60 câu hỏi trắc nghiệm đường thẳng trong không gian có lời giải (phần 1)
Với 60 câu hỏi trắc nghiệm đường thẳng trong không gian (phần 1) có lời giải chi tiết sẽ giúp học sinh ôn tập, biết cách làm câu hỏi trắc nghiệm đường thẳng trong không gian (phần 1).
60 câu hỏi trắc nghiệm đường thẳng trong không gian có lời giải (phần 1)
(199k) Học Toán 12 KNTTHọc Toán 12 CDHọc Toán 12 CTST
Bài giảng: Cách viết phương trình đường thẳng cơ bản - Cô Nguyễn Phương Anh (Giáo viên VietJack)
Bài tập vận dụng
Câu 1:
Cho đường thẳng d có phương trình tham số:
Phương trình nào sau đây là phương trình chính tắc của d ?
(A).
(B).
(C). 2x+y+z-5=0
(D). x-2=y-1=z
Lời giải:
Chọn B
Dựa vào phương trình tham số d đi qua 1 điểm A (2; 1; 0) và có 1 vectơ chỉ phương là
Do đó, phương trình chính tắc của d là :
Câu 2:
Phương trình nào sau đây là phương trình chính tắc của đường thẳng đi qua hai điểm A (1; 2; -3) và B (3; -1; 1) ?
(A)
(B)
(C)
(D)
Lời giải:
Chọn C
Ta có:
Vậy phương trình chính tắc của đường thẳng AB là:
Câu 3:
Tọa độ giao điểm M của đường thẳng d và mặt phẳng (α), biết:
và (α):3x+5y-z-2=0 là:
(A) (1;0;1)
(B)(0;0;-2)
(C)(1;1;6)
(D)(12;9;1)
Lời giải:
Chọn B
Phương trình tham số của d là:
Điểm M thuộc d nên tọa độ của M là: (12 + 4t; 9 + 3t; 1 +t)
Điểm M thuộc (α) nên tọa độ của M thỏa mãn:
3.(12 + 4t)+5(9 + 3t)-(1 +t)-2=0
⇔ 36+ 12t + 45 + 15t – 1- t – 2= 0 ⇔ 26t + 78= 0
⇔t=-3
Nên M (0;0;-2)
Câu 4:
Cho đường thẳng
và mặt phẳng (α):x+3y+z+1=0
Trong các mệnh đề sau, tìm mệnh đề đúng:
(A)d //(α)
(B) d cắt (α)
(C) d ⊂ (α)
(D) d⊥(α)
Lời giải:
Chọn A
Vectơ chỉ phương của d là : và 1 điểm thuộc d là M (1; 2; 1)
Vectơ pháp tuyến của (α) là :
Vậy d //(α)
Câu 5:
Cho đường thẳng
và mặt phẳng (α):x+y+z-4=0
Trong các mệnh đề sau, tìm mệnh đề đúng:
(A) d cắt (α)
(B) d //(α)
(C) d ⊂(α)
(D) d⊥(α)
Lời giải:
Chọn C
Vectơ chỉ phương của d là : và 1 điểm thuộc d là M (1; 1; 2)
Vectơ pháp tuyến của (α) là :
Vậy d ⊂(α)
Câu 6:
Hãy tìm kết luận đúng về vị trí tương đối giữa hai đường thẳng:
(A) d cắt d'
(B) d≡d'
(C) d chéo với d'
(D) d//d'
Lời giải:
Chọn D
Vectơ chỉ phương của d là :
và 1 điểm thuộc d là M (1; 2; 3)
Vectơ chỉ phương của d’ là :
và 1 điểm thuộc d’ là M’ (1; -1; 2)
u'→=2u→ và M không thuộc d’
Vậy d // d’
Câu 7:
Giao điểm của hai đường thẳng:
