Viết phương trình đường thẳng liên quan đến khoảng cách
Bài viết Viết phương trình đường thẳng liên quan đến khoảng cách với phương pháp giải chi tiết giúp học sinh ôn tập, biết cách làm bài tập Viết phương trình đường thẳng liên quan đến khoảng cách.
Viết phương trình đường thẳng liên quan đến khoảng cách
(199k) Xem Khóa học Toán 12 KNTTXem Khóa học Toán 12 CDXem Khóa học Toán 12 CTST
Bài giảng: Cách viết phương trình đường thẳng cơ bản - Cô Nguyễn Phương Anh (Giáo viên VietJack)
B. Ví dụ minh họa
Ví dụ: 1
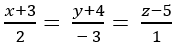
Trong không gian với hệ tọa độ Oxyz; cho đường thẳng
. Viết phương trình đường thẳng Δ đi qua điểm A(2;3; -1) cắt d tại B sao cho khoảng cách từ B đến mặt phẳng (α): x+ y+ z – 1= 0 bằng
.
A.
B.
C.
D.
Lời giải:
+ Do điểm B thuộc d nên tọa độ B( 1+ t; 2+ 2t; - t)
Do khoảng cách từ B đến mặt phẳng (α): x+ y+ z – 1= 0 bằng
nên:
+ Với t= 2 ta có B(3; 6;-2).
Đường thẳng Δ≡AB: đi qua B(3;6; -2) và nhận vecto
làm vecto chỉ phương
Δ Phương trình Δ:
+ Với t= -4 ta có B(- 3; - 6;4)
Đường thẳng Δ≡AB đi qua B(- 3;-6;4) và nhận vecto
làm vecto chỉ phương
Δ Phương trình Δ:
Chọn D.
Ví dụ: 2
Trong không gian với hệ tọa độ Oxyz. Viết phương trình đường thẳng Δ đi qua điểm A(-2;2;1) cắt trục tung tại B sao cho OB= 2OA
A.
B.
C.
D.
Lời giải:
+ Do B thuộc trục tung Oy nên B(0;b;0)
+ Ta có:
+ Do OB= 2OA nên |b|=2.3=6 ⇔
+ Với b= 6=> B( 0;6; 0)
Đường thẳng AB qua B( 0;6; 0) và nhận vecto
làm vecto chỉ phương
=>Phương trình AB:
+ Với b= -6 => B (0; - 6; 0)
Đường thẳng AB đi qua B( 0; - 6; 0) và nhận vecto
làm vecto chỉ phương
=> Phương trình AB:
Chọn D.
Ví dụ: 3
Trong không gian với hệ tọa độ Oxyz. Viết phương trình đường thẳng Δ đi qua điểm B(1;1;2) cắt đường thẳng
tại C sao cho tam giác OBC có diện tích bằng
.
A.
B.
C.
D. Cả A và C đúng
Lời giải:
+ Điểm C thuộc d nên tọa độ C( 2+ t; 3- 2t; - 1+ t)
+ Diện tích tam giác OBC là:
+ Với t= 2=> C( 4; -1; 1)
Ta có đường thẳng BC: đi qua B( 1; 1; 2) và vecto chỉ phương
Phương trình BC:
+
Đường thẳng BC: đi qua B( 1; 1; 2) và vecto chỉ phương
chọn ( 31; 78; -109)
=> Phương trình BC:
Vậy phương trình của Δ là
Chọn D
Ví dụ: 4
Trong không gian với hệ tọa độ Oxyz cho đường thẳng
, mặt phẳng (P): x+ y+ z+ 2= 0 . Gọi M là giao điểm của d và (P). Gọi Δ là đường thẳng nằm trong (P) vuông góc với d và cách M một khoảng bằng
. Phương trình đường thẳng Δ là
A.
B.
C.
