Khoảng cách từ 1 điểm đến 1 đường thẳng; Khoảng cách giữa 2 đường thẳng chéo nhau
Bài viết Khoảng cách từ 1 điểm đến 1 đường thẳng; Khoảng cách giữa 2 đường thẳng chéo nhau với phương pháp giải chi tiết giúp học sinh ôn tập, biết cách làm bài tập Khoảng cách từ 1 điểm đến 1 đường thẳng; Khoảng cách giữa 2 đường thẳng chéo nhau.
- Cách giải bài tập Khoảng cách từ 1 điểm đến 1 đường thẳng; Khoảng cách giữa 2 đường thẳng chéo nhau
- Ví dụ minh họa Khoảng cách từ 1 điểm đến 1 đường thẳng; Khoảng cách giữa 2 đường thẳng chéo nhau
- Bài tập vận dụng Khoảng cách từ 1 điểm đến 1 đường thẳng; Khoảng cách giữa 2 đường thẳng chéo nhau
- Bài tập tự luyện Khoảng cách từ 1 điểm đến 1 đường thẳng; Khoảng cách giữa 2 đường thẳng chéo nhau
Khoảng cách từ 1 điểm đến 1 đường thẳng; Khoảng cách giữa 2 đường thẳng chéo nhau
(199k) Xem Khóa học Toán 12 KNTTXem Khóa học Toán 12 CDXem Khóa học Toán 12 CTST
Bài giảng: Các dạng bài về khoảng cách, góc trong không gian - Cô Nguyễn Phương Anh (Giáo viên VietJack)
A. Phương pháp giải
- Muốn tìm khoảng cách từ một điểm M đến đường thẳng d: có 2 cách sau:
+ Cách 1: Tìm hình chiếu H của điểm đó đến d => MH là khoảng cách từ A đến d
+ Cách 2. công thức (với u→ là vectơ chỉ phương của d và M0 là một điểm thuộc d)
- Muốn tìm khoảng cách giữa hai đường thẳng chéo nhau d (u→ là vectơ chỉ phương của d và d đi qua M0) và d’ ((u') ⃗ là vectơ chỉ phương của d’ và d’ đi qua M0') ta làm như sau:
+ Viết phương trình mặt phẳng (P) chứa d và song song d’
+ Khoảng cách giữa d và d’ chính là khoảng cách từ điểm M0' đến mặt phẳng (P) d( d,d’) = d(M0',(P))
+ Hoặc dùng công thức:
B. Ví dụ minh họa
Ví dụ: 1
Tìm khoảng cách của A(-2; 1; 3) đến đường thẳng
A.
B.
C. 2
D.
Lời giải:
Đường thẳng d đi qua B(0;1; -1) và có vectơ chỉ phương
Ta có:
Vậy
Chọn B.
Ví dụ: 2
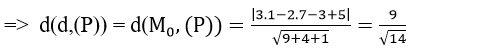
Cho mặt phẳng (P): 3x – 2y – z + 5 = 0 và đường thẳng
Tính khoảng cách giữa d và (P)
A.
B.
C.
D.
Lời giải:
Mặt phẳng (P) có vecto pháp tuyến
Đường thẳng d có vecto chỉ phương
và đi qua điểm M0(1;7;3)
Ta có:
Vậy d // (P)
Chọn D.
Ví dụ: 3
Tính khoảng cách giữa hai đường thẳng
A.
B.
C.
D. 1
Lời giải:
Cách 1:
Đường thẳng d có vecto chỉ phương là:
Đường thẳng d’ có vecto chỉ phương là:
.
- Gọi (P) là mặt phẳng chứa d và song song với d’. (P) nhận vectơ pháp tuyến là
M0(1;-1;1) thuộc d cũng thuộc (P) nên phương trình mặt phẳng (P) là:
- 1(x-1) – 2(y+1) + 1(z-1) = 0 hay x + 2y – z + 2 = 0
- d’ đi qua M0'(2;-2;3)
Vậy
Cách 2:
Ta có:
Vậy
chọn A.
Ví dụ: 4
Trong không gian với hệ tọa độ Oxyz; cho đường thẳng
và điểm A( -1; 2; 1). Tính khoảng cách từ điểm A đến đường thẳng d?
A.
B.
C.
