Góc giữa hai đường thẳng; Góc giữa đường thẳng và mặt phẳng
Bài viết Góc giữa hai đường thẳng; Góc giữa đường thẳng và mặt phẳng với phương pháp giải chi tiết giúp học sinh ôn tập, biết cách làm bài tập Góc giữa hai đường thẳng; Góc giữa đường thẳng và mặt phẳng.
- Cách giải bài tập Góc giữa hai đường thẳng; Góc giữa đường thẳng và mặt phẳng
- Ví dụ minh họa Góc giữa hai đường thẳng; Góc giữa đường thẳng và mặt phẳng
- Bài tập vận dụng Góc giữa hai đường thẳng; Góc giữa đường thẳng và mặt phẳng
- Bài tập tự luyện Góc giữa hai đường thẳng; Góc giữa đường thẳng và mặt phẳng
Góc giữa hai đường thẳng; Góc giữa đường thẳng và mặt phẳng
(199k) Xem Khóa học Toán 12 KNTTXem Khóa học Toán 12 CDXem Khóa học Toán 12 CTST
Bài giảng: Cách viết phương trình đường thẳng cơ bản - Cô Nguyễn Phương Anh (Giáo viên VietJack)
A. Phương pháp giải
- Cho hai đường thẳng d, d’ có vectơ chỉ phương
Góc φ giữa hai đường thẳng được tính theo công thức:
- Cho đường thẳng d có vectơ chỉ phương
và mặt phẳng (P) có vectơ pháp tuyến
Góc φ giữa đường thẳng d và mặt phẳng (P) được tính theo công thức:
B. Ví dụ minh họa
Ví dụ: 1
Tính cosin góc giữa đường thẳng d với trục Ox biết
A.
B.
C.
D.
Lời giải:
Đường thẳng d có vecto chỉ phương
Trục Ox có vecto chỉ phương
Cosin góc giữa d và Ox là:
Chọn B.
Ví dụ: 2
Tính góc giữa
và d' là giao tuyến của hai mặt phẳng:
(P): x + 2y – z + 1 = 0 và (Q): 2x + 3z – 2 = 0?
A. 30o
B. 45o
C. 60o
D. 90o
Lời giải:
Hai mặt phẳng (P)và (Q) có vecto pháp tuyến là:
d' là giao tuyến của (P) và (Q) nên vectơ chỉ phương của d’ là
Đường thẳng d có vecto chỉ phương
Cosin góc giữa d và d’ là:
=> góc giữa d và d’ bằng 90o.
Chọn D.
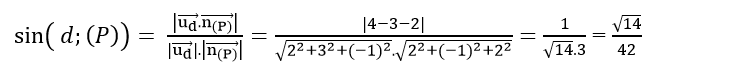
Ví dụ: 3
Tính sin góc giữa đường thẳng d và mặt phẳng (P) biết
và
(P): 2x – y + 2z – 1 = 0?
A.
B.
C.
D. Đáp án khác
Lời giải:
Đường thẳng d có vecto chỉ phương
Mặt phẳng (P) có vecto pháp tuyến
nên sin góc giữa d và (P) là:
Chọn A.
Ví dụ: 4
Cho bốn điểm A( 1; 0;1) ; B( -1; 2; 1); C( -1; 2; 1) và D( 0; 4; 2). Xác định cosin góc giữa hai đường thẳng AB và CD?
A.
B.
C.
D. Đáp án khác
Lời giải:
+ Đường thẳng AB có vecto chỉ phương
+ Đường thẳng CD có vecto chỉ phương
.
=> Cosin góc giữa hai đường thẳng AB và CD là:
Chọn C.
Ví dụ: 5
Cho đường thẳng
. Xác định m để cosin góc
giữa hai đường thẳng đã cho là:
A. m= 2
B. m = - 4
C. m= (- 1)/2
D. m= 1
Lời giải:
Đường thẳng d1 có vecto chỉ phương
Đường thẳng d2 có vecto chỉ phương
Để cosin góc giữa hai đường thẳng đã cho là:
Chọn C.
Ví dụ: 6
Cho đường thẳng
và mặt phẳng (P): x+ my- z+ 100= 0. Xác định m để cosin góc giữa đường thẳng d và mặt phẳng (P) là
?
A. m= ± 1
B.m= ± 2
C. m= 0
D. m= ± 3
Lời giải:
Đường thẳng d có vecto chỉ phương
Mặt phẳng (P) có vecto pháp tuyến
=> Sin góc tạo bởi đường thẳng d và mặt phẳng (P) là:
Theo giả thiết ta có:
Chọn A.