D. Tất cả sai
Lời giải:
+ Gọi giao điểm của d và (P) là M
M thuộc d nên M( 3+ 2t; - 2+ t; - 1- t)
Thay tọa độ điểm M vào phương trình mặt phẳng (P) ta được:
3+ 2t - 2+ t- 1- t + 2 = 0
⇔ 2t + 2= 0 ⇔ t= - 1 nên M( 1; -3; 0)
+ Mặt phẳng (P) có vecttơ pháp tuyến
.
+ Đường thẳng d có vecttơ chỉ phương
+ Do đường thẳng Δ nằm trong (P) và vuông góc với d nên một vectoc chỉ phương của
đường thẳng Δ là:
+ Gọi N( x; y; z) là hình chiếu vuông góc của M trên Δ, khi đó
.
Ta có:
Giải hệ ta tìm được hai điểm N( 5; - 2; - 5) và N( - 3;– 4; 5).
Với N( 5 ; - 2 ; - 5) , ta có phương trình Δ:
Với N( -3 ; -4 ; 5) , ta có phương trình Δ:
Chọn A.
Ví dụ: 5
Trong không gian với hệ tọa độ Oxyz cho hai đường thẳng
. Đường thẳng d song song với (P): x+ y- 2z
+ 5= 0 và cắt hai đường thẳng d1; d2 lần lượt tại A; B sao cho AB ngắn nhất. Phương trình đường thẳng d là
A.
B.
C.
D.
Lời giải:
Gọi giao điểm của đường thẳng d với hai đường thẳng d1; d2 lần lượt là A và B.
+ Điểm A thuộc d1 nên A( - 1+ a; - 2+2a; a)
Điểm B thuộc d2 nên B( 2+ 2b; 1+ b; 1+ b)
+ Mà đường thẳng d song song với mặt phẳng (P) nên:
là vecto pháp tuyến của mặt phẳng (P).
=> 1( -a+ 2b+ 3) + 1( -2a+b+ 3) – 2( - a+ b+ 1) = 0
⇔ -a + 2b + 3 – 2a + b+ 3 + 2a- 2b- 2= 0
⇔- a+ b+ 4= 0 hay b= a- 4
Khi đó;
Dấu “=” xảy ra khi a= 2 => b= 2- 4= - 2
=> A(1; 2; 2) và B( - 2; - 1; - 1)
+ Đường thẳng d: qua điểm A(1;2;2); có vectơ chỉ phương
chọn (1;1; 1)
Vậy phương trình của d là
Chọn B.
Ví dụ: 6
Trong không gian với hệ tọa độ Oxyz, cho mặt phẳng (α) x+ y- z- 1 = 0 , hai
đường thẳng
. Đường thẳng (d) nằm trong mặt phẳng
( α) và cắt (Δ'); (d) và (Δ) chéo nhau mà khoảng cách giữa chúng bằng
có vecto chỉ phương là:
A .
B .
C .
D .
Lời giải:
+ Mặt phẳng (α) có VTPT
, đường thẳng (Δ) có VTCP
⇒n→ và uΔ→ cùng phương nên (Δ) ⊥ (α).
+ Gọi A=(Δ') ⋂ (α)⇒A(0;0;-1) ; B=(Δ)⋂(α)⇒B(1;0;0)⇒
+ Vì (d) ⊂(α) và (d) cắt (Δ') nên (d) đi qua A và (Δ) ⊥ (α) nên mọi đường thẳng nằm trong (α) và không đi qua B đều chéo với (Δ).
+ Gọi
là VTCP của (d) ⇒ ud→.n→=a+b-c=0 (1)
và ud→ không cùng phương với AB→ (2)
+ Ta có: d(d; Δ) = d( B; d)
Từ (1) và (3)⇒ ac=0 ⇒
.
• Với a= 0. Chọn b= c= 1 ⇒
• Với c= 0. Chọn a= 1; b= -1⇒
.
Chọn C.