D. Đáp án khác
Lời giải:
+ Đường thẳng d đi qua điểm M( 1; 0; - 2) và có vecto chỉ phương
+ Ta có:
=> Khoảng cách từ A đến đường thẳng d là:
Chọn C.
Ví dụ: 5
Trong không gian với hệ tọa độ Oxyz; cho hai đường thẳng
. Xác định khoảng cách giữa hai đường thẳng đã
cho?
A.
B.
C.
D. Tất cả sai
Lời giải:
+ Đường thẳng d đi qua A( 1;0; - 2) và có vecto chỉ phương
+ Đường thẳng d’ đi qua B( 2; -1; 2) và có vecto chỉ phương
=> Khoảng cách giữa hai đường thẳng đã cho là:
Chọn B.
Ví dụ: 6
Trong không gian với hệ tọa độ Oxyz; cho 3 điểm A( 0; 1; 2); B( -2;0; 1) và C( 2; 1; -3). Tính khoảng cách từ điểm A đến đường thẳng BC?
A.
B.
C.
D. Đáp án khác
Lời giải:
+ Đường thẳng BC đi qua B( -2; 0;1) và nhận vecto
làm vecto chỉ phương
+ Ta có:
=> Khoảng cách từ điể A đến đường thẳng BC là:
Chọn A.
Ví dụ: 7
Trong không gian với hệ tọa độ Oxyz; cho bốn điểm A(1; 2; -1); B( -2; 1; 1) C( 2; 1; 3) và D( -1; 0; 5). Tính khoảng cách hai đường thẳng AB và CD? biết rằng ba điểm A, C và D không thẳng hàng.
A.
B.
C.
D.
Lời giải:
+ Đường thẳng AB: đi qua A(1;2; -1) và nhận vecto
làm vecto chỉ phương
+ Đường thẳng CD đi qua C( 2; 1; 3) và nhận vecto
làm vecto chỉ phương.
+ Hai đường thẳng AB và CD có cùng vecto chỉ phương và điểm A không thuộc đường thẳng CD.
=> AB// CD nên d( AB; CD) = d( A; CD)
+ Ta có:
Chọn C.
Ví dụ: 8
Trong không gian với hệ tọa độ Oxyz; cho điểm A(-1; 0;2) và đường thẳng d:
. Tìm m để khoảng cách từ A đến d là
?
A. m= -1 hoặc m= (- 2)/3
B. m= - 1 hoặc m= 1/7
C. m= 1 hoặc m= - 1
D. m= 1 hoặc m= 1/7
Lời giải:
+ Đường thẳng d đi qua M( 2; 1; 2) và có vecto chỉ phương
+ Ta có;
+ Theo đầu bài ta có: d( A; d)=
Chọn B.
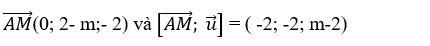
Ví dụ: 9
Trong không gian với hệ tọa độ Oxyz; cho điểm A( 1; m;2) và đường thẳng
. Tìm m để khoảng cách từ A đến đường thẳng d là 2?
A. m= 2
B. m= - 1
C. m= 3
D. m= - 4
Lời giải:
+ Đường thẳng d đi qua M( 1; 2; 0) và có vecto chỉ phương
+ Ta có:
+ Để khoảng cách từ A đến d là 2 thì:
Chọn A.
C. Bài tập vận dụng
Câu 1:
Tìm khoảng cách của A( 1;-2; 1) đến đường thẳng
A.
B.
C. 2
D.
Lời giải:
Đường thẳng d đi qua B(2;0; -1) và có vectơ chỉ phương
Ta có:
Vậy
Chọn B.
Câu 2:
Cho mặt phẳng (P): x + 2y – z + 1= 0 và đường thẳng
.
Tính khoảng cách giữa d và (P)
A.
B.
C.
D.
Lời giải:
Mặt phẳng (P) có vecto pháp tuyến
Đường thẳng d có vecto chỉ phương
và đi qua điểm M0 (1;0;3)
Ta có:
Vậy d // (P)
Chọn C.
Câu 3:
Tính khoảng cách giữa hai đường thẳng
A.
B.
C.
D.
Lời giải:
Đường thẳng d đi qua A( 2; -1; 1) và có vecto chỉ phương
.