Ví dụ: 7
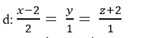
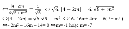
Cho đường thẳng
và mặt phẳng (P): 4x- 4y+ 2z- 9= 0. Xác định m để
A. m= 1
B.m= - 1
C. m= - 2
D. m= -1 hoặc m= -7
Lời giải:
+ Đường thẳng d có vecto chỉ phương
Mặt phẳng (P) có vecto pháp tuyến
=> Sin góc tạo bởi đường thẳng d và mặt phẳng (P) là:
Theo giả thiết ta có:
Chọn D.
Ví dụ: 8
Cho đường thẳng
; điểm A( 2; 0; 0); B (0; 1; 0) và
C( 0;0;- 3).Xác định sin góc giữa đường thẳng d và mặt phẳng (ABC) ?
A.
B.
C.
D. Đáp án khác
Lời giải:
+ Phương trình mặt phẳng (ABC):
Hay ( ABC): 3x + 6y – 2z – 6= 0
Mặt phẳng (ABC) có vecto pháp tuyến
.
+ Đường thẳng d có vecto chỉ phương
.
=> Sin góc giữa đường thẳng d và mặt phẳng (P) là:
Chọn A.
Ví dụ: 9
Trong không gian với hệ tọa độ Oxyz; gọi đường thẳng d đi qua A( -1; 0; -1),
cắt
, sao cho cosin góc giữa d và
là nhỏ
nhất. Phương trình đường thẳng d là
A.
B.
C.
D. Đáp án khác
Lời giải:
Gọi giao điểm của đường thẳng d và Δ1 là M( 1+ 2t; 2+ t; -2- t)
Đường thẳng d có vectơ chỉ phương
Đường thẳng Δ2 có vectơ chỉ phương
=> cosin góc giữa hai đường thẳng d và Δ2 là:
=> cosin góc giữa hai đường thẳng d và Δ2 là 0 khi t= 0.
Khi đó; M( 1; 2; - 2) và
Vậy phương trình đường thẳng d là:
Chọn B.
C. Bài tập vận dụng
Câu 1:
Tính sin của góc tạo bởi đường thẳng
và (P):x+y-z+2=0?
A.
B.
C.
D. Đáp án khác
Lời giải:
Đường thẳng d có vecto chỉ phương
Mặt phẳng (P) có vecto pháp tuyến
nên sin góc giữa d và (P) là:
Chọn C.
Câu 2:
Trong không gian với hệ trục toạ độ Oxyz; gọi (P) là mặt phẳng chứa đường thẳng
và tạo với trục Oy góc có số đo lớn nhất. Điểm nào sau đây thuộc mặt phẳng (P)?
A. ( -3; 0; 4)
B. ( 3; 0; 2)
C. ( -1; -2; -1)
D. ( 1;2;1)
Lời giải:
Gọi
là VTPT của (P).
Đường thẳng (d) có vecto chỉ phương
.
Gọi α là góc tạo bởi (P) và Oy, α lớn nhất khi sinα lớn nhất.
=> n→ vuông góc với u→ nên n→.u→=0
⇔ a- b- 2c= 0 ⇔ a= b+ 2c
=> vecto pháp tuyến
Ta có;
Nếu b= 0 thì sinα= 0
Nếu b ≠ 0 thì
. Khi đó, sinα lớn nhất khi:
Chọn b= 5; c= -2 => a= b+ 2c= 1
Vậy phương trình mặt phẳng (P) là x + 5y- 2z + 9= 0. Do đó ta có ( -1; -2; -1) thuộc (P).
Chọn C.
Câu 3:
Trong không gian với hệ tọa độ Oxyz; cho hai đường thẳng
. Tính cosin góc giữa hai đường thẳng này?
A.
B.
C.
D. Đáp án khác
Lời giải:
+ Đường thẳng d1 có vecto chỉ phương
.
Đường thẳng d2 có vecto chỉ phương
+ Cosin góc giữa hai đường thẳng d1 và d2 là:
Chọn B.
Câu 4:
Trong không gian với hệ tọa độ Oxyz; cho A(-1; 2; 0); B( 2; 1; 3) và mặt phẳng (P): 2x- y+ z- 2= 0. Sin góc của đường thẳng AB và mặt phẳng (P) là
. Tính a?
A . 5
B.10
C. 8
D. 7
Lời giải:
+ Đường thẳng AB có vecto chỉ phương là:
+ Mặt phẳng (P) có vecto pháp tuyến là:
=> Sin góc tạo bởi đường thẳng AB và mặt phẳng (P) là:
=>a= 10.