Ví dụ: 7
Trong không gian với hệ tọa độ Oxyz, cho ba đường thẳng có phương trình
. Viết phương trình đường thẳng Δ,
biết Δ cắt ba đường thẳng d1 ; d2 ; d3 lần lượt tại các điểm A, B, C sao cho AB= BC.
A .
B .
C .
D .
Lời giải:
+ Xét ba điểm A, B, C lần lượt nằm trên ba đường thẳng d1 ; d2 ; d3.
Giả sử A(t;4–t;-1+2t),B(u;2–3u;-3u),C(-1+5v;1+2v;-1+v).
+ Ta có: A, B, C thẳng hàng và AB = BC ⇔ B là trung điểm của AC
=> Tọa độ ba điểm A( 1; 3;1); B( 0; 2; 0) và C( - 1;1; -1) .
+ Đường thẳng Δ đi qua B( 0; 2; 0) và có vecto chỉ phương
=> phương trình đường thẳng
Chọn B.
C. Bài tập vận dụng
Câu 1:
Trong không gian với hệ tọa độ Oxyz , cho đường thẳng
và mặt phẳng (P): - x+y+2z + 5= 0. Viết phương trình đường thẳng (Δ) nằm trong (P), song song với (d) và cách (d) một khoảng là
.
A .
B .
C .
D .
Lời giải:
+ Đường thẳng d có vecto chỉ phương
Mặt phẳng ( P) có vecto pháp tuyến
+ Chọn A(2;3; 3), B(6;5; 2) (d), mà A, B ∈ (P) nên (d) ⊂ (P) .
Gọi d1 là đường thẳng đi qua A nằm trong mặt phẳng (P) và vuông góc với đường thẳng d.
Gọi u→ là VTCP của d1 thì
=> Phương trình của đường thẳng
+ Gọi M là giao điềm của đường thẳng d1 và Δ.
=> M(2+3t; 3 9t; 3+6t) ∈( d1) .
Ta có AM là đoạn vuông góc chung của d và Δ nên :
Chọn C.
Câu 2:
Trong không gian với hệ toạ độ Oxyz, cho mặt phẳng (P): x+ y- z+ 1= 0 và đường thẳng
. Gọi I là giao điểm của d và (P). Viết phương trình của đường thẳng Δ nằm trong (P), vuông góc với d sao cho khoảng cách từ I đến Δ bằng
.
A .
B .
C .
D .
Lời giải:
+ Mặt phẳng (P) có VTPT
và d có
.
Gọi I là giao điểm của d và (P). Tọa độ I( 2+ t; 1-t; 1- 3t)
Thay tọa độ I vào (P) ta được:
2+ t+1- t- 1+ 3t + 1= 0
⇔3t + 3= 0 ⇔ t= -1 nên I ( 1; 2; 4)
+ Vì Δ ⊂(P);Δ⊥d ⇒ Δ có véc tơ chỉ phương
Gọi H là hình chiếu của I trên => H thuộc ( Q) qua I và vuông góc Δ.
⇒ Phương trình (Q): -2(x-1)+(y-2)-(z-4)=0⇔-2x+y-z+4=0
Gọi d1=(P)∩(Q) có VTCP
và d1 qua I
⇒
+ Giả sử H∈d1⇒ H(1;2+t;4+t)⇒
.
Ta có:
• Với t= 3 => H( 1; 5; 7) ⇒ Phương trình
• Với t- 3 => H( 1; -1; 1) ⇒ Phương trình
Chọn A.
Câu 3:
Trong không gian với hệ toạ độ Oxyz, cho mặt phẳng (P): 2x+ y- 2z+ 9= 0và đường thẳng
. Viết phương trình đường thẳng Δ vuông góc với (P) và cắt d tại một điểm M cách (P) một khoảng bằng 2.
A.
B.
C.
D. Đáp án khác
Lời giải:
+ Vì Δ ⊥ (P) nên Δ nhận
làm VTCP.
Giả sử M(t-1;7t+1;3-t)∈ d.