là:
(A) (-3;-2;6)
(B) (3;7;18)
(C) (5;-1;20)
(D) (3;-2;1)
Lời giải:
Chọn B
Tọa độ giao điểm của d và d’ thỏa mãn hệ:
Giải hệ gồm (1) và (2) , ta được t = 3; t’ = - 2 (thỏa mãn (3))
Vậy giao điểm d và d’ là: (3;7;18)
Câu 8:
Tìm m để hai đường thẳng sau đây cắt nhau:
(A) m=0
(B) m=1
(C) m=-1
(D) m=2
Lời giải:
Chọn A
Vectơ chỉ phương của d là :
và 1 điểm thuộc d là M (1; 0; -1)
Vectơ chỉ phương của d’ là :
và 1 điểm thuộc d’ là M’ (1; 2; 3)
Vậy m = 0 để d và d’ cắt nhau
Câu 9:
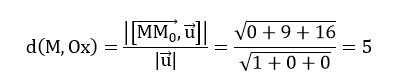
Khoảng cách từ điểm M (-2; -4; 3) đến trục Ox là:
(A) 5
(B) 2
(C) 1
(D) 11
Lời giải:
Chọn A
Vectơ chỉ phương của Ox là :
và 1 điểm thuộc Ox là M_0 (1; 0; 0)
Khoảng cách từ M đến Ox là:
Câu 10:
Gọi H là hình chiếu vuông góc của điểm A (2; -1; -1) đến trục Ox. Độ dài AH là:
(A) 5
(B)
(C) 2
(D)
Lời giải:
Chọn D
Vectơ chỉ phương của Ox là :
và 1 điểm thuộc Ox là M_0 (1; 0; 0)
Khoảng cách từ A đến Ox là:
H là hình chiếu của A trên Ox nên độ dài AH = khoảng cách từ A đến Ox =
Câu 11:
Khoảng cách từ điểm M (2; 0; 1) đến đường thẳng
là:
(A)
(B)
(C)
(D)
Lời giải:
Chọn C
Vectơ chỉ phương của d là :
và 1 điểm thuộc d là M_0 (1; 0; 2)
Khoảng cách từ M đến d là:
Câu 12:
Bán kính của mặt cầu tâm I (1; 3; 5) và tiếp xúc với đường thẳng
là:
(A)
(B) 14
(C)
(D) 7
Lời giải:
Chọn A
Vectơ chỉ phương của d là :
và 1 điểm thuộc d là M_0 (0; -1; 2)
Khoảng cách từ I đến d là:
Do mặt cầu tâm I tiếp xúc với d nên bán kính mặt cầu = khoảng cách từ I đến d =
Câu 13:
Khoảng cách giữa hai đường thẳng:
là:
(A)
(B)
(C)
(D)
Lời giải:
Chọn B
Vectơ chỉ phương của d là :
và 1 điểm thuộc d là M_0 (1; -1; 1)
Vectơ chỉ phương của d’ là :
và 1 điểm thuộc d’ là M_0' (2; -2; 3)
Ta có:
Vậy
Câu 14:
Tọa độ hình chiếu vuông góc của điểm M (2; 0; 1) trên đường thẳng:
là:
(A) (1;0;2)
(B) (2;2;3)
(C) (0;-2;1)
(D)(-1;-4;0)
Lời giải:
Gọi (P) là mặt phẳng chứa điểm M và vuông góc với Δ nhận vectơ chỉ phương của Δ làm vectơ pháp tuyến nên ta có phương trình của (P) là:
1. (x – 2) + 2. (y – 0) +1.(z – 1) = 0 hay x + 2y + z – 3 = 0
Tìm H là giao điểm của Δ và (P)
Do H ∈ Δ nên tọa độ H (t+1; 2t; t+2)
Lại có H thuộc mặt phẳng (P) nên ta có:
(t+1) + 2(2t) + (t+2) – 3 = 0 <=> 6t = 0 nên t = 0
Vậy H(1; 0; 2) là hình chiếu của M trên d.
