơ chỉ phương của đường thẳng AB.
Bài 29: Trong không gian Oxyz, cho đường thẳng:
Véc-tơ nào sau đây là một véc-tơ chỉ phương của d?
A. u→= (1;3;-2).
B. u→= (-1;3;2).
C. u→= (2;-1;3).
D. u→= (-2;1;-3).
Lời giải:
Đáp án: B.
d có một véc-tơ chỉ phương là d là u→= (-1;3;2).
Bài 30: Trong không gian Oxyz, cho đường thẳng:
Một véc-tơ chỉ phương của đường thẳng d là:
A. u→= (2;3;1).
B. u→= (-2;-1;3).
C. u→= (2;1;-1).
D. u→= (-2;1;-3).
Lời giải:
Đáp án: C.
Phương trình đường thẳng có dạng:
với (a;b;c) là một véc-tơ chỉ phương.
Vậy u→= (2;1;-1).
Bài 31: Trong không gian Oxyz, cho đường thẳng:
Đường thẳng d có một véc-tơ chỉ phương là:
A. u1→= (-3;2;4).
B. u2→= (-2;-1;3).
C. u3→= (3;2;4).
D. u4→= (-2;-1;3).
Lời giải:
Đáp án: A.
Ta có u→_ {d} = (-3;2;4).
Bài 32: Trong không gian với hệ tọa độ Oxyz, cho A(1;-2;1), B(2;1;-1), véc-tơ chỉ phương của đường thẳng AB là:
A. u→= (1;-1;-2).
B. u→= (3;-1;0).
C. u→= (1;3;-2).
D. u→= (1;3;0).
Lời giải:
Đáp án: C.
Véc-tơ chỉ phương của đường thẳng AB là u→= AB⟶= (1;3;-2).
Bài 33: Trong không gian với hệ tọa độ Oxyz, cho đường thẳng d vuông góc với mặt phẳng (P): 4x - z + 3 = 0. Véc-tơ nào dưới đây là một véc-tơ chỉ phương của đường thẳng d?
A. u1→= (4;1;-1).
B. u2→= (4;-1;3).
C. u3→= (4;0;-1).
D. u4→= (4;1;3).
Lời giải:
Đáp án: C.
Mặt phẳng (P) có một véc-tơ pháp tuyến là n→= (4;0;-1), do đường thẳng d ⊥ (P), nên véc-tơ pháp tuyến của mặt phẳng (P) cũng là véc-tơ chỉ phương của đường thẳng d.
Bài 34: Cho đường thẳng Δ đi qua điểm M(2;0;-1) và có véc-tơ chỉ phương a→= (4;-6;2). Phương trình tham số của đường thẳng Δ là:
Lời giải:
Đáp án: A.
Do (2;-2;1) cũng là véc-tơ chỉ phương nên phương trình tham số là:
Bài 35: Trong không gian với hệ tọa độ Oxyz, cho đường thẳng d đi qua điểm A(1;2;3) và vuông góc với mặt phẳng (α): 4x + 3y - 7z + 1 = 0. Phương trình tham số của d là:
Lời giải:
Đáp án: D.
Đường thẳng d vuông góc với mặt phẳng (α) nên nhận véc-tơ nα→làm véc-tơ chỉ phương. Suy ra, phương trình đường thẳng:
Bài 36: Trong không gian với hệ tọa độ Oxyz, phương trình đường thẳng d đi qua hai điểm A(0;1;2), B(1;3;4) là:
Lời giải:
Đáp án: B.
Ta có AB⟶= (1;2;2) là một véc-tơ chỉ phương của đường thẳng d.
d đi qua điểm B(1;3;4), nên có phương trình là:
Bài 37: Trong không gian với hệ tọa độ Oxyz, phương trình nào sau đây là phương trình chính tắc của đường thẳng đi qua hai điểm A(1;2;-3) và B(7;0;-1)?
Lời giải:
Đáp án: D.
Đường thẳng AB nhận véc-tơ làm véc-tơ chỉ phương. Do đó phương trình chính tắc của đường thẳng AB là:
Bài 38: Trong không gian Oxyz, cho điểm M(1;1;2) và mặt phẳng (P): 2x - y + 3z + 1 = 0. Đường thẳng đi qua điểm M và vuông góc với mặt phẳng (P) có phương trình:
Lời giải:
Đáp án: B.
Đường thẳng (d) qua điểm M(1;1;2) và vuông góc (P) nên có một véc-tơ chỉ phương là ud→= nP→= (2;-1;3).
Vậy d có phương trình:
Bài 39: Trong không gian với hệ trục tọa độ Oxyz cho M(1;-2;1), N(0;1;3). Phương trình đường thẳng qua hai điểm M, N là:
Lời giải:
Đáp án: C.
