60 câu hỏi trắc nghiệm đường thẳng trong không gian có lời giải (phần 2)
Với 60 câu hỏi trắc nghiệm đường thẳng trong không gian (phần 2) có lời giải chi tiết sẽ giúp học sinh ôn tập, biết cách làm câu hỏi trắc nghiệm đường thẳng trong không gian (phần 2).
60 câu hỏi trắc nghiệm đường thẳng trong không gian có lời giải (phần 2)
(199k) Học Toán 12 KNTTHọc Toán 12 CDHọc Toán 12 CTST
Bài giảng: Cách viết phương trình đường thẳng cơ bản - Cô Nguyễn Phương Anh (Giáo viên VietJack)
Bài tập vận dụng
Câu 30:
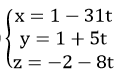
Tọa độ giao điểm của đường thẳng
và mp (α) 3x+2y+z-1=0 là:
(A) (-1;0;1)
(B) (1;-1;0)
(C) (-1;1;0)
(D) (1;0;-1)
Lời giải:
Phương trình tham số của d là:
Giao điểm M của d và mp (α) là M (1+t;-1-2t;4t) thỏa mãn:
3(1+t)+2(-1-2t)+(4t)-1=0⇔ t=0
Nên M ( 1; -1; 0)
Câu 31:
Cho điểm A (1; 4; -7) và mặt phẳng (P): x + 2y – 2z – 5 = 0. Phương trình đường thẳng đi qua A và vuông góc với mặt phẳng (P) là:
(A)
(B)
(C)
(D)
Lời giải:
Mặt phẳng (P) có vecto pháp tuyến là:
Đường thẳng đi qua A và vuông góc với mặt phẳng (P) nhận vectơ pháp tuyến của (P) làm vectơ chỉ phương.
Vậy phương trình của đường thẳng đó là:
Chọn B
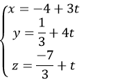
Câu 32:
Cho A (3; 2; 1) và đường thẳng d:
Phương trình đường thẳng d’ đi qua A vuông góc và cắt đường thẳng d là:
(A)
(B)
(C)
(D)
Lời giải:
Chọn D
Gọi B là giao điểm của d và d’, vì d’ vuông góc với d nên
Tọa độ của B (2t;4t;t-3)
Hay chọn 1 vectơ chỉ phương của d’ là: (9; -10; 22)
Vậy phương trình của d là :
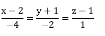
Câu 33:
Cho đường thẳng d và mặt phẳng (P):
;(P):x+3y+2z+2=0
Phương trình đường thẳng (Δ) song song với (P), đi qua M (2; 2; 4) và cắt đường thẳng d là:
Lời giải:
Chọn B
Mặt phẳng (P) có vecto pháp tuyến
N là giao điểm của Δ và d nên N có tọa độ (3t-1;-2t+2;2t+2)
(Δ) song song với (P) nên
1.(3t-3)+3.(-2t)+2.(2t-2)=0
⇔ 3t- 3 – 6t + 4t- 4= 0
⇔ t- 7=0
⇔t=7
Hay chọn 1 vectơ chỉ phương của Δ là: (9; -7; 6)
Vậy phương trình của Δ là:
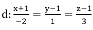
Câu 34:
Cho đường thẳng d và mặt phẳng (P):
;(P):x-y-z-1=0
Phương trình đường thẳng đi qua A (1; 1; -2), song song với (P) và vuông góc với d là:
(A)
(B)
(C)
(D)
Lời giải:
Chọn C
Đường thẳng song song với (P) và vuông góc với (d) có vectơ chỉ phương là:
Hay chọn 1 vectơ chỉ phương là: (2; 5; -3)
Vậy phương trình của đường thẳng song song với (P) và vuông góc với (d) là:
Câu 35:
Cho hai đường thẳng:
Đường vuông góc chung của d1 và d2 đi qua điểm nào trong các điểm sau ?
(A)(3;1;-4)
(B)(1; -1;4)
(C) (2;0;1)
(D) (0;2;-5)
Lời giải:
Chọn A
Gọi d là đường vuông góc chung của hai đường thẳng đã cho
M = d ∩ d1 => M (2t -1; t-2; t + 1)
N = d ∩ d2 => N (-4t’-2; t’+1; -t’-2)
Ta có
Vậy phương trình của d là:
Câu 36:
Cho điểm M (3; 3; -2) và hai đường thẳng:
Đường thẳng d đi qua M cắt d1, d2 lần lượt tại A và B. Tính độ dài AB ?
