Cách giải bất phương trình logarit cơ bản (cực hay)
Bài viết Cách giải bất phương trình logarit cơ bản với phương pháp giải chi tiết giúp học sinh ôn tập, biết cách làm bài tập Cách giải bất phương trình logarit cơ bản.
Cách giải bất phương trình logarit cơ bản (cực hay)
(199k) Xem Khóa học Toán 12 KNTTXem Khóa học Toán 12 CDXem Khóa học Toán 12 CTST
Bài giảng: Cách giải bất phương trình logarit - Cô Nguyễn Phương Anh (Giáo viên VietJack)
A. Phương pháp giải & Ví dụ
| logax ≤ b | Nghiệm |
| 0 < a < 1 | x ≥ ab |
| a > 1 | 0 < x ≤ ab |
| logax ≥ b | Nghiệm |
| 0 < a < 1 | 0 < x ≤ ab |
| a > 1 | x ≥ ab |
Ví dụ minh họa
Bài 1: Giải bất phương trình sau log2(x2+3x) > 2.
Lời giải:
Bài 2: Giải bất phương trình sau
Lời giải:
Điều kiện : x > -3.
Kết hợp điều kiên ta được x ≥ 13.
Bài 3: Giải bất phương trình sau
Lời giải:
B. Bài tập vận dụng
Bài 1: Giải bất phương trình sau
Lời giải:
Ta có:
Vậy tập nghiệm của bất phương trình đã cho là S=(1;3/2).
Bài 2: Giải bất phương trình sau
Lời giải:
Bài 3: Giải bất phương trình sau
Lời giải:
Bài 4: Giải bất phương trình sau
Lời giải:
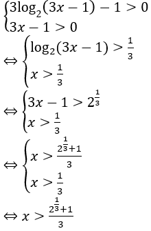
Bài 5: Tìm điều kiện xác định của phương trình log2[3log2(3x-1)-1]=x là:
Lời giải:
Biểu thức log2[3log2(3x-1)-1]=x xác định khi và chỉ khi:
Bài 6: Tìm a để bất phương trình sau có tập nghiệm R
Lời giải:
Điều kiện :
⇔ x2+2ax+a+3 > 1, ∀ x ∈ R
⇔ x2+2ax+a+2 > 0, ∀ x ∈ R
⇔ Δ ≥ 0 ⇔ -1 < a < 2 (2)
Từ (1) và (2) ta suy ra giá trị a cần tìm là -1 < a < 2
Bài 7: Tìm giá trị của tham số m để bất phương trình log_m(x2 - 2x + m + 5) > 1 có vô số nghiệm
Lời giải:
Điều kiện:
TH1: 0 < m < 1
BPT ⇔ x2-2x+m+5 < m ∀ x ∈ R ⇔ x2-2x+5 < 0 ∀ x ∈ R (VL)
TH2: 1 < m
BPT ⇔ x2-2x+m+5 > m ∀ x ∈ R ⇔ x2-2x+5 > 0 ∀ x ∈ R (LĐ)
Vậy 1 < m thỏa ycbt.
Bài 8: Giải bất phương trình sau
Lời giải:
C. Bài tập tự luyện
Bài 1. Tìm tập nghiệm của bất phương trình: .
Bài 2. Tìm tập nghiệm của bất phương trình:
Bài 3. Tìm tập nghiệm của bất phương trình: .
Bài 4. Tìm tập nghiệm của bất phương trình: .
Bài 5. Tìm tập nghiệm của bất phương trình: .
(199k) Xem Khóa học Toán 12 KNTTXem Khóa học Toán 12 CDXem Khóa học Toán 12 CTST
Xem thêm các dạng bài tập Toán lớp 12 ôn thi Tốt nghiệp có lời giải hay khác:
- Trắc nghiệm giải bất phương trình logarit cơ bản
- Dạng 2: Giải bất phương trình logarit bằng cách đưa về cùng cơ số
- Trắc nghiệm giải bất phương trình logarit bằng cách đưa về cùng cơ số
- Dạng 3: Giải bất phương trình logarit bằng cách đặt ẩn phụ
- Trắc nghiệm giải bất phương trình logarit bằng cách đặt ẩn phụ
- Dạng 4: Giải bất phương trình logarit bằng cách mũ hóa và tính đơn điệu
- Trắc nghiệm giải bất phương trình logarit bằng cách mũ hóa và tính đơn điệu
Đã có app VietJack trên điện thoại, giải bài tập SGK, SBT Soạn văn, Văn mẫu, Thi online, Bài giảng....miễn phí. Tải ngay ứng dụng trên Android và iOS.
Theo dõi chúng tôi miễn phí trên mạng xã hội facebook và youtube:Nếu thấy hay, hãy động viên và chia sẻ nhé! Các bình luận không phù hợp với nội quy bình luận trang web sẽ bị cấm bình luận vĩnh viễn.
- Giải Tiếng Anh 12 Global Success
- Giải sgk Tiếng Anh 12 Smart World
- Giải sgk Tiếng Anh 12 Friends Global
- Lớp 12 Kết nối tri thức
- Soạn văn 12 (hay nhất) - KNTT
- Soạn văn 12 (ngắn nhất) - KNTT
- Giải sgk Toán 12 - KNTT
- Giải sgk Vật Lí 12 - KNTT
- Giải sgk Hóa học 12 - KNTT
- Giải sgk Sinh học 12 - KNTT
- Giải sgk Lịch Sử 12 - KNTT
- Giải sgk Địa Lí 12 - KNTT
- Giải sgk Giáo dục KTPL 12 - KNTT
- Giải sgk Tin học 12 - KNTT
- Giải sgk Công nghệ 12 - KNTT
- Giải sgk Hoạt động trải nghiệm 12 - KNTT
- Giải sgk Giáo dục quốc phòng 12 - KNTT
- Giải sgk Âm nhạc 12 - KNTT
- Giải sgk Mĩ thuật 12 - KNTT
- Lớp 12 Chân trời sáng tạo
- Soạn văn 12 (hay nhất) - CTST
- Soạn văn 12 (ngắn nhất) - CTST
- Giải sgk Toán 12 - CTST
- Giải sgk Vật Lí 12 - CTST
- Giải sgk Hóa học 12 - CTST
- Giải sgk Sinh học 12 - CTST
- Giải sgk Lịch Sử 12 - CTST
- Giải sgk Địa Lí 12 - CTST
- Giải sgk Giáo dục KTPL 12 - CTST
- Giải sgk Tin học 12 - CTST
- Giải sgk Hoạt động trải nghiệm 12 - CTST
- Giải sgk Âm nhạc 12 - CTST
- Lớp 12 Cánh diều
- Soạn văn 12 Cánh diều (hay nhất)
- Soạn văn 12 Cánh diều (ngắn nhất)
- Giải sgk Toán 12 Cánh diều
- Giải sgk Vật Lí 12 - Cánh diều
- Giải sgk Hóa học 12 - Cánh diều
- Giải sgk Sinh học 12 - Cánh diều
- Giải sgk Lịch Sử 12 - Cánh diều
- Giải sgk Địa Lí 12 - Cánh diều
- Giải sgk Giáo dục KTPL 12 - Cánh diều
- Giải sgk Tin học 12 - Cánh diều
- Giải sgk Công nghệ 12 - Cánh diều
- Giải sgk Hoạt động trải nghiệm 12 - Cánh diều
- Giải sgk Giáo dục quốc phòng 12 - Cánh diều
- Giải sgk Âm nhạc 12 - Cánh diều


Giải bài tập SGK & SBT
Tài liệu giáo viên
Sách
Khóa học
Thi online
Hỏi đáp