Chọn B
Câu 5:
Trong không gian với hệ tọa độ Oxyz; cho đường thẳng
mặt phẳng (P): 2x- y- z+ 5= 0 và M( 1; -1; 0). Đường thẳng Δ đi qua điểm M, cắt d và tạo với mặt phẳng (P) một góc thỏa mãn sin (Δ; (P))= 0,5
A.
B.
C.
D.
Lời giải:
Gọi giao điểm của d và Δ là N( 2+ 2t; t; - 2+ t)
Đường thẳng Δ có vectơ chỉ phương
Mặt phẳng (P) có vectơ pháp tuyến
=> sin góc tạo bởi đường thằng Δ và mặt phẳng (P) thỏa mãn:
+ Với t= 0 thì N( 2;0; -2 ) và
=> Phương trình đường thẳng MN≡Δ:
+ Với
=> Đường thẳng MN nhận vecto ( 23; 14; - 1) làm vecto chỉ phương
=> Phương trình MN:
Chọn D.
Câu 6:
Trong không gian với hệ tọa độ Oxyz; gọi d đi qua A( 3; -1; 1) nằm trong mặt phẳng (P): x- y+ z- 5= 0 đồng thời tạo với
một góc 45o. Phương trình đường thẳng d là
A.
B.
C.
D. Đáp án khác
Lời giải:
+ Đường thăng d có vectơ chỉ phương
Gọi một vectơ chỉ phương của đường thẳng d là:
Mặt phẳng (P) có vectơ pháp tuyến
+ Do đường thẳng d nằm trong mặt phẳng (P) nên: ud→.n→=0
⇔ a- b+ c= 0 ⇔ b= a+ c
+ Do góc giữa đường thẳng ( d) và ( Δ) là 450 nên ta có: cos( d;Δ) =cos45o
Với c= 0, chọn a= b= 1, phương trình đường thẳng d là:
Với 15a+ 7c= 0, chọn a= 7=> c= -15 và b= -8, phương trình đường thẳng d là
Chọn A
Câu 7:
Trong không gian với hệ tọa độ Oxyz; gọi d đi qua điểm A( 1; -1; 2) , song song với (P): 2x- y- z+ 3= 0 , đồng thời tạo với đường thẳng
một góc α sao cho cosα đạt giá trị nhỏ nhât. Phương trình đường thẳng d là.
A.
B.
C.
D.
Lời giải:
+ Đường thẳng Δ có vectơ chỉ phương
Đường thẳng d có vectơ chỉ phương
Mặt phẳng (P) có vectơ pháp tuyến
+ Vì d// (P) nên hai vecto ud→ và n→ vuông góc với nhau.
=> ud→.n→= 0 ⇔ 2a- b- c= 0 ⇔ c= 2a- b
+ Cosin góc tạo bởi đường thẳng d và Δ là:
=> cosin góc tạo bởi hai đường thẳng d và Δ đạt giá trị nhỉ nhất là 0 khi 5a- 4b= 0
Chọn a= 4 => b= 5 và c= 3
+ Đường thẳng d đi qua điểm A (1; -1; 2) và nhận vecto
làm vecto chỉ phương
=> Phương trình d:
Chọn C.
Câu 8:
Trong không gian Oxyz, cho điểm A( -2; 0; 0), đường thẳng d qua điểm A cắt và tạo với trục Oy góc 45o. Đường thẳng d có vecto chỉ phương là:
A. ( 2;2; 1) hoặc ( 2;- 2; 1)
B . ( 2; -1;0) hoặc ( 2; 1;0)
C. ( 1;2; 0) hoặc ( - 2; 1;0)
D. ( 2; 2; 0) hoặc ( 2; -2; 0)
Lời giải:
Gọi giao điểm của đường thẳng d và trục Oy là M( 0; m;0)
Trục Oy có vectơ chỉ phương là
Đường thẳng d có vecto chỉ phương
.
Góc giữa đường thẳng d và trục Oy là 45o nên ta có:
+ Với m= 2 đường thẳng d có vecto chỉ phương
+Với m = -2 đường thẳng d có vecto chỉ phương
Chọn D.
D. Bài tập tự luyện
Bài 1. Tính cosin góc giữa đường thẳng d với mặt phẳng (P): 2x – y + 2z – 1 = 0 biết d có phương trình: .
Bài 2. Tính góc giữa d và (α) biết d có phương trình: và (α): 2x + y + z – 8 = 0.
Bài 3. Cho mặt phẳng (P): 3x + 4y + 5z + 2 = 0 và đường thẳng d là giao tuyến của 2 mặt phẳng (α): x – 2y + 1 = 0, (β): x – 2z – 3 = 0. Gọi φ là góc giữa đường thẳng d và mặt phẳng (P). Tính góc φ?
