200 bài tập trắc nghiệm Phương pháp tọa độ trong không gian có lời giải (cơ bản - phần 5)
Với 200 bài tập trắc nghiệm Phương pháp tọa độ trong không gian (cơ bản - phần 5) có lời giải chi tiết sẽ giúp học sinh ôn tập, biết cách làm bài tập trắc nghiệm Phương pháp tọa độ trong không gian (cơ bản - phần 5)
200 bài tập trắc nghiệm Phương pháp tọa độ trong không gian có lời giải (cơ bản - phần 5)
(199k) Học Toán 12 KNTTHọc Toán 12 CDHọc Toán 12 CTST
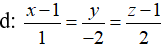
Bài 1: Trong không gian toạ độ Oxyz, cho hai điểm A(0;1;-1) và B(1;0;2). Đường thẳng AB có phương trình chính tắc là:
Lời giải:
Đáp án: D.
Đường thẳng AB có véc-tơ chỉ phương AB⟶= (1;-1;3) và đi qua A(0;1;-1) có phương trình là:
Bài 2: Trong không gian toạ độ Oxyz, cho mặt phẳng (P): x - 2y + z - 3 = 0 và điểm A(1;2;0). Viết phương trình đường thẳng qua A và vuông góc với (P).
Lời giải:
Đáp án: A.
Mặt phẳng (P) có véc-tơ pháp tuyến là n→= (1;-2;1) nên đường thẳng cần tìm có véc-tơ chỉ phương là n→= (1;-2;1).
Vậy phương trình đường thẳng đi qua A và vuông góc với (P) là:
Bài 3: Trong không gian với hệ tọa độ Oxyz, đường thẳng đi qua điểm M(1;2;3) và song song với trục Oy có phương trình tham số là:
Lời giải:
Đáp án: C.
Gọi d là đường thẳng cần tìm.
Ta có: d ⊥ Oy nên d có véc-tơ chỉ phương là u→= (0;1;0). Do đó:
Bài 4: Trong không gian với hệ tọa độ Oxyz, đường thẳng . Phương trình chính tắc của đường thẳng d là:
Lời giải:
Đáp án: C.
Đường thẳng d có véc-tơ chỉ phương là u→= (-1;1;1) và đi qua điểm M(2;1;0).
Do đó d có phương trình chính tắc là:
Bài 5: Trong không gian Oxyz, hãy viết phương trình của đường thẳng d đi qua điểm M(-1;0;0) và vuông góc với mặt phẳng (P): x + 2y - z + 1 = 0.
Lời giải:
Đáp án: A.
Đường thẳng d đi qua điểm M(-1;0;0) và có một véc-tơ chỉ phương là u→= (1;2;-1) nên d có phương trình chính tắc là:
Bài 6: Trong không gian Oxyz, đường thẳng đi qua điểm A(3;0;-4) và có véc-tơ chỉ phương u→= (5;1;-2) có phương trình là:
Lời giải:
Đáp án: B.
Đường thẳng đi qua điểm A(3;0;-4) và có véc-tơ chỉ phương u→= (5;1;-2) có phương trình là:
Bài 7: Trong không gian với hệ tọa độ Oxyz, đường thẳng Δ đi qua A(2;-1;2) và nhận u→= (-1;2;-1) làm véc-tơ chỉ phương có phương trình chính tắc là:
Lời giải:
Đáp án: A.
Đường thẳng Δ đi qua A(2;-1;2) và nhận u→= (-1;2;-1) làm véc-tơ chỉ phương có phương trình chính tắc là:
Bài 8: Trong không gian với hệ trục tọa độ Oxyz, cho hai điểm A(1;-1;3), B(-3;0;-4). Phương trình nào sau đây là phương trình chính tắc của đường thẳng đi qua hai điểm A và B?
Lời giải:
Đáp án: C.
Ta có BA⟶= (4;-1;7) là véc-tơ chỉ phương của đường thẳng AB.