Câu 15:
Cho đường thẳng
Khoảng cách giữa Δ và Ox là:
(A)
(B)
(C)
(D)
Lời giải:
Chọn B
Vectơ chỉ phương của Δ là :
và 1 điểm thuộc Δ là M_0 (1; 7; 3)
Vectơ chỉ phương của Ox là :
và 1 điểm thuộc Ox là M_0' (1; 0; 0)
Ta có:
Vậy
Câu 16:
Cho hai đường thẳng:
Và điểm A (1; 2; 3). Đường thẳng Δ đi qua A, vuông góc với d1 và cắt d2 có phương trình là:
(A)
(B)
(C)
(D)
Lời giải:
Chọn A
- Mặt phẳng (P) đi qua điểm A và vuông góc với đường thẳng d1 có vectơ pháp tuyến là
Phương trình mặt phẳng (P) là:
2.(x – 1) – 1 . (y – 2) + 1. (z – 3) = 0 hay 2x – y + z – 3 = 0
- Tìm giao điểm B = (P)∩d2
Gọi tọa độ B( 1- t; 1+ 2t; -1+ t)
Do B nằm trên mặt phẳng (P) nên: 2( 1-t) – ( 1+ 2t) - 1+ t- 3= 0
⇔ 2- 2t – 1- 2t - 1+ t - 3= 0
⇔ - 3t – 3= 0 ⇔ t= - 1
=>Tọa độ điểm B (2; -1; -2)
- Đường thẳng Δ cần tìm là đường thẳng đi qua 2 điểm A, B
Vectơ chỉ phương của là:
Vậy phương trình đường thẳng Δ là:
Câu 17:
Cho A (0; 0; 1), B ( -1; -2; 0), C ( 2; 1; -1). Đường thẳng Δ đi qua trọng tâm G của tam giác ABC và vuông góc với mp (ABC) có phương trình là:
(A)
(B)
(C)
(D)
Lời giải:
Chọn B
Trọng tâm G của tam giác ABC là:
n→ là 1 vectơ pháp tuyến của mp (ABC)
Do Δ vuông góc với mp (ABC) nên 1 vectơ chỉ phương của Δ là: (5;-4;3)
Đường thẳng Δ đi qua trọng tâm G của tam giác ABC và vuông góc với mp (ABC) có phương trình là:
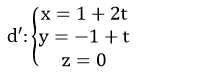
Câu 18:
Cho đường thẳng:
;mp(α):x+y-z+3=0 và điểm A (1;2; -1)
Đường thẳng Δ qua A cắt d và song song với mp(α) có phương trình là:
(A)
(B)
(C)
(D)
Lời giải:
Chọn C
Gọi B = d ∩ Δ
B ( t + 3; 3t + 3; 2t ) =>
vectơ pháp tuyến của mp(α) là : (1; 1; -1)
Δ song song với mp(α) nên vectơ pháp tuyến của mp(α) vuông góc với Δ
⇔ t+ 2 + 3t+ 1- 2t – 1= 0 ⇔ 2t + 2= 0
⇔t=-1
Nên
là 1 vectơ chỉ phương của Δ
Vậy Δ có phương trình là:
Câu 19:
Cho mặt phẳng (P): 3x + 4y + 5z + 8 = 0 và đường thẳng d là giao tuyến của hai mặt phẳng (α):x-2y+1=0 và (β):x-2z-3=0. Gọi φ là góc giữa đường thẳng d và mp (P). Khi đó:
(A) φ=30o
(B) φ=45o
(C) φ=60o
(D) φ=90o
Lời giải:
Chọn C
- d là giao tuyến của hai mặt phẳng (α):x-2y+1=0 và (β):x-2z-3=0
nên 1 vectơ chỉ phương của d là:
Hay chọn vectơ chỉ phương của d là
- Ta có vectơ pháp tuyến của (P) là
Góc φ giữa đường thẳng d và mặt phẳng (P) được tính theo công thức:
Vậy φ=60o
Câu 20:
Cho A(5; 1; 3), B (-5; 1; -1), C (1; -3; 0), D (3; -6; 2). Tọa độ của điểm A’ đối xứng với A qua mp (BCD) là:
(A) (-1;7;5)
(B) (1;7;5)
(C) (1;-7;5)
(D) (1;-7;-5)
Lời giải:
Chọn D
Nên chọn 1 vectơ pháp tuyến của mp (BCD) là: (1; 2; 2)
Phương trình mp (BCD) là:
1.(x + 5) + 2. (y – 1) + 2 . (z + 1) = 0 hay x + 2y + 2z + 5 = 0
- Đường thẳng d đi qua A và vuông góc với (BCD) nhận vectơ pháp tuyến của (BCD) làm vectơ chỉ phương
Phương trình của d là:
Tìm H là giao điểm của d và (BCD)
Tọa độ của H( 5 + t; 1 + 2t; 3 + 2t)
Do H thuộc mặt phẳng (BCD) nên thay tọa độ điểm H vào phương trình mp(P) ta được
(5 + t) + 2. (1 + 2t) + 2. (3 + 2t) + 5 = 0
⇔ 5+ t+ 2+ 4t + 6 + 4t + 5= 0 ⇔ 9t + 18= 0