Bài 4. Cho mặt phẳng (α): x – 2y + 1 = 0, (β): x – 2z – 3 = 0. Đường thẳng d là giao tuyến của (α) và (β). Tính cosin góc giữa d và mặt phẳng (P): 3x + 4y + 5z + 8 = 0.
Bài 5. Cho đường thẳng d: và mặt phẳng (P): 5x + 11y + 2z – 4 = 0. Tính góc giữa đường thẳng d và (P)?
Bài giảng: Cách viết phương trình đường thẳng nâng cao - Cô Nguyễn Phương Anh (Giáo viên VietJack)
(199k) Xem Khóa học Toán 12 KNTTXem Khóa học Toán 12 CDXem Khóa học Toán 12 CTST
Xem thêm các dạng bài tập Toán lớp 12 ôn thi Tốt nghiệp có lời giải hay khác:
- Vị trí tương đối của đường thẳng và mặt phẳng
- Vị trí tương đối của đường thẳng và mặt cầu
- Hình chiếu của một điểm lên đường thẳng, mặt phẳng
- Khoảng cách từ 1 điểm đến 1 đường thẳng; Khoảng cách giữa 2 đường thẳng chéo nhau
- Viết phương trình đường thẳng liên quan đến khoảng cách
Đã có app VietJack trên điện thoại, giải bài tập SGK, SBT Soạn văn, Văn mẫu, Thi online, Bài giảng....miễn phí. Tải ngay ứng dụng trên Android và iOS.
Theo dõi chúng tôi miễn phí trên mạng xã hội facebook và youtube:Nếu thấy hay, hãy động viên và chia sẻ nhé! Các bình luận không phù hợp với nội quy bình luận trang web sẽ bị cấm bình luận vĩnh viễn.
- Giải Tiếng Anh 12 Global Success
- Giải sgk Tiếng Anh 12 Smart World
- Giải sgk Tiếng Anh 12 Friends Global
- Lớp 12 Kết nối tri thức
- Soạn văn 12 (hay nhất) - KNTT
- Soạn văn 12 (ngắn nhất) - KNTT
- Giải sgk Toán 12 - KNTT
- Giải sgk Vật Lí 12 - KNTT
- Giải sgk Hóa học 12 - KNTT
- Giải sgk Sinh học 12 - KNTT
- Giải sgk Lịch Sử 12 - KNTT
- Giải sgk Địa Lí 12 - KNTT
- Giải sgk Giáo dục KTPL 12 - KNTT
- Giải sgk Tin học 12 - KNTT
- Giải sgk Công nghệ 12 - KNTT
- Giải sgk Hoạt động trải nghiệm 12 - KNTT
- Giải sgk Giáo dục quốc phòng 12 - KNTT
- Giải sgk Âm nhạc 12 - KNTT
- Giải sgk Mĩ thuật 12 - KNTT
- Lớp 12 Chân trời sáng tạo
- Soạn văn 12 (hay nhất) - CTST
- Soạn văn 12 (ngắn nhất) - CTST
- Giải sgk Toán 12 - CTST
- Giải sgk Vật Lí 12 - CTST
- Giải sgk Hóa học 12 - CTST
- Giải sgk Sinh học 12 - CTST
- Giải sgk Lịch Sử 12 - CTST
- Giải sgk Địa Lí 12 - CTST
- Giải sgk Giáo dục KTPL 12 - CTST
- Giải sgk Tin học 12 - CTST
- Giải sgk Hoạt động trải nghiệm 12 - CTST
- Giải sgk Âm nhạc 12 - CTST
- Lớp 12 Cánh diều
- Soạn văn 12 Cánh diều (hay nhất)
- Soạn văn 12 Cánh diều (ngắn nhất)
- Giải sgk Toán 12 Cánh diều
- Giải sgk Vật Lí 12 - Cánh diều
- Giải sgk Hóa học 12 - Cánh diều
- Giải sgk Sinh học 12 - Cánh diều
- Giải sgk Lịch Sử 12 - Cánh diều
- Giải sgk Địa Lí 12 - Cánh diều
- Giải sgk Giáo dục KTPL 12 - Cánh diều
- Giải sgk Tin học 12 - Cánh diều
- Giải sgk Công nghệ 12 - Cánh diều
- Giải sgk Hoạt động trải nghiệm 12 - Cánh diều
- Giải sgk Giáo dục quốc phòng 12 - Cánh diều
- Giải sgk Âm nhạc 12 - Cánh diều


Giải bài tập SGK & SBT
Tài liệu giáo viên
Sách
Khóa học
Thi online
Hỏi đáp