Phương trình chính tắc của đường thẳng AB là:
Bài 9: Trong không gian với hệ trục tọa độ Oxyz, cho đường thẳng:
Đường thẳng d đi qua điểm nào dưới đây?
A. M1(1;5;4).
B. M2(-1;-2;-5).
C. M3(0;3;-1).
D. M4(1;2;-5).
Lời giải:
Đáp án: A.
Với t = 1 ta có một điểm thuộc d là (1;5;4).
Bài 10: Đường thẳng không đi qua điểm nào dưới đây?
A. (-1;2;0).
B. (-1;-3;1).
C. (3;-1;-1).
D. (1;-2;0).
Lời giải:
Đáp án: A.
Ta có nên điểm A(-1;2;0) không thuộc đường thẳng Δ.
Bài 11: Trong không gian với hệ toạ độ Oxyz, đường thẳng đi qua điểm nào sau đây?
A. A(-2;2;0).
B. B(2;2;0).
C. C(-3;0;3).
D. D(3;0;3).
Lời giải:
Đáp án: D.
Thay toạ độ các điểm vào phương trình đường thẳng d thì chỉ có điểm D(3;0;3) thoả mãn.
Bài 12: Trong không gian với hệ trục tọa độ Oxyz, cho đường thẳng:
Điểm nào dưới đây không thuộc d?
A. E(2;-2;3).
B. N(1;0;1).
C. F(3;-4;5).
D. M(0;2;1).
Lời giải:
Đáp án: D.
Thay tọa độ của M vào phương trình ta thấy nên M ∉ d.
Bài 13: Trong không gian Oxyz cho M(-1;2;3). Hình chiếu vuông góc của M trên trục Ox là điểm có tọa độ?
A. P(-1;0;0).
B. Q(0;2;3).
C. K(0;2;0).
D. E(0;0;3).
Lời giải:
Đáp án: A.
Trục Ox có phương trình là:
Hình chiếu của M lên trục Ox là điểm P(-1;0;0).
Bài 14: Trong không gian với hệ tọa độ Oxyz cho 2 đường thẳng:
Tìm tất cả giá trị thực của m để d1 vuông góc với d2.
A. m = -1.
B. m = 1.
C. m = -5.
D. m = 5.
Lời giải:
Đáp án: A.
Véc-tơ chỉ phương của d1, d2 lần lượt là u1→= (2;-m;-3) và u2→= (1;1;1).
Để d1 ⊥ d2 thì u1→.u2→= 0 ⇔ 2 - m - 3 = 0 ⇔ m = -1.
Bài 15: Trong không gian với hệ tọa độ Oxyz, cho mặt phẳng (α): z - 1 = 0. Mệnh đề nào sau đây sai?
A. (α) || (Oxy).
B. (α) ⊥ Oy.
C. (α) || Ox.
D. (α) ⊥ Oz.
Lời giải:
Đáp án: B.
Mặt phẳng (α) có véc-tơ pháp tuyến n→= (0;0;1).
Oy có véc-tơ chỉ phương j→= (0;1;0).
Suy ra (α) không vuông góc với Oy.
Bài 16: Trong không gian với hệ tọa độ Oxyz, cho đường thẳng d có véc-tơ chỉ phương u→và mặt phẳng (P) có véc-tơ pháp tuyến n→. Mệnh đề nào dưới đây đúng?
A. u→vuông góc với n→thì d song song với (P).
B. u→không vuông góc với n→thì d cắt (P).
C. d song song với (P) thì u→cùng phương với n→.
D. d vuông góc với (P) thì u→vuông góc với n→.
Lời giải:
Đáp án: B.
u→vuông góc n→thì d có thể nằm trong (P).d song song (P) thì u→vuông góc n→.
d vuông góc (P) thì u→cùng phương n→.