Ta có: d( M; (P))= 2 ⇒ |11t+2|=6 ⇒
+ Với
=> Phương trình Δ:
+ Với
=> Phương trình Δ:
Chọn A.
Câu 4:
Trong không gian với hệ tọa độ Oxyz, cho mặt phẳng (P): x- 2y + 2z - 1= 0 và hai
đường thẳng
. Xác định tọa độ điểm M thuộc
đường thẳng Δ1 sao cho khoảng cách từ M đến đường thẳng Δ2 và khoảng cách từ M đến mặt phẳng (P) bằng nhau. Biết M có tọa độ nguyên.
A. M( 0; 1; - 3)
B. M( 1; 2;3)
C. M( -1; 0; -9)
D. M( -2; - 1; - 15)
Lời giải:
+ M (–1 + t; t; –9 + 6t) ∈ Δ1
Đường thẳng Δ2 qua A (1; 3; –1) có véctơ chỉ phương
+ Ta có : d (M, Δ2) = d (M, (P))
Vậy M (0; 1; –3) hay
( Loại vì tọa độ M nguyên )
Chọn A.
Câu 5:
Trong không gian với hệ toạ độ Oxyz, cho mặt phẳng (P): x- 2y + 2z – 1= 0 và các đường thẳng
. Tìm các điểm M ∈ d1 ,N∈d2 sao cho MN // (P) và cách (P) một khoảng bằng 2.
A .
B .
C .
D .
Lời giải:
+ Phương trình tham số của d1 là:
. M ∈ d1 nên tọa độ của M .
Theo đề:
+ Với t = 1 ta được M1 (3; 0; 2)
+ Với t = 0 ta được M2 ( 1; 3; 0)
• Ứng với M1, điểm N1 cần tìm phải là giao của d2 với mp qua M1 và // (P), gọi mp này là (Q1).
Phương trình (Q1) là: (x-3)-2y+2(z-2)=0⇔x-2y+2z-7=0(1).
+ Phương trình tham số của d2 là:
Thay (2) vào (1), ta được: t = –1. Điểm N1 cần tìm là N1(–1;–4;0).
• Ứng với M2, tương tự tìm được N2(5;0;–5).
Chọn C
Câu 6:
Trong không gian với hệ tọa độ Oxyz, cho mặt phẳng ( P): x- 2y + 2z – 1= 0, đường thẳng
và điểm I( 2; 1; -1). Tìm tọa độ điểm M thuộc đường thẳng d sao cho IM=
.
A . M(3;0;2)
B. M( 2; - 1; 2)
C . M( 1; 2; 0)
D . M( -1; 2; - 3)
Lời giải:
Từ giả thiết ta có phương trình tham số của đường thẳng d :
Điểm M thuộc d nên tọa độ M( 1+ 2t; 3- 3t;2t)
Với t1=1 ⇒ M(3;0;2)
Với
Vậy, có hai điểm thỏa mãn yêu cầu bài toán là : M( 3 ; 0 ; 2) và
.
Chọn A.
Câu 7:
Trong không gian với hệ tọa độ Oxyz ; cho đường thẳng
. Biết rằng khoảng cách hai đường thẳng đã
cho là
. Có mấy giá trị của thỏa mãn ?
A. 0
B. 1
C.2
D. 3
Lời giải:
+ Đường thẳng d1 : đi qua A( 1 ; 2 ; 2) và có vecto chỉ phương
+ Đường thẳng d2 : đi qua B( -1 ;1 ; - m) và có vecto chỉ phương
+ta có ;
=> Khoảng cách giữa hai đường thẳng đã cho là:
Theo đầu bài ta có:
Chọn C.