(A) 2
(B) 3
(C)
(D)
Lời giải:
Chọn B
A là giao điểm d và d1 => A (t+1;3t+2;t)
B là giao điểm d và d2 => B (-t'-1;2t'+1;4t'+2)
Nên A (1; 2; 0) và B (-1; 1; 2)
Câu 37:
Phương trình đường thẳng d đi qua A (3; 2; 1) cắt trục Ox và vuông góc với trục Ox là
(A)
(B)
(C)
(D)
Lời giải:
Chọn C
Gọi B là giao điểm của d và Ox, vì d vuông góc với Ox nên
Tọa độ của B (t;0;0)
Hay chọn 1 vectơ chỉ phương của d là: (0; 2; 1)
Vậy phương trình của d là :
Câu 38:
Cho ba đường thẳng:
Phương trình nào dưới đây là phương trình của đường thẳng song song với Δ và cắt đường thẳng d1; d2?
(A)
(B)
(C)
(D)
Lời giải:
Chọn A
Gọi d là đường thẳng song song với Δ và cắt đường thẳng d1; d2
A là giao điểm d và d1 => A (3t+1;t+2;5t+6)
B là giao điểm d và d2 => B (3t'+6;2t';t'+1)
Phương trình đường thẳng d là:
Câu 39:
Cho tam giác ABC có các đỉnh A (1; -2; 3); B (2; 1; 0); C (0; -1; -2). Phương trình nào dưới đây là phương trình đường cao AH của tam giác ABC?
(A)
(B)
(C)
(D)
Lời giải:
chọn D
Ta có:
Hay 1 vectơ chỉ phương của BC là:
Phương trình của BC là:
Đường cao AH của tam giác ABC có H thuộc BC =>
Tọa độ của H là : (2 + t; 1 + t; t)
Mà AH vuông góc với BC nên :
Nên chọn 1 vectơ chỉ phương của AH là: (1; 4; -5)
Vậy phương trình của AH là:
Câu 40:
Đường thẳng d vuông góc với đường thẳng nào sau đây, biết:
(A)
(B)
(C)
(D)
Lời giải:
Chọn D
vectơ chỉ phương của d là:
Các vectơ chỉ phương của các đường thẳng trong các đáp án:
Vậy đường thẳng
vuông góc với d
Câu 41:
Cho điểm M (0; 0; 1) và đường thẳng d:
Tìm tọa độ điểm N thuộc d sao cho MN =
(A) (1; -1;1)
(B)(1; -1; -1)
(C) (2;0;1)
(D) (2;0; -1)
Lời giải:
Chọn A
N thuộc d có tọa độ là : (2 + t; t; 1)
MN =
⇔MN2=2⇔(2+t)2+(t-0)2+(1-1)2=2
⇔2t2+4t+2=0 hay 2(t+1)2=0⇔t=-1
Vậy N (1; -1; 1)
Câu 42:
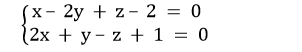
Cho hai mặt phẳng (P): x – 2y + z – 2 = 0 và (Q): 2x + y – z + 1 = 0. Phương trình đường thẳng d là giao tuyến của (P) và (Q) là:
(A)
(B)
(C)
(D)
Lời giải:
Chọn C
d là giao tuyến của (P) và (Q) nên M (x; y; z) thuộc d có tọa độ thỏa mãn hệ:
Cho x = 0 => M (0; -1; 0) thuộc d
Vectơ chỉ phương của d là
Vậy phương trình của d là:
Câu 43:
Phương trình đường thẳng d đi qua điểm A (2; -1; 1) và vuông góc với hai đường thẳng:
(A)
(B)
(C)
(D)
Lời giải:
Chọn A
Do đường thẳng d vuông góc với hai đường thẳng d1 và d2 nên vectơ chỉ phương của đường thẳng d là
d đi qua điểm A (2; -1; 1)
Vậy phương trình đường thẳng d là
Câu 44:
Cho đường thẳng
và mp (P): x + y + 3z – 3 = 0.
(P) // d khi:
(A) m=10
(B)m=-10
(C)m=-1
(D)m=1
Lời giải:
Mặt phẳng (P) có vecto pháp tuyến là và đường thẳng d có vecto chỉ phương
.