Bài 17: Trong không gian với hệ tọa độ Oxyz, cho hai đường thẳng:
Vị trí tương đối của d và d' là:
A. song song.
B. trùng nhau.
C. chéo nhau.
D. cắt nhau.
Lời giải:
Đáp án: A.
Đường thẳng d có véc-tơ chỉ phương ud→= (3;-1;-2) và đi qua điểm M(-1;0;1).
Đường thẳng d' có véc-tơ chỉ phương ud'→= (-3;1;2).
Hai véc-tơ ud→và ud'→cùng phương và điểm M không thuộc đường thẳng d'. Do đó hai đường thẳng d và d' song song với nhau.
Bài 18: Trong không gian với hệ trục tọa độ Oxyz, cho đường thẳng:
và mặt phẳng (P): x - 3y + 2z - 5 = 0. Mệnh đề nào sau đây đúng?
A. d cắt và không vuông góc với (P).
B. d vuông góc với (P).
C. d song song với (P).
D. d nằm trong (P).
Lời giải:
Đáp án: A.
d có véc-tơ chỉ phương là u→= (2;-3;4), (P) có véc-tơ pháp tuyến là n→= (1;-3;2).
Do u→không cùng phương n→nên d cắt (P). Mặt khác u→.n→= 19 ≠ 0 nên d không vuông góc (P).
Vậy d cắt và không vuông góc với (P).
Bài 19: Trong hệ trục tọa độ Oxyz, điều kiện của m để hai mặt phẳng (P): 2x + 2y - z = 0 và (Q): x + y + mz + 1 = 0 cắt nhau là:
Lời giải:
Đáp án: A.
Mặt phẳng (P) có vectơ pháp tuyến nP→= (2;2;-1), Mặt phẳng (Q) có vectơ pháp tuyến nQ→= (1;1;m). Hai mặt phẳng (P) và (Q) cắt nhau khi và chỉ khi hai vectơ pháp tuyến không cùng phương ⇔ m ≠ -1/2.
Bài 20: Trong không gian với hệ tọa độ Oxyz, cho hai điểm A (1;1;1), B (-1;-1;3) và mặt phẳng (P): x + 2y + z - 2 = 0. Tọa độ điểm M thuộc mặt phẳng (P) sao cho MA + MB nhỏ nhất là:
A. M (1;0;1).
B. M (0;0;2).
C. M (1;2;-3).
D. M (-1;2;-1).
Lời giải:
Đáp án: B.
Vì (1 + 2.1 + 1 - 2).(-1 + 2.(-1) + 3 - 2) < 0 nên A và B nằm về hai phía so với (P). Do đó MA + MB ≥ AB nên MA + MB nhỏ nhất bằng AB khi M = AB ∩ (P).
Phương trình đường thẳng:
Tọa độ điểm M là nghiệm của hệ phương trình:
Vậy M (0;0;2).
Bài 21: Trong không gian với hệ tọa độ Oxyz, cho đường thẳng và mặt phẳng (P): x + 2y + z - 5 = 0. Tọa độ giao điểm A của đường thẳng Δ và mặt phẳng (P) là:
A. (3;0;-1).
B. (0;3;1).
C. (0;3;-1).
D. (-1;0;3).
Lời giải:
Đáp án: C.
Viết lại:
Do đó A(1 + t;2 - t;1 + 2t). Vì A ∈ (P) nên 1 + t + 2(2 - t) + 1 + 2t - 5 = 0 ⇒ t = -1.
Do đó A(0;3;-1).
Bài 22: Trong không gian với hệ trục tọa độ Oxyz, cho ba điểm M(1;0;0), N(0;-2;0) và P(0;0;1). Tính khoảng cách h từ gốc tọa độ đến mặt phẳng (MNP).
Lời giải:
Đáp án: C.
