Các bài toán về phương trình mặt phẳng và cách giải (hay, chi tiết)
Với loạt Các bài toán về phương trình mặt phẳng và cách giải sẽ giúp học sinh nắm vững lý thuyết, biết cách làm bài tập từ đó có kế hoạch ôn tập hiệu quả để đạt kết quả cao trong các bài thi môn Toán 12.
Các bài toán về phương trình mặt phẳng và cách giải
(199k) Xem Khóa học Toán 12 KNTTXem Khóa học Toán 12 CDXem Khóa học Toán 12 CTST
I. LÝ THUYẾT
1. Vectơ pháp tuyến của mặt phẳng
Cho mặt phẳng (α) . Nếu vectơ
và có giá vuông góc với mặt phẳng (α) thì
là vectơ pháp tuyến (VTPT) của (α) .
Chú ý:
+) Nếu
là một VTPT của mặt phẳng (α) thì
cũng là một VTPT của mặt phẳng (α).
+) Một mặt phẳng được xác định duy nhất nếu biết một điểm nó đi qua và một VTPT của nó.
+) Nếu
có giá song song hoặc nằm trên mặt phẳng (α) thì
là một VTPT của (α).
2. Phương trình tổng quát của mặt phẳng
Phương trình: Ax + By + Cz + D = 0 với A2 + B2 + C2 ≠ 0 được gọi là phương trình tổng quát của mặt phẳng.
Nhận xét:
+) Nếu mặt phẳng (α) có phương trình Ax + By + Cz + D = 0 thì nó có một VTPT là
.
+) Phương trình mặt phẳng đi qua điểm M0(x0;y0;z0) và nhận vectơ
khác
làm VTPT là: A(x - x0) + B(y - y0) + C(z - z0) = 0
+) Phương trình mặt phẳng theo đoạn chắn (α):
. Ở đây (α) cắt các trục tọa độ tại các điểm (a; 0; 0), (0; b; 0), (0; 0; c) với .
II. PHƯƠNG PHÁP GIẢI VÀ VÍ DỤ MINH HỌA
Dạng 1: Xác định vectơ pháp tuyến của mặt phẳng
Phương pháp giải:
Cho mặt phẳng (α) có phương trình Ax + By + Cz + D = 0.
Khi đó mặt phẳng (α) có một VTPT là
.
Ví dụ 1: Trong không gian Oxyz, cho mặt phẳng (P): 2x – 4y + 5 = 0. Vectơ nào dưới đây là một vectơ pháp tuyến của mặt phẳng (P)?

Hướng dẫn giải:
Ta có (P): 2x – 4y + 5 = 0 có một vectơ pháp tuyến là
.
Vậy một vectơ pháp tuyến của mặt phẳng (P) là 
Chọn B.
Dạng 2: Viết phương trình mặt phẳng khi đã biết một điểm đi qua và vectơ pháp tuyến
Phương pháp giải:
Cho mặt phẳng (α) đi qua điểm M0(x0;y0;z0) và nhận vectơ
làm vectơ pháp tuyến. Khi đó phương trình mặt phẳng (α) là
A(x - x0) + B(y - y0) + C(z - z0) = 0
Ví dụ 2: Trong không gian Oxyz, mặt phẳng đi qua điểm A (2; 0; -2) và nhận
làm véc tơ pháp tuyến có phương trình là
A. x + 2y + 3z + 4 = 0.
B. x + 2y + 3z – 8 = 0.
C. x – z + 2 = 0.
D. x – z – 4 = 0.
Hướng dẫn giải:
Phương trình mặt phẳng cần tìm là:
1(x – 2) + 2(y – 0) + 3[z – (-2)] = 0
<=>x + 2y + 3z + 4 = 0.
Chọn A.
Dạng 3: Viết phương trình mặt phẳng (α) đi qua điểm M và song song với mặt phẳng (P) cho trước.
Phương pháp giải:
+) Mặt phẳng (α) song song với mặt phẳng (P) cho trước nên vectơ pháp tuyến của mặt phẳng (α) chính là vectơ pháp tuyến của mặt phẳng (P).
+) Từ đó viết phương trình mặt phẳng (α) đi qua M và có vectơ pháp tuyến là
.
Ví dụ 3: Trong không gian Oxyz, mặt phẳng (Q) đi qua điểm A (1; 2; -1) và song song với (α):3x + 4y – z + 1 = 0 có phương trình là
A. 3x + 4y - z - 12 = 0
B. 3x + 4y - z + 10 = 0
C. 3x + 4y - z - 10 = 0
D. 3x + 4y - z + 12 = 0
Hướng dẫn giải:
(α) có một vectơ pháp tuyến là
.
Do 
Vì (Q) đi qua A (1; 2; -1) nên phương trình mặt phẳng (Q) là:
3(x – 1) + 4(y – 2) – 1(z + 1) = 0
<=> 3x + 4y – z – 12 = 0
Chọn A.
Dạng 4: Viết phương trình mặt phẳng (α) đi qua điểm M và vuông góc với hai mặt phẳng (P) và (Q).
Phương pháp giải:
Gọi
lần lượt là vectơ pháp tuyến của mặt phẳng (α), (P), (Q). Vì mặt phẳng (α) vuông góc với hai mặt phẳng (P) và (Q) nên ta có