<=> t = - 2
Vậy H là hình chiếu vuông góc của A trên (BCD) và H(3;-3;-1)
- điểm A’ đối xứng với A qua mp (BCD) => H là trung điểm của AA’
Vậy A’ (1; -7; -5)
Câu 21:
Cho A (3; 0; 0), B (0; -6; 0), C (0; 0; 6) . Phương trình đường trung tuyến AM của tam giác ABC là:
(A)
(B)
(C)
(D)
Lời giải:
Chọn C
Tam giác ABC có AM là trung tuyến => M là trung điểm BC
Tọa độ M là (0; -3; 3)
Nên chọn 1 vectơ chỉ phương của AM là: (1; 1; -1)
Phương trình đường trung tuyến AM là
Câu 22:
Cho đường thẳng:
Hình chiếu vuông góc của d trên mp tọa độ (Oxy) là:
(A)
(B)
(C)
(D)
Lời giải:
Chọn B
Mặt phẳng (Oxy) có phương trình z= 0
Phương trình tham số của d là:
Mỗi điểm M (x; y; z) thuộc d có hình chiếu trên (Oxy) là điểm M’ (x; y; 0) thuộc d’ với d’ là hình chiếu vuông góc của d trên (Oxy)
Vậy d’ có phương trình tham số là:
Câu 23:
Cho đường thẳng
và điểm A(3; -2;5) . Tọa độ hình chiếu của điểm A trên d là:
(A) (4;-1;3)
(B) (-4;1;-3)
(C) (4;-1;-3)
(D) (-4;-1;3)
Lời giải:
Chọn A
Mặt phẳng (P) chứa điểm A và vuông góc với d nhận vectơ chỉ phương của d làm vectơ pháp tuyến nên ta có phương trình của (P) là:
4.(x – 3) - 2. (y + 2) + 1. (z – 5) = 0 hay 4x – 2y + z – 21 = 0
Tìm H là giao điểm của d và (P)
Tọa độ H( -8 + 4t; 5 – 2t; t) thỏa mãn :
4. (-8 + 4t) – 2. (5 – 2t) + t – 21 = 0 <=> t = 3
Vậy H là hình chiếu của A trên d và
H(4;-1;3)
Câu 24:
Cho hai đường thẳng :
Khoảng cách giữa d1 và d2 bằng:
(A)
(B)
(C)
(D)
Lời giải:
Chọn B
- Vectơ chỉ phương của d1 là : và 1 điểm thuộc d1 là M0 (2; -1; -3)
Vectơ chỉ phương của d2 là : và 1 điểm thuộc d2 là M0' (1; 1; -1)
u→=u'→; M0 ∉ d2 nên d1// d2
- Gọi H là hình chiếu vuông góc của M_0 trên d2, ta có độ dài M0 H chính là khoảng cách giữa d1 và d2
Mặt phẳng (P) chứa điểm M0 và vuông góc với d2 nhận vectơ chỉ phương của d2 làm vectơ pháp tuyến nên ta có phương trình của (P) là:
1(x – 2) + 2. (y +1) + 2. (z +3) = 0 hay x + 2y + 2z + 6 = 0
Tìm H là giao điểm của d2 và (P)
Tọa độ H ( t + 1; 2t + 1; 2t - 1) thỏa mãn :
( t + 1 ) + 2(2t+1) + 2( 2t - 1) + 6 = 0 <=> t = -7/9
Vậy H là hình chiếu của M_0 trên d2 và
H(2/9;(-5)/9;(-23)/9)
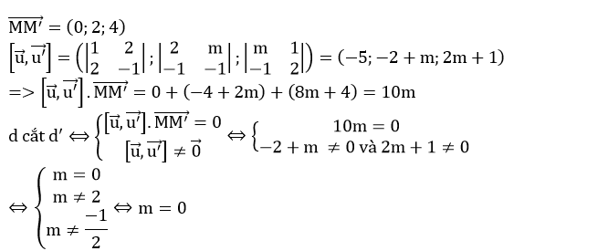
Câu 25:
Cho hai đường thẳng
Mặt phẳng cách đều hai đường thẳng d1, d2 có phương trình là
(A)x+5y+2z+12=0
(B)x+5y-2z+12=0
(C) x-5y+2z-12=0
(D) x+5y+2z-12=0
Lời giải:
Chọn D
- Vectơ chỉ phương của d1 là :
và 1 điểm thuộc d1 là 0 (2; 1; 0)
Vectơ chỉ phương của d2 là :
và 1 điểm thuộc d2 là M0' (2; 3; 0)
Gọi (P1) là mặt phẳng chứa d1 và song song với d2 nên có 1 vectơ pháp tuyến là:
Hay chọn vectơ pháp tuyến của (P1) là ( 1; 5; 2)
Tương tự (P2) là mặt phẳng chứa d2 và song song với d1 có 1 vectơ pháp tuyến là: ( 1; 5; 2)
- Vì (P) cách đều d1; d2 => (P) cách đều (P1) và (P2)
=> (P) có 1 vectơ pháp tuyến là: ( 1; 5; 2)
PT mp (P) có dạng x + 5y + 2z + a = 0
Và d(M0;(P))=d(M0';(P))
Vậy PT mp (P) là: x + 5y + 2z – 12 = 0
Câu 26:
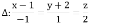
Cho hai điểm A (1; 4; 2) , B (-1; 2; 4) và đường thẳng