Bài 23: Trong không gian với hệ tọa độ Oxyz, cho mặt phẳng (P): 2x + y - 2z + 10 = 0 và mặt cầu (S): (x - 2)2 + (y - 1)2 + (z - 3)2 = 25 cắt nhau theo giao tuyến là đường tròn (C). Gọi V1 là thể tích khối cầu (S), V2 là thể tích khối nón (N) có đỉnh là giao điểm của mặt cầu (S) với đường thẳng đi qua tâm mặt cầu (S) và vuông góc với mặt phẳng (P), đáy là đường tròn (C). Biết độ dài đường cao khối nón (N) lớn hơn bán kính của khối cầu (S). Tính tỉ số V1/V2.
Lời giải:
Đáp án: A.
Mặt cầu (S) có tâm I(2;1;3) và bán kính R = 5.
Ta có: d = d(I;(P)) = 3 ⇒ Bán kính của (C) là:
Đài đường cao khối nón (N) là h = R + d = 8. Suy ra:
Vậy:
Bài 24: Trong không gian với hệ trục tọa độ Oxyz, cho điểm A (-1;2;1) và mặt phẳng (P): 2x - y + z - 3 = 0. Gọi (Q) là mặt phẳng qua A và song song với (P). Điểm nào sau đây không nằm trên mặt phẳng (Q)?
A. K(3;1;-8).
B. N(2;1;-1).
C. I(0;2;-1).
D. M(1;0;-5).
Lời giải:
Đáp án: B.
Do (Q) || (P) nên phương trình mặt phẳng (Q) có dạng: 2x - y + z + C = 0 (C ≠ -3).
Mặt phẳng (Q) đi qua A(-1;2;1) nên: 2.(-1) - 2 + 1 + C = 0 ⇔ C = 3.
Suy ra phương trình mặt phẳng (Q): 2x - y + z + 3 = 0.
Từ đây, suy ra điểm không nằm trên mặt phẳng (Q) là: N(2;1;-1) vì 2.2 - 1 - 1 + 3 = 5 ≠ 0.
Bài 25: Trong không gian Oxyz, đường thẳng cắt mặt phẳng (Oxy) tại điểm có tọa độ là:
A. (-3;2;0).
B. (3;-2;0).
C. (-1;0;0).
D. (1;0;0).
Lời giải:
Đáp án: D.
Phương trình tham số của đường thẳng d là:
Tọa độ giao điểm của d và (Oxy) ứng với t thỏa mãn 4 + 2t = 0 ⇔ t = -2
Tọa độ giao điểm của d và (Oxy) là (1;0;0).
Bài 26: Trong không gian Oxyz, mặt phẳng (P): 2x + 6y + z - 3 = 0 cắt trục Oz và đường thẳng lần lượt tại A, B. Phương trình mặt cầu đường kính AB là:
A. (x + 2)2 + (y - 1)2 + (z + 5)2 = 36.
B. (x - 2)2 + (y + 1)2 + (z - 5)2 = 9.
C. (x + 2)2 + (y - 1)2 + (z + 5)2 = 9.
D. (x - 2)2 + (y + 1)2 + (z - 5)2 = 36.
Lời giải:
Đáp án: B.
Mặt phẳng (P): 2x + 6y + z - 3 = 0 cắt trục Oz và đường thẳng lần lượt tại A(0;0;3), B(4;-2;7). Suy ra AB = 9 và trung điểm của đoạn thẳng AB là I(2;-1;5).
Vậy mặt cầu đường kính AB có phương trình là (x - 2)2 + (y + 1)2 + (z - 5)2 = 9.
Bài 27: Trong không gian với hệ tọa độ Oxyz, viết phương trình mặt cầu (S) có tâm I(0;1;-1) và tiếp xúc với mặt phẳng (P): 2x - y + 2z - 3 = 0
A. x2 + (y - 1)2 + (z + 1)2 = 4.
B. x2 + (y + 1)2 + (z - 1)2 = 4.
C. x2 + (y + 1)2 + (z + 1)2 = 4.
D. x2 + (y - 1)2 + (z + 1)2 = 2.
Lời giải:
Đáp án: A.