Từ đó viết phương trình mặt phẳng (α) đi qua M và có vectơ pháp tuyến là
đã tính phía trên.
Ví dụ 4: Cho hai mặt phẳng (P): 3x – 2y + 2z + 7 = 0 và (Q): 5x – 4y + 3z + 1 = 0. Gọi (R) là mặt phẳng đi qua gốc toạ độ O và vuông góc với cả (P) và (Q). Khi đó phương trình mặt phẳng (R) là
A. 2x – y + 2z = 0.
B. 2x + y – 2z = 0
C. 2x + y – 2z + 1 = 0
D. 2x – y – 2z = 0.
Hướng dẫn giải:
Gọi
lần lượt là véctơ pháp tuyến của (P), (Q), (R).
Theo bài ra ta có
Vì mặt phẳng (R) vuông góc với cả (P) và (Q) nên ta có:

Vì (R) là mặt phẳng đi qua gốc toạ độ O (0; 0; 0) nên phương trình mặt phẳng (R) là:
2(x – 0) + 1(y – 0) – 2(z – 0) = 0
<=> 2x + y – 2z = 0
Chọn B.
Dạng 5: Viết phương trình mặt phẳng (α) đi qua hai điểm A, B và vuông góc với mặt phẳng (P).
Phương pháp giải:
Gọi
lần lượt là vectơ pháp tuyến của mặt phẳng (α) và mặt phẳng (P).
Vì mặt phẳng (α) đi qua A, B và vuông góc với mặt phẳng (P) nên ta có:

Từ đó viết phương trình mặt phẳng (α) đi qua A (hoặc B) và có vectơ pháp tuyến là
đã tính phía trên.
Ví dụ 5: Cho mặt phẳng (P) đi qua A (2; -1; 4), B (3; 2; -1) và vuông góc với mặt phẳng (Q): x + y + 2z – 3 = 0. Khi đó mặt phẳng (P) có phương trình là
A. 11x + 7y – 2z – 21 = 0.
B. 11x + 7y + 2z + 21 = 0.
C. 11x – 7y – 2z – 21 = 0
D. 11x – 7y + 2z + 21 = 0.
Hướng dẫn giải:
Ta có:
vectơ pháp tuyến của mặt phẳng (Q) là
Mặt phẳng (P) đi qua A, B và vuông góc với mặt phẳng (Q) nhận
làm véctơ pháp tuyến nên có phương trình:
11(x – 2) – 7(y + 1) – 2(z – 4) = 0
<=>11x – 7y – 2z – 21 = 0.
Chọn C.
Dạng 6: Viết phương trình mặt phẳng (α) đi qua ba điểm A, B, C cho trước.
Phương pháp giải:
Gọi
là vectơ pháp tuyến của mặt phẳng (α).
Vì mặt phẳng (α) đi qua A, B, C nên ta có