Bài giảng: Cách viết phương trình đường thẳng nâng cao - Cô Nguyễn Phương Anh (Giáo viên VietJack)
(199k) Xem Khóa học Toán 12 KNTTXem Khóa học Toán 12 CDXem Khóa học Toán 12 CTST
Xem thêm các dạng bài tập Toán lớp 12 ôn thi Tốt nghiệp có lời giải hay khác:
- Vị trí tương đối của đường thẳng và mặt phẳng
- Vị trí tương đối của đường thẳng và mặt cầu
- Hình chiếu của một điểm lên đường thẳng, mặt phẳng
- Khoảng cách từ 1 điểm đến 1 đường thẳng; Khoảng cách giữa 2 đường thẳng chéo nhau
- Góc giữa hai đường thẳng; Góc giữa đường thẳng và mặt phẳng
Đã có app VietJack trên điện thoại, giải bài tập SGK, SBT Soạn văn, Văn mẫu, Thi online, Bài giảng....miễn phí. Tải ngay ứng dụng trên Android và iOS.
Theo dõi chúng tôi miễn phí trên mạng xã hội facebook và youtube:Nếu thấy hay, hãy động viên và chia sẻ nhé! Các bình luận không phù hợp với nội quy bình luận trang web sẽ bị cấm bình luận vĩnh viễn.
- Giải Tiếng Anh 12 Global Success
- Giải sgk Tiếng Anh 12 Smart World
- Giải sgk Tiếng Anh 12 Friends Global
- Lớp 12 Kết nối tri thức
- Soạn văn 12 (hay nhất) - KNTT
- Soạn văn 12 (ngắn nhất) - KNTT
- Giải sgk Toán 12 - KNTT
- Giải sgk Vật Lí 12 - KNTT
- Giải sgk Hóa học 12 - KNTT
- Giải sgk Sinh học 12 - KNTT
- Giải sgk Lịch Sử 12 - KNTT
- Giải sgk Địa Lí 12 - KNTT
- Giải sgk Giáo dục KTPL 12 - KNTT
- Giải sgk Tin học 12 - KNTT
- Giải sgk Công nghệ 12 - KNTT
- Giải sgk Hoạt động trải nghiệm 12 - KNTT
- Giải sgk Giáo dục quốc phòng 12 - KNTT
- Giải sgk Âm nhạc 12 - KNTT
- Giải sgk Mĩ thuật 12 - KNTT
- Lớp 12 Chân trời sáng tạo
- Soạn văn 12 (hay nhất) - CTST
- Soạn văn 12 (ngắn nhất) - CTST
- Giải sgk Toán 12 - CTST
- Giải sgk Vật Lí 12 - CTST
- Giải sgk Hóa học 12 - CTST
- Giải sgk Sinh học 12 - CTST
- Giải sgk Lịch Sử 12 - CTST
- Giải sgk Địa Lí 12 - CTST
- Giải sgk Giáo dục KTPL 12 - CTST
- Giải sgk Tin học 12 - CTST
- Giải sgk Hoạt động trải nghiệm 12 - CTST
- Giải sgk Âm nhạc 12 - CTST
- Lớp 12 Cánh diều
- Soạn văn 12 Cánh diều (hay nhất)
- Soạn văn 12 Cánh diều (ngắn nhất)
- Giải sgk Toán 12 Cánh diều
- Giải sgk Vật Lí 12 - Cánh diều
- Giải sgk Hóa học 12 - Cánh diều
- Giải sgk Sinh học 12 - Cánh diều
- Giải sgk Lịch Sử 12 - Cánh diều
- Giải sgk Địa Lí 12 - Cánh diều
- Giải sgk Giáo dục KTPL 12 - Cánh diều
- Giải sgk Tin học 12 - Cánh diều
- Giải sgk Công nghệ 12 - Cánh diều
- Giải sgk Hoạt động trải nghiệm 12 - Cánh diều
- Giải sgk Giáo dục quốc phòng 12 - Cánh diều
- Giải sgk Âm nhạc 12 - Cánh diều


Giải bài tập SGK & SBT
Tài liệu giáo viên
Sách
Khóa học
Thi online
Hỏi đáp