Mặt cầu (S) tiếp xúc với mặt phẳng (P): 2x - y + 2z - 3 = 0.
Do đó mặt cầu (S) có bán kính:
Mặt cầu (S) có tâm I(0;1;-1) ⇒ (S): x2 + (y - 1)2 + (z + 1)2 = 4.
Bài 28: Trong không gian với hệ tọa độ Oxyz, cho ba điểm A(1;2;-1), B(-3;4;3), C(3;1;-3), số điểm D sao cho 4 điểm A, B, C, D là 4 đỉnh của một hình bình hành là:
A. 0.
B. 1.
C. 3.
D. 2.
Lời giải:
Đáp án: A.
Ta có AB⟶= (-4;2;4), AC⟶= (2;-1;-2).
Dễ thấy AB⟶= -2AC⟶ nên hai vecto AB⟶, AC⟶ cùng phương do đó ba điểm A, B, C thẳng hàng.
Khi đó không có điểm D nào để bốn điểm A, B, C, D là bốn đỉnh của một hình bình hành.
Vậy không có điểm nào thỏa mãn yêu cầu bài toán.
Bài 29: Trong không gian với hệ tọa độ Oxyz, phương trình nào sau đây là phương trình mặt phẳng qua điểm M(3;-1;1) và vuông góc với đường thẳng
A. 3x - 2y + z + 12 = 0.
B. 3x - 2y + z - 12 = 0.
C. 3x + 2y + z - 8 = 0.
D. x - 2y + 3z + 3 = 0.
Lời giải:
Đáp án: B.
Gọi (α) là mp cần tìm.
Do (α) ⊥ Δ nên nα→= uΔ→= (3;-2;1) và (α) qua M (3;-1;1) nên phương trình mặt phẳng (α) là:
(α): 3(x - 3) - 2(y + 1) + 1(z - 1) = 0 ⇔ 3x - 2y + z - 12 = 0.
Bài 30: Trong không gian với hệ tọa độ Oxyz, gọi (α) là mặt phẳng qua G(1;2;3) và cắt các trục Ox, Oy, Oz lần lượt tại các điểm A, B, C (khác gốc O) sao cho G là trọng tâm tam giác ABC. Khi đó mặt phẳng (α) có phương trình:
A. 2x + y + 3z - 9 = 0.
B. 6x + 3y + 2z + 9 = 0.
C. 3x + 6y + 2z + 18 = 0.
D. 6x + 3y + 2z - 18 = 0.
Lời giải:
Đáp án: D.
Gọi A(a;0;0); B(0;b;0); C(0;0;c).
Ta có:
Vậy mặt phẳng (α) có phương trình:
⇔ 6x + 3y + 2z - 18 = 0.
Bài 31: Trong không gian Oxyz, cho đường thẳng và mặt phẳng (Q): x + y - 2z + 9 = 0. Gọi (Δ) là đường thẳng đi qua điểm A(-1;2;3), vuông góc với d và song song với (Q). Tính khoảng cách từ giao điểm của d và (Q) đến (Δ) ta được:
Lời giải:
Đáp án: B.
Ta có: VTCP của d là u(d)⟶= (1;-4;2) và VTPT của (Q) là n(Q)⟶= (1;1;-2).
Đường thẳng (Δ) đi qua điểm A (-1;2;3) và có VTCP là u→= [u(d)⟶,n(Q)⟶] = (6;4;5).
Gọi B = d ∩ (Q)
B ∈ d ⇒ B(-4 + t;1 - 4t;3 + 2t)
B ∈ (Q) ⇒ t = 0 ⇒ B(-4;1;3) ⇒ AB⟶= (-3;-1;0) ⇒ [AB⟶,u→] = (-5;15;-6)
Vậy:
Bài 32: Trong không gian Oxyz, cho tam giác ABC có diện tích bằng 6 nằm trên mặt phẳng (P): x - 2y + z + 2 = 0 và điểm S(1;2;-1). Tính thể tích V của khối chóp S.ABC.