Đường thẳng d’ đi qua B( 0; -2; 1) và có vecto chỉ phương
Ta có:
Và
Vậy
Chọn D.
Câu 4:
Trong không gian với hệ tọa độ Oxyz; cho đường thẳng
và điểm A( 0;-2; 3). Tính khoảng cách từ điểm A đến đường thẳng d?
A.
B.
C.
D. Đáp án khác
Lời giải:
+ Đường thẳng d đi qua điểm M( 0;1; -1) và có vecto chỉ phương
+ Ta có;
=> Khoảng cách từ A đến đường thẳng d là:
Chọn A.
Câu 5:
Trong không gian với hệ tọa độ Oxyz; cho hai đường thẳng
. Xác định khoảng cách giữa hai đường thẳng đã
cho?
A.
B.
C.
D. Tất cả sai
Lời giải:
+ Đường thẳng d đi qua A( 1;0; 0) và có vecto chỉ phương
+ Đường thẳng d’ đi qua B(0;1; 2) và có vecto chỉ phương
=> Khỏang cách giữa hai đường thẳng đã cho là:
Chọn D.
Câu 6:
Trong không gian với hệ tọa độ Oxyz; cho hai điểm A( 2; -1; -1); B(2; 3; 1). Tính khoảng cách từ điểm O đến đường thẳng AB?
A.
B.
C.
D. Đáp án khác
Lời giải:
+ Đường thẳng AB đi qua A( 2; -1; -1) và nhận vecto
làm vecto chỉ phương
+ Ta có:
=>Khoảng cách từ điểm O đến đường thẳng AB là:
Chọn A.
Câu 7:
Trong không gian với hệ tọa độ Oxyz; cho bốn điểm A(0; 0; 2); B(1; 2; -1) C( 2; 1; 3) và D( 4; 5; -3). Tính khoảng cách hai đường thẳng AB và CD? biết rằng ba điểm A, C và D không thẳng hàng.
A.
B.
C.
D.
Lời giải:
+ Đường thẳng AB: đi qua A(0;0; 2) và nhận vecto
làm vecto chỉ phương
+ Đường thẳng CD đi qua C( 2; 1; 3) và nhận vecto
làm vecto chỉ phương.
+ Hai đường thẳng AB và CD có hai vecto chỉ phương là cùng phương và điểm A không thuộc đường thẳng CD.
=> AB// CD nên d( AB; CD) = d( A; CD)
+ Ta có:
Chọn C.
Câu 8:
Trong không gian với hệ tọa độ Oxyz; cho điểm A(1; 1; 1) và đường thẳng
. Tìm m để khoảng cách từ A đến d là
?
A. m= -1
B. m= 0
C. m= - 2
D. m= 1
Lời giải:
+ Đường thẳng d đi qua M( 1;2; 2) và có vecto chỉ phương
+ Ta có;
+ Theo đầu bài ta có: d( A; d)=
Chọn B.
Câu 9:
Trong không gian với hệ tọa độ Oxyz; cho điểm A(m; 0; 2) và đường thẳng
. Tìm m để khoảng cách từ A đến đường thẳng d là
?
A. m= 2 hoặc m=1
B. m= -1 hoặc m= 0
C. m= 3 hoặc m= 0
D. m= - 4 hoặc m= -1
Lời giải:
+ Đường thẳng d đi qua M( 1; 2; - 1) và có vecto chỉ phương
+ Ta có:
+ Để khoảng cách từ A đến d là 2 thì:
Chọn B.
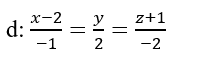
D. Bài tập tự luyện
Bài 1. Tính khoảng cách từ điểm M(4; -3; 2) đến đường thẳng d có phương trình: ?
Bài 2. Tính khoảng cách từ điểm M đến đường thẳng d trong mỗi trường hợp sau:
a) M(2; 3; 1); d: .
b) M(1; 0; 0); d: .
Bài 3. Trong không gian tọa độ Oxyz cho đường thẳng (d): điểm M(−3; 1; 2). Khoảng cách từ điểm M đến đường thẳng d là?
Bài 4. Trong không gian với hệ tọa độ Oxyz, tính khoảng cách d từ điểm A(1; -2; 3) đến đường thẳng Δ: .