Điểm M thuộc Δ mà MA2+MB2 nhỏ nhất có toạ độ là:
(A) (-1;0;4)
(B) (0;-1;4)
(C) (1;0;4)
(D) (1;0;-4)
Lời giải:
Chọn A
M thuộc Δ =>M(-t+1;t-2;2t)
MA2=(t)2+(6-t)2+(2-2t)2=6t2-20t+40
MB2=(t-2)2+(4-t)2+(4-2t)2=6t2-28t+36
MA2+MB2=12t2-48t+76=12(t2-4t+19/3)=12[(t-2)2+7/3]
MA2+MB2 nhỏ nhất ⇔t=2
Vậy M ( -1; 0; 4)
Câu 27:
Cho hai điểm A (3; 3; 1), B (0; 2; 1) và mp (P): x + y + z – 7 = 0. Đường thẳng d nằm trên mp (P) sao cho mọi điểm của d cách đều hai điểm A, B có phương trình là:
(A)
(B)
(C)
(D)
Lời giải:
Chọn A
- Đường thẳng d cách đều hai điểm A, B => đường thẳng d nằm trên mp (Q) trung trực của AB ( mp vuông góc với AB tại trung điểm M của AB)
Trung điểm M của AB là:
Chọn 1 vectơ pháp tuyến của mp (Q) là: (3;1;0)
Phương trình mp (Q) là:
- d = (P) ∩ (Q) nên tọa độ M (x; y; z) thuộc d thỏa mãn hệ:
Vậy phương trình của d là:
Câu 28:
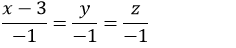
Cho hai đường thẳng:
Phương trình đường vuông góc chung của d1 và d2 là:
(A)
(B)
(C)
(D)
Lời giải:
Chọn B
- mặt phẳng (P) chứa d1 và song song với d2 có
Hay chọn 1 vectơ pháp tuyến của (P) là (2; 1; 4)
- mặt phẳng (Q) chứa d1 và vuông góc với (P) có
Hay chọn 1 vectơ pháp tuyến của (Q) là (3; -2; -1)
1 điểm thuộc d1 cũng thuộc (Q) là: (7; 3; 9)
Phương trình mặt phẳng (Q) là:
3 .(x – 7) – 2 .(y - 3) – 1.(z – 9) = 0 hay 3x – 2y – z – 6 = 0
- Giao điểm M = d2 ∩ (Q) có tọa độ là (-7t + 3; 2t + 1; 3t +1) thỏa mãn:
3. (-7t + 3) – 2 (2t +1) – ( 3t + 1) – 6 = 0 <=> t = 0
=>M(3;1;1)
Đường thẳng vuông góc chung là đường thẳng d đi qua M và vuông góc với (P) nên có vectơ chỉ phương là vectơ pháp tuyến của (P) : (2; 1; 4)
Vậy phương trình của d là:
Câu 29:
Cho hai đường thẳng:
Đường thẳng đi qua điểm A (0; 1; 1), vuông góc với d1 và cắt d2 có phương trình là:
(A)
(B)
(C)
(D)
Lời giải:
Chọn D
- Mặt phẳng (P) đi qua điểm A và vuông góc với đường thẳng d1 có vectơ pháp tuyến là
Phương trình mặt phẳng (P) là:
-2.(x – 0) + 2. (y – 1) + 1. (z – 1) = 0 hay – 2x + 2y + z – 3 = 0
- Giao điểm B = (P)∩d2 là B (t; -t; 2) thỏa mãn: - 2t – 2t + 2 – 3 = 0 nên t = -1/4
- Đường thẳng cần tìm là đường thẳng đi qua 2 điểm A, B
Vectơ chỉ phương của d là:
Hay chọn 1 vectơ chỉ phương của d là : ( -1; -3; 4)
Vậy phương trình đường thẳng d là:
Câu 30:
Tọa độ giao điểm của đường thẳng
và mp (α) 3x+2y+z-1=0 là:
(A) (-1;0;1)
(B) (1;-1;0)
(C) (-1;1;0)
(D) (1;0;-1)
Lời giải:
Chọn B
Phương trình tham số của d là:
Giao điểm M của d và mp (α) là M (1+t;-1-2t;4t) thỏa mãn:
3(1+t)+2(-1-2t)+(4t)-1=0⇔t=0
Nên M ( 1; -1; 0)
Bài giảng: Cách viết phương trình đường thẳng nâng cao - Cô Nguyễn Phương Anh (Giáo viên VietJack)
(199k) Học Toán 12 KNTTHọc Toán 12 CDHọc Toán 12 CTST
Xem thêm các chuyên đề Toán lớp 12 có trong đề thi Tốt nghiệp THPT khác:
- Viết phương trình đường thẳng liên quan đến khoảng cách
- Góc giữa hai đường thẳng; Góc giữa đường thẳng và mặt phẳng
- Tìm điểm thuộc đường thẳng thỏa điều kiện cho trước, bài toán về cực trị,...