Lời giải:
Đáp án: B.
Chiều cao của khối chóp là:
Thể tích V của khối chóp S. ABC là:
Bài 33: Trong không gian Oxyz, cho bốn điểm A(1;1;4), B(5;-1;3), C(2;2;m), D(3;1;5). Tìm tất cả giá trị thực của tham số m để A, B, C, D là bốn đỉnh của một hình tứ diện.
A. m > 6.
B. m < 6.
C. m ≠ 6.
D. m = 6.
Lời giải:
Đáp án: C.
Ta có AB⟶= (4;-2;-1), AD⟶= (2;0;1), [AB⟶,AD⟶] = (-2;-6;4), AC⟶= (1;1;m - 4).
Để A, B, C, D là bốn đỉnh của một hình tứ diện khi [AB⟶,AD⟶].AC⟶ ≠ 0.
⇔ - 2 - 6 + 4m - 16 ≠ 0 ⇔ m ≠ 6.
Bài 34: Trong không gian với hệ tọa độ Oxyz, cho A (1;2;3), B (3;4;4). Tìm tất cả các giá trị của tham số m sao cho khoảng cách từ điểm A đến mặt phẳng 2x + y + mz - 1 = 0 bằng độ dài đoạn thẳng AB.
A. m = 2.
B. m = -2.
C. m = -3.
D. m = ±2.
Lời giải:
Đáp án: A.
Gọi (P): 2x + y + mz - 1 = 0, AB = 3.
Có:
Vậy m = 2 thỏa mãn.
Bài 35: Trong không gian với hệ tọa độ Oxyz, cho tam giác ABC với A(1;-3;4), B(-2;-5;-7), C(6;-3;-1). Phương trình đường trung tuyến AM của tam giác là:
Lời giải:
Đáp án: A.
Tọa độ trung điểm M của BC là M(2;-4;-4).
Đường thẳng cần tìm qua A(1;-3;4), nhận AM⟶= (1;-1;-8) là véc tơ chỉ phương nên có phương trình:
Bài 36: Trong không gian với hệ tọa độ Oxyz, cho đường thẳng Δ nằm trong mặt phẳng (α): x + y + z - 3 = 0, đồng thời đi qua điểm M(1;2;0) và cắt đường thẳng . Một véc tơ chỉ phương của Δ là:
A. u→= (1;0;-1).
B. u→= (1;1;-2).
C. u→= (1;-1;-2).
D. u→= (1;-2;1).
Lời giải:
Đáp án: B.
Gọi N = d ∩ (α) khi đó ta có MN⟶là một véc tơ chỉ phương của đường thẳng Δ.
Do N ∈ d nên N(2 + 2t;2 + t;3 + t). Mà N ∈ (α) nên 2 + 2t + 2 + t + 3 + t - 3 = 0.
⇒ t = -1 ⇒ N(0;1;2) ⇒ MN⟶= (-1;-1;2).
Vậy một vec-tơ chỉ phương của Δ là u→= (1;1;-2).
Bài 37: Trong không gian Oxyz cho đường thẳng và mặt phẳng (Q): x + y - 2z + 9 = 0. Gọi Δ là đường thẳng đi qua điểm A(-1;2;3), vuông góc với d và song song với (Q). Tính khoảng cách từ giao điểm của d và (Q) đến Δ ta được:
Lời giải:
Đáp án: B.
Đường thẳng d có véc tơ chỉ phương là ud⟶= (1;-4;2).
Mặt phẳng (Q) có véc tơ pháp tuyến là n→= (1;1;-2).
Do Δ vuông góc với d và song song với (Q) nên Δ có véc tơ chỉ phương là: uΔ⟶= [ud⟶,n→] = (6;4;5).