Đường thẳng MN đi qua N(0;1;3) và có một véc-tơ chỉ phương là MN⟶= (-1;3;2) có phương trình là:
Bài 40: Trong không gian với hệ tọa độ Oxyz, phương trình đường thẳng đi qua hai điểm A(1;1;2) và B(2;-1;0) là:
Lời giải:
Đáp án: B.
Ta có AB⟶= (1;-2;-2). Phương trình đường thẳng AB đi qua B(2;-1;0) nhận véc-tơ AB⟶làm véc-tơ chỉ phương nên có phương trình là:
(199k) Học Toán 12 KNTTHọc Toán 12 CDHọc Toán 12 CTST
Xem thêm các dạng bài tập Toán lớp 12 có trong đề thi Tốt nghiệp THPT khác:
- 200 bài tập trắc nghiệm Phương pháp tọa độ trong không gian có lời giải (cơ bản - phần 1)
- 200 bài tập trắc nghiệm Phương pháp tọa độ trong không gian có lời giải (cơ bản - phần 2)
- 200 bài tập trắc nghiệm Phương pháp tọa độ trong không gian có lời giải (cơ bản - phần 3)
- 200 bài tập trắc nghiệm Phương pháp tọa độ trong không gian có lời giải (cơ bản - phần 5)
Đã có app VietJack trên điện thoại, giải bài tập SGK, SBT Soạn văn, Văn mẫu, Thi online, Bài giảng....miễn phí. Tải ngay ứng dụng trên Android và iOS.
Theo dõi chúng tôi miễn phí trên mạng xã hội facebook và youtube:Nếu thấy hay, hãy động viên và chia sẻ nhé! Các bình luận không phù hợp với nội quy bình luận trang web sẽ bị cấm bình luận vĩnh viễn.
- Giải Tiếng Anh 12 Global Success
- Giải sgk Tiếng Anh 12 Smart World
- Giải sgk Tiếng Anh 12 Friends Global
- Lớp 12 Kết nối tri thức
- Soạn văn 12 (hay nhất) - KNTT
- Soạn văn 12 (ngắn nhất) - KNTT
- Giải sgk Toán 12 - KNTT
- Giải sgk Vật Lí 12 - KNTT
- Giải sgk Hóa học 12 - KNTT
- Giải sgk Sinh học 12 - KNTT
- Giải sgk Lịch Sử 12 - KNTT
- Giải sgk Địa Lí 12 - KNTT
- Giải sgk Giáo dục KTPL 12 - KNTT
- Giải sgk Tin học 12 - KNTT
- Giải sgk Công nghệ 12 - KNTT
- Giải sgk Hoạt động trải nghiệm 12 - KNTT
- Giải sgk Giáo dục quốc phòng 12 - KNTT
- Giải sgk Âm nhạc 12 - KNTT
- Giải sgk Mĩ thuật 12 - KNTT
- Lớp 12 Chân trời sáng tạo
- Soạn văn 12 (hay nhất) - CTST
- Soạn văn 12 (ngắn nhất) - CTST
- Giải sgk Toán 12 - CTST
- Giải sgk Vật Lí 12 - CTST
- Giải sgk Hóa học 12 - CTST
- Giải sgk Sinh học 12 - CTST
- Giải sgk Lịch Sử 12 - CTST
- Giải sgk Địa Lí 12 - CTST
- Giải sgk Giáo dục KTPL 12 - CTST
- Giải sgk Tin học 12 - CTST
- Giải sgk Hoạt động trải nghiệm 12 - CTST
- Giải sgk Âm nhạc 12 - CTST
- Lớp 12 Cánh diều
- Soạn văn 12 Cánh diều (hay nhất)
- Soạn văn 12 Cánh diều (ngắn nhất)
- Giải sgk Toán 12 Cánh diều
- Giải sgk Vật Lí 12 - Cánh diều
- Giải sgk Hóa học 12 - Cánh diều
- Giải sgk Sinh học 12 - Cánh diều
- Giải sgk Lịch Sử 12 - Cánh diều
- Giải sgk Địa Lí 12 - Cánh diều
- Giải sgk Giáo dục KTPL 12 - Cánh diều
- Giải sgk Tin học 12 - Cánh diều
- Giải sgk Công nghệ 12 - Cánh diều
- Giải sgk Hoạt động trải nghiệm 12 - Cánh diều
- Giải sgk Giáo dục quốc phòng 12 - Cánh diều
- Giải sgk Âm nhạc 12 - Cánh diều


Giải bài tập SGK & SBT
Tài liệu giáo viên
Sách
Khóa học
Thi online
Hỏi đáp