Vì (P) // d ⇔n→⊥u→ (n→ là vectơ pháp tuyến của (P);u→ là vectơ chỉ phương của d)
n→⊥u→⇔n→.u→=0⇔-m.1+1.1+3.3=0⇔m=-10
1 điểm thuộc d là (2; 5; -6) , không thuộc (P)
Vậy với m = - 10 thì (P) // d
Câu 45:
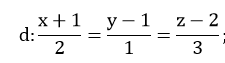
Cho mp (α):x-2y+z-3=0 và đường thẳng
Phương trình đường thẳng đi qua A (3; 0; 1) song song với (α) và vuông góc với d là:
(A)
(B)
(C)
(D)
Lời giải:
Chọn A
Đường thẳng đi qua A (3; 0; 1) song song với (α) và vuông góc với d có vectơ chỉ phương là
d đi qua điểm A (3; 0; 1)
Vậy phương trình đường thẳng d là
Câu 46:
Phương trình đường thẳng d đi qua điểm M (3; 1; 5) và song song với hai mặt phẳng: (P) : 2x + 3y – 2z + 1 = 0; (Q): x – 3y + z – 2 = 0 là:
A.
B.
C.
D.
Lời giải:
Chọn A
Đường thẳng d đi qua M (3; 1; 5) song song với hai mặt phẳng có vectơ chỉ phương là
d đi qua điểm M (3; 1; 5)
Vậy phương trình đường thẳng d là
Câu 47:
Cho Δ đi qua điểm M (1; 1; -2), song song với mặt phẳng
(P): x – y – z – 1 = 0 và cắt đường thẳng
,phương trình của Δ là:
(A)
(B)
(C)
(D)
Lời giải:
Chọn B
Gọi N là giao điểm của Δ và d thì tọa độ của N: ( -2t – 1; t + 1; 3t + 1)
Δ song song với mặt phẳng (P) nên :
Hay chọn 1 vectơ chỉ phương của Δ là: (2; 5; -3)
Vậy phương trình của Δ là:
Câu 48:
Cho điểm M (0; 1; 1), Cho hai đường thẳng:
Phương trình của đường thẳng Δ đi qua M, vuông góc với d1 và cắt d2 là:
(A)
(B)
(C)
(D)
Lời giải:
Chọn D
Gọi N là giao điểm của Δ và d2 thì tọa độ của N: ( 2t; t + 1; t)
Δ vuông góc với d1 nên
Vậy phương trình của Δ là:
Câu 49:
Cho điểm A (2; 1; 4) và đường thẳng
. Điểm H thuộc Δ có tọa độ bao nhiêu thì độ dài đoạn AH nhỏ nhất ?
(A) (2;3;3)
(B) (0;1; -1)
(C) (3;4;5)
(D) (-1;0;-3)
Lời giải:
Chọn B
Điểm H thuộc Δ có tọa độ H ( 1 + t; 2 + t; 1 + 2t)
AH2=(t-1)2+(t+1)2+(2t-3)2=6t2-12t+11=6(t+1)2+5
Độ dài AH nhỏ nhất khi AH2=6(t+1)2+5 nhỏ nhất
⇔t=-1
Khi đó H (0; 1; -1)
Câu 50:
Cho hai đường thẳng:
Độ dài đoạn vuông góc chung của d1 và d2 là:
(A) 3
(B) 6
(C)
(D)
Lời giải:
Chọn A
Đường thẳng d1 có vecto chỉ phương
và đi qua điểm M1 ( 3; -2; -1)
Đường thẳng d2 có vecto chỉ phương
và đi qua điểm M2 (0; 1; 2)
Độ dài đường vuông góc chung bằng khoảng cách giữa d1 và d2:
Câu 51:
Cho mp (P): 3x + 5y – z – 2 = 0 và
Phương trình đường thẳng nằm trong mặt phẳng (P), đi qua giao điểm của d và (P), đồng thời vuông góc với d ?
(A)
(B)
(C)
(D)
Lời giải:
Chọn D
Gọi M là giao điểm của d và (P) thì tọa độ của M (4t + 12; 3t + 9; t + 1) thỏa mãn:
3 (4t + 12) + 5 (3t + 9) – (t +1) – 2 = 0
⇔ 12t + 36 + 15t + 45 – t- 1- 2= 0
⇔ 26t + 78= 0
nên t = - 3
=> M (0; 0; -2)
Mặt phẳng (P) có vecto pháp tuyến là
Đường thẳng d có vecto chỉ phương là
Đường thẳng nằm trong mặt phẳng (P), đi qua giao điểm của d và (P), đồng thời vuông góc với d có vectơ chỉ phương là:
Vậy phương trình đường thẳng cần tìm là:
Câu 52:
Cho mp (P): x – 3y + 2z + 6 = 0 và
Phương trình hình chiếu d’ của d lên mặt phẳng (P) là:
(A)
(B)
(C)
(D)
Lời giải:
Chọn A
Mặt phẳng (P) có vecto pháp tuyến
Đường thẳng d có vecto chỉ phương
- mặt phẳng (Q) chứa d và vuông góc với (P) có
Chọn vecto pháp tuyến của mặt phăng (Q) là :
1 điểm thuộc d cũng thuộc (Q) là: (-3; -1; 0)
Phương trình mặt phẳng (Q) là:
1.(x + 3) + 5.(y + 1) + 7.(z - 0) = 0 hay x + 5y + 7z + 8 = 0
- Hình chiếu cần tìm d’ = (P) ∩ (Q)
Tọa độ của một điểm M (x; y; z) thuộc đường thẳng d’ thỏa mãn:
Chọn x = 1=>
Suy ra tọa độ M( 1; 1; - 2).