Ta có d ∩ (Q) = I(-4;1;3) và [IA⟶,uΔ⟶] = (5;-15;6).
Vậy:
Bài 38: Trong không gian Oxyz cho mặt phẳng (P): 2x - 2y - z - 4 = 0 và mặt cầu (S): x2 + y2 +z2 - 2x - 4y - 6z - 11 = 0. Biết rằng mặt phẳng (P) cắt mặt cầu (S) theo một đường tròn (C). Tọa độ điểm H tâm đường tròn (C) là:
A. H(4;4;-1).
B. H(3;0;2).
C. H(-1;4;4).
D. H(2;0;3).
Lời giải:
Đáp án: B.
Mặt cầu (S): x2 + y2 + z2 - 2x - 4y - 6z - 11 = 0 ⇔ (x - 1)2 + (y - 2)2 + (z - 3)2 = 25 có tâm I(1;2;3) và bán kính R = 5.
Gọi d là đường thẳng đi qua I(1;2;3) và vuông góc với mặt phẳng (P): 2x - 2y - z - 4 = 0, phương trình đường thẳng:
Gọi H = d ∩ (P). Do H ∈ d nên H(1 + 2t;2 - 2t;3 - t).
Mặt khác H ∈ (P) nên 2(1 + 2t) - 2(2 - 2t) - (3 - t) - 4 = 0 ⇔ t = 1 ⇒ H(3;0;2).
Bài 39: Trong không gian với hệ tọa độ Oxyz, cho đường thẳng . Mặt phẳng (Q) đi qua điểm M(-3;1;1) và vuông góc với đường thẳng d có phương trình là:
A. 2x - y - 2z + 9 = 0.
B. -2x + y + 2z + 5 = 0.
C. -2x + y + 2z + 9 = 0.
D. 2x - y - 2z + 5 = 0.
Lời giải:
Đáp án: A.
Đường thẳng d có một VTCP là u→= (-2;1;2).
Do d ⊥ (Q) nên (Q) nhận u→= (-2;1;2) làm VTPT.
Vậy (Q): -2(x + 3) + (y - 1) + 2(z - 1) = 0 ⇔ -2x + y + 2z - 9 = 0.
Bài 40: Trong không gian Oxyz, cho mặt cầu (S): (x - 1)2 + (y + 2)2 + (z - 5)2 = 9. Phương trình nào dưới đây là phương trình mặt phẳng (P) tiếp xúc với mặt cầu (S) tại điểm A(2;-4;3)?
A. x - 6y + 8z - 50 = 0.
B. x - 2y - 2z - 4 = 0.
C. x - 2y - 2z + 4 = 0.
D. 3x - 6y + 8z - 54 = 0.
Lời giải:
Đáp án: B.
(S): (x - 1)2 + (y + 2)2 + (z - 5)2 = 9 có tâm I(1;-2;5), bán kính R = 9.
Ta có:
⇒ (P): x - 2y - 2z - 4 = 0.
Bài 41: Trong không gian Oxyz, cho điểm M(3;3;-2) và hai đường thẳng . Đường thẳng đi qua M và cắt cả hai đường thẳng d1, d2 tại A, B. Độ dài đoạn thẳng AB bằng:
A. 2√2.
B. √6.
C. 3.
D. 2.
Lời giải:
Đáp án: C.
A ∈ d1 ⇒ A(a + 1;3a + 2;a); B ∈ d2 ⇒ B(- b - 1;2b + 1;4b + 2).
MA⟶(a - 2;3a - 1;a + 2); MB⟶(- b - 4;2b - 2;4b + 4).
Do M, A, B thẳng hàng nên MA⟶= kMB⟶.
⇒ A(1;2;0), B(-1;1;2).
Vậy AB = 3.