Bài 5. Tính khoảng cách từ điểm N(2; 3; –1) đến đường thẳng Δ đi qua điểm M0và có vectơ chỉ phương
Bài giảng: Các dạng bài về khoảng cách, góc trong không gian - Cô Nguyễn Phương Anh (Giáo viên VietJack)
(199k) Xem Khóa học Toán 12 KNTTXem Khóa học Toán 12 CDXem Khóa học Toán 12 CTST
Xem thêm các dạng bài tập Toán lớp 12 ôn thi Tốt nghiệp có lời giải hay khác:
- Vị trí tương đối của đường thẳng và mặt phẳng
- Vị trí tương đối của đường thẳng và mặt cầu
- Hình chiếu của một điểm lên đường thẳng, mặt phẳng
- Viết phương trình đường thẳng liên quan đến khoảng cách
- Góc giữa hai đường thẳng; Góc giữa đường thẳng và mặt phẳng
Đã có app VietJack trên điện thoại, giải bài tập SGK, SBT Soạn văn, Văn mẫu, Thi online, Bài giảng....miễn phí. Tải ngay ứng dụng trên Android và iOS.
Theo dõi chúng tôi miễn phí trên mạng xã hội facebook và youtube:Nếu thấy hay, hãy động viên và chia sẻ nhé! Các bình luận không phù hợp với nội quy bình luận trang web sẽ bị cấm bình luận vĩnh viễn.
- Giải Tiếng Anh 12 Global Success
- Giải sgk Tiếng Anh 12 Smart World
- Giải sgk Tiếng Anh 12 Friends Global
- Lớp 12 Kết nối tri thức
- Soạn văn 12 (hay nhất) - KNTT
- Soạn văn 12 (ngắn nhất) - KNTT
- Giải sgk Toán 12 - KNTT
- Giải sgk Vật Lí 12 - KNTT
- Giải sgk Hóa học 12 - KNTT
- Giải sgk Sinh học 12 - KNTT
- Giải sgk Lịch Sử 12 - KNTT
- Giải sgk Địa Lí 12 - KNTT
- Giải sgk Giáo dục KTPL 12 - KNTT
- Giải sgk Tin học 12 - KNTT
- Giải sgk Công nghệ 12 - KNTT
- Giải sgk Hoạt động trải nghiệm 12 - KNTT
- Giải sgk Giáo dục quốc phòng 12 - KNTT
- Giải sgk Âm nhạc 12 - KNTT
- Giải sgk Mĩ thuật 12 - KNTT
- Lớp 12 Chân trời sáng tạo
- Soạn văn 12 (hay nhất) - CTST
- Soạn văn 12 (ngắn nhất) - CTST
- Giải sgk Toán 12 - CTST
- Giải sgk Vật Lí 12 - CTST
- Giải sgk Hóa học 12 - CTST
- Giải sgk Sinh học 12 - CTST
- Giải sgk Lịch Sử 12 - CTST
- Giải sgk Địa Lí 12 - CTST
- Giải sgk Giáo dục KTPL 12 - CTST
- Giải sgk Tin học 12 - CTST
- Giải sgk Hoạt động trải nghiệm 12 - CTST
- Giải sgk Âm nhạc 12 - CTST
- Lớp 12 Cánh diều
- Soạn văn 12 Cánh diều (hay nhất)
- Soạn văn 12 Cánh diều (ngắn nhất)
- Giải sgk Toán 12 Cánh diều
- Giải sgk Vật Lí 12 - Cánh diều
- Giải sgk Hóa học 12 - Cánh diều
- Giải sgk Sinh học 12 - Cánh diều
- Giải sgk Lịch Sử 12 - Cánh diều
- Giải sgk Địa Lí 12 - Cánh diều
- Giải sgk Giáo dục KTPL 12 - Cánh diều
- Giải sgk Tin học 12 - Cánh diều
- Giải sgk Công nghệ 12 - Cánh diều
- Giải sgk Hoạt động trải nghiệm 12 - Cánh diều
- Giải sgk Giáo dục quốc phòng 12 - Cánh diều
- Giải sgk Âm nhạc 12 - Cánh diều


Giải bài tập SGK & SBT
Tài liệu giáo viên
Sách
Khóa học
Thi online
Hỏi đáp