Vectơ chỉ phương của d’ là
Hay chọn 1 vectơ chỉ phương của d’: (31; 5; - 8)
Vậy phương trình của d’ là:
Câu 53:
Cho đường thẳng:
Hình chiếu của Δ trên mặt phẳng (Oxy) là:
(A)
(B)
(C)
(D)
Lời giải:
Mặt phẳng (Oxy) có phương trình: z= 0.
Mỗi điểm M (x; y; z) thuộc Δ có hình chiếu trên (Oxy) là điểm M’ (x; y; 0) thuộc Δ’ với Δ’ là hình chiếu của Δ trên (Oxy).
Vậy Δ’ có phương trình tham số là:
Chọn B
Câu 54:
Cho điểm A (2; 3; 5) và mp (P): 2x + 3y + z – 17 = 0, gọi d là đường thẳng đi qua A và vuông góc với mp (P). Xác định giao điểm M của d và trục Oz:
(A) (0;0;2)
(B) (0;0;3)
(C) (0;0;4)
(D)(0;0;-4)
Lời giải:
Chọn C
+ Mặt phẳng (P) có vecto pháp tuyến là
.
d vuông góc với mp (P) nhận vectơ pháp tuyến của (P) làm vectơ chỉ phương
Phương trình tham số của d là:
M là giao điểm của d và trục Oz => M có tọa độ dạng (0; 0; z) => t = -1
Vậy M (0;0;4)
Câu 55:
Cho đường thẳng:
. Khoảng cách từ A (1; -2; 3) đến Δ là:
(A)
(B) 7
(C)
(D)
Lời giải:
Chọn D
Δ có vectơ chỉ phương
và M thuộc Δ có tọa độ (10; 2; -2)
Câu 56:
Cho A (-1; 0; 1), B (-1; 1; 0), C (0; 1; 1). Đường cao AH của tam giác ABC có một vectơ chỉ phương là:
(A)
(B)
(C)
(D )
Lời giải:
Chọn A
Ta có:
Phương trình của BC là:
Đường cao AH của tam giác ABC có H thuộc BC =>Tọa độ của H là : (-1+t; 1; t)
Mà AH vuông góc với BC nên
Nên chọn 1 vectơ chỉ phương của AH là: (1; 2; -1)
Câu 57:
Gọi d là giao tuyến của hai mp (P): x – y + 3z – 1 = 0 và (Q): 3x – 7z + 2 = 0. Một vectơ chỉ phương của d là:
(A)
(B)
(C)
(D)
Lời giải:
Chọn A
Mặt phẳng (P) có vecto pháp tuyến
; mặt phẳng ( Q) có vecto pháp tuyến
d là giao tuyến của hai mp (P): x – y + 3z – 1 = 0 và (Q): 3x – 7z + 2 = 0
Vectơ chỉ phương của d là
Câu 58:
Phương trình tham số trục Oz là:
(A)
(B)
(C)
(D)
Lời giải:
Chọn D
Điểm thuộc trục Oz có dạng (0; 0; z)
Phương trình tham số của Oz là:
Câu 59:
Cho A (2; 0; 0), B (0; 3; 0), C (0; 0; 4). Gọi H là trực tâm tam giác ABC. Phương trình tham số của OH là:
(A)
(B)
(C)
(D)
Lời giải:
Chọn C
Gọi H (x; y; z) =>
H là trực tâm nên
Đặt x = 6t ( t ≠ 0- vì nếu t= 0 thì trực tâm H(0;0;0) trùng với gốc tọa độ
=> y = 4t; z = 3t nên tọa độ H ( 6t; 4t; 3t)
Đường thẳng OH đi qua O(0; 0; 0) và nhận vecto
làm vecto chỉ phương;
chọn vecto chỉ phương của đường thẳng OH là:
Vậy phương trình OH là:
Câu 60:
Phương trình đường thẳng đi qua I (-1; 5; 2) và song song với trục Ox là:
(A)
(B)
(C)
(D) Cả A và C
Lời giải:
Chọn A
Trục Ox có vecto chỉ phương là
.