(199k) Học Toán 12 KNTTHọc Toán 12 CDHọc Toán 12 CTST
Xem thêm các dạng bài tập Toán lớp 12 có trong đề thi Tốt nghiệp THPT khác:
- 200 bài tập trắc nghiệm Phương pháp tọa độ trong không gian có lời giải (cơ bản - phần 1)
- 200 bài tập trắc nghiệm Phương pháp tọa độ trong không gian có lời giải (cơ bản - phần 2)
- 200 bài tập trắc nghiệm Phương pháp tọa độ trong không gian có lời giải (cơ bản - phần 3)
- 200 bài tập trắc nghiệm Phương pháp tọa độ trong không gian có lời giải (cơ bản - phần 4)
Đã có app VietJack trên điện thoại, giải bài tập SGK, SBT Soạn văn, Văn mẫu, Thi online, Bài giảng....miễn phí. Tải ngay ứng dụng trên Android và iOS.
Theo dõi chúng tôi miễn phí trên mạng xã hội facebook và youtube:Nếu thấy hay, hãy động viên và chia sẻ nhé! Các bình luận không phù hợp với nội quy bình luận trang web sẽ bị cấm bình luận vĩnh viễn.
- Giải Tiếng Anh 12 Global Success
- Giải sgk Tiếng Anh 12 Smart World
- Giải sgk Tiếng Anh 12 Friends Global
- Lớp 12 Kết nối tri thức
- Soạn văn 12 (hay nhất) - KNTT
- Soạn văn 12 (ngắn nhất) - KNTT
- Giải sgk Toán 12 - KNTT
- Giải sgk Vật Lí 12 - KNTT
- Giải sgk Hóa học 12 - KNTT
- Giải sgk Sinh học 12 - KNTT
- Giải sgk Lịch Sử 12 - KNTT
- Giải sgk Địa Lí 12 - KNTT
- Giải sgk Giáo dục KTPL 12 - KNTT
- Giải sgk Tin học 12 - KNTT
- Giải sgk Công nghệ 12 - KNTT
- Giải sgk Hoạt động trải nghiệm 12 - KNTT
- Giải sgk Giáo dục quốc phòng 12 - KNTT
- Giải sgk Âm nhạc 12 - KNTT
- Giải sgk Mĩ thuật 12 - KNTT
- Lớp 12 Chân trời sáng tạo
- Soạn văn 12 (hay nhất) - CTST
- Soạn văn 12 (ngắn nhất) - CTST
- Giải sgk Toán 12 - CTST
- Giải sgk Vật Lí 12 - CTST
- Giải sgk Hóa học 12 - CTST
- Giải sgk Sinh học 12 - CTST
- Giải sgk Lịch Sử 12 - CTST
- Giải sgk Địa Lí 12 - CTST
- Giải sgk Giáo dục KTPL 12 - CTST
- Giải sgk Tin học 12 - CTST
- Giải sgk Hoạt động trải nghiệm 12 - CTST
- Giải sgk Âm nhạc 12 - CTST
- Lớp 12 Cánh diều
- Soạn văn 12 Cánh diều (hay nhất)
- Soạn văn 12 Cánh diều (ngắn nhất)
- Giải sgk Toán 12 Cánh diều
- Giải sgk Vật Lí 12 - Cánh diều
- Giải sgk Hóa học 12 - Cánh diều
- Giải sgk Sinh học 12 - Cánh diều
- Giải sgk Lịch Sử 12 - Cánh diều
- Giải sgk Địa Lí 12 - Cánh diều
- Giải sgk Giáo dục KTPL 12 - Cánh diều
- Giải sgk Tin học 12 - Cánh diều
- Giải sgk Công nghệ 12 - Cánh diều
- Giải sgk Hoạt động trải nghiệm 12 - Cánh diều
- Giải sgk Giáo dục quốc phòng 12 - Cánh diều
- Giải sgk Âm nhạc 12 - Cánh diều


Giải bài tập SGK & SBT
Tài liệu giáo viên
Sách
Khóa học
Thi online
Hỏi đáp