- 60 câu hỏi trắc nghiệm đường thẳng trong không gian có lời giải (phần 2)
Đã có app VietJack trên điện thoại, giải bài tập SGK, SBT Soạn văn, Văn mẫu, Thi online, Bài giảng....miễn phí. Tải ngay ứng dụng trên Android và iOS.
Theo dõi chúng tôi miễn phí trên mạng xã hội facebook và youtube:Nếu thấy hay, hãy động viên và chia sẻ nhé! Các bình luận không phù hợp với nội quy bình luận trang web sẽ bị cấm bình luận vĩnh viễn.
- Giải Tiếng Anh 12 Global Success
- Giải sgk Tiếng Anh 12 Smart World
- Giải sgk Tiếng Anh 12 Friends Global
- Lớp 12 Kết nối tri thức
- Soạn văn 12 (hay nhất) - KNTT
- Soạn văn 12 (ngắn nhất) - KNTT
- Giải sgk Toán 12 - KNTT
- Giải sgk Vật Lí 12 - KNTT
- Giải sgk Hóa học 12 - KNTT
- Giải sgk Sinh học 12 - KNTT
- Giải sgk Lịch Sử 12 - KNTT
- Giải sgk Địa Lí 12 - KNTT
- Giải sgk Giáo dục KTPL 12 - KNTT
- Giải sgk Tin học 12 - KNTT
- Giải sgk Công nghệ 12 - KNTT
- Giải sgk Hoạt động trải nghiệm 12 - KNTT
- Giải sgk Giáo dục quốc phòng 12 - KNTT
- Giải sgk Âm nhạc 12 - KNTT
- Giải sgk Mĩ thuật 12 - KNTT
- Lớp 12 Chân trời sáng tạo
- Soạn văn 12 (hay nhất) - CTST
- Soạn văn 12 (ngắn nhất) - CTST
- Giải sgk Toán 12 - CTST
- Giải sgk Vật Lí 12 - CTST
- Giải sgk Hóa học 12 - CTST
- Giải sgk Sinh học 12 - CTST
- Giải sgk Lịch Sử 12 - CTST
- Giải sgk Địa Lí 12 - CTST
- Giải sgk Giáo dục KTPL 12 - CTST
- Giải sgk Tin học 12 - CTST
- Giải sgk Hoạt động trải nghiệm 12 - CTST
- Giải sgk Âm nhạc 12 - CTST
- Lớp 12 Cánh diều
- Soạn văn 12 Cánh diều (hay nhất)
- Soạn văn 12 Cánh diều (ngắn nhất)
- Giải sgk Toán 12 Cánh diều
- Giải sgk Vật Lí 12 - Cánh diều
- Giải sgk Hóa học 12 - Cánh diều
- Giải sgk Sinh học 12 - Cánh diều
- Giải sgk Lịch Sử 12 - Cánh diều
- Giải sgk Địa Lí 12 - Cánh diều
- Giải sgk Giáo dục KTPL 12 - Cánh diều
- Giải sgk Tin học 12 - Cánh diều
- Giải sgk Công nghệ 12 - Cánh diều
- Giải sgk Hoạt động trải nghiệm 12 - Cánh diều
- Giải sgk Giáo dục quốc phòng 12 - Cánh diều
- Giải sgk Âm nhạc 12 - Cánh diều


Giải bài tập SGK & SBT
Tài liệu giáo viên
Sách
Khóa học
Thi online
Hỏi đáp