Đường thẳng đi qua I (-1; 5; 2) và song song với trục Ox có vectơ chỉ phương là (1; 0; 0)
Vậy phương trình đường thẳng cần tìm là:
Bài giảng: Cách viết phương trình đường thẳng nâng cao - Cô Nguyễn Phương Anh (Giáo viên VietJack)
(199k) Học Toán 12 KNTTHọc Toán 12 CDHọc Toán 12 CTST
Xem thêm các chuyên đề Toán lớp 12 có trong đề thi Tốt nghiệp THPT khác:
- Viết phương trình đường thẳng liên quan đến khoảng cách
- Góc giữa hai đường thẳng; Góc giữa đường thẳng và mặt phẳng
- Tìm điểm thuộc đường thẳng thỏa điều kiện cho trước, bài toán về cực trị,...
- 60 câu hỏi trắc nghiệm đường thẳng trong không gian có lời giải (phần 1)
Đã có app VietJack trên điện thoại, giải bài tập SGK, SBT Soạn văn, Văn mẫu, Thi online, Bài giảng....miễn phí. Tải ngay ứng dụng trên Android và iOS.
Theo dõi chúng tôi miễn phí trên mạng xã hội facebook và youtube:Nếu thấy hay, hãy động viên và chia sẻ nhé! Các bình luận không phù hợp với nội quy bình luận trang web sẽ bị cấm bình luận vĩnh viễn.
- Giải Tiếng Anh 12 Global Success
- Giải sgk Tiếng Anh 12 Smart World
- Giải sgk Tiếng Anh 12 Friends Global
- Lớp 12 Kết nối tri thức
- Soạn văn 12 (hay nhất) - KNTT
- Soạn văn 12 (ngắn nhất) - KNTT
- Giải sgk Toán 12 - KNTT
- Giải sgk Vật Lí 12 - KNTT
- Giải sgk Hóa học 12 - KNTT
- Giải sgk Sinh học 12 - KNTT
- Giải sgk Lịch Sử 12 - KNTT
- Giải sgk Địa Lí 12 - KNTT
- Giải sgk Giáo dục KTPL 12 - KNTT
- Giải sgk Tin học 12 - KNTT
- Giải sgk Công nghệ 12 - KNTT
- Giải sgk Hoạt động trải nghiệm 12 - KNTT
- Giải sgk Giáo dục quốc phòng 12 - KNTT
- Giải sgk Âm nhạc 12 - KNTT
- Giải sgk Mĩ thuật 12 - KNTT
- Lớp 12 Chân trời sáng tạo
- Soạn văn 12 (hay nhất) - CTST
- Soạn văn 12 (ngắn nhất) - CTST
- Giải sgk Toán 12 - CTST
- Giải sgk Vật Lí 12 - CTST
- Giải sgk Hóa học 12 - CTST
- Giải sgk Sinh học 12 - CTST
- Giải sgk Lịch Sử 12 - CTST
- Giải sgk Địa Lí 12 - CTST
- Giải sgk Giáo dục KTPL 12 - CTST
- Giải sgk Tin học 12 - CTST
- Giải sgk Hoạt động trải nghiệm 12 - CTST
- Giải sgk Âm nhạc 12 - CTST
- Lớp 12 Cánh diều
- Soạn văn 12 Cánh diều (hay nhất)
- Soạn văn 12 Cánh diều (ngắn nhất)
- Giải sgk Toán 12 Cánh diều
- Giải sgk Vật Lí 12 - Cánh diều
- Giải sgk Hóa học 12 - Cánh diều
- Giải sgk Sinh học 12 - Cánh diều
- Giải sgk Lịch Sử 12 - Cánh diều
- Giải sgk Địa Lí 12 - Cánh diều
- Giải sgk Giáo dục KTPL 12 - Cánh diều
- Giải sgk Tin học 12 - Cánh diều
- Giải sgk Công nghệ 12 - Cánh diều
- Giải sgk Hoạt động trải nghiệm 12 - Cánh diều
- Giải sgk Giáo dục quốc phòng 12 - Cánh diều
- Giải sgk Âm nhạc 12 - Cánh diều


Giải bài tập SGK & SBT
Tài liệu giáo viên
Sách
Khóa học
Thi online
Hỏi đáp