Từ đó viết phương trình mặt phẳng (α) đi qua A (hoặc B, hoặc C) và có vectơ pháp tuyến là
đã tính phía trên.
Ví dụ 6: Cho M (0; 3; -5), N (1; 0; 6), E (-4; 3; 0). Phương trình mặt phẳng (MNE) là:
A. 15x + 49y + 12z - 87 = 0
B. 15x + 49y + 12z - 207 = 0
C. 15x + 49y + 12z + 87 = 0
D. 5x + 13y + 4z - 19 = 0
Hướng dẫn giải:
Ta có :
Suy ra phương trình mặt phẳng (MNE) có một vectơ pháp tuyến là
.
Vì mặt phẳng (MNE) đi qua N (1; 0; 6) nên phương trình mặt phẳng (MNE) là
15(x – 1) + 49(y – 0) + 12(z – 6) = 0
<=> 15x + 49y + 12z – 87 = 0
Chọn A.
Dạng 7: Viết phương trình mặt phẳng (α) đi qua ba điểm A (a; 0; 0), B (0; b; 0), C (0; 0; c) (abc ≠ 0) . (Phương trình đoạn chắn)
Phương pháp giải:
Nếu mặt phẳng (α) đi qua ba điểm A (a; 0; 0), B (0; b; 0), C (0; 0; c) (abc ≠ 0) thì phương trình (α) có dạng
Ví dụ 7: Trong không gian với hệ toạ độ Oxyz, phương trình mặt phẳng đi qua 3 điểm A (-3; 0; 0), B (0; 4; 0), C (0; 0; -2) là

Hướng dẫn giải:
Gọi (P) là mặt phẳng đi qua 3 điểm A (-3; 0; 0), B (0; 4; 0), C (0; 0; -2), khi đó phương trình mặt phẳng (P) là:
Chọn D.
Dạng 8: Trong không gian Oxyz, cho điểm A, B, mặt phẳng (P) qua điểm A, B và tạo với mặt phẳng (Q) một góc bằng . Viết phương trình mặt phẳng (P).
Phương pháp giải:
+ Gọi phương trình của mặt phẳng (P) là ax + by + cz + d = 0 (a2 + b2 + c2 > 0) .
+ Gọi vectơ pháp tuyến của mặt phẳng (P) và (Q) lần lượt là
.
+ Mặt phẳng (P) qua A, B nên tọa độ A, B lần lượt thỏa mãn phương trình mặt phẳng (P) tìm được hai mối liên hệ giữa a, b, c, d.
+ Áp dụng điều kiện về góc giữa hai mặt phẳng
, tìm được mối liên hệ giữa a, b, c, d, khử điều kiện để tìm được mối liên hệ giữa a, b (hoặc b, c; a, c).
+ Từ mối liên hệ giữa a, b ta chọn a để tìm b rồi suy ra phương trình mặt phẳng (P).
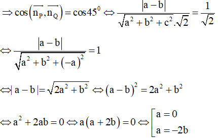
Ví dụ 8: Trong không gian Oxyz, cho điểm M (1; 0; 0) và N (0; 0; -1), mặt phẳng (P) qua điểm M, N và tạo với mặt phẳng (Q): x – y – 4 = 0 một góc bằng . Phương trình mặt phẳng (P) là

Hướng dẫn giải:
Gọi vectơ pháp tuyến của mặt phẳng (P) và (Q) lần lượt là
.
Suy ra
.
+ Gọi phương trình của mặt phẳng (P) là ax + by + cz + d = 0 (a2 + b2 + c2 > 0) .
+ (P) qua M (1; 0; 0) => a + d = 0 (1)
(P) qua N (0; 0; -1) => -c + d = 0 (2)
Từ (1) và (2) suy ra a + c = 0 hay c = -a
+ (P) hợp với (Q) góc 450

Với a = 0 c = 0, chọn b = 1 ta được phương trình (P): y = 0.
Với a = -2b chọn b = -1 suy ra a = 2, phương trình mặt phẳng (P): 2x – y – 2z – 2 = 0.
Chọn A.
Dạng 9: Trong không gian Oxyz, cho các điểm A, B, C. Viết phương trình mặt phẳng (P) qua hai điểm A, B đồng thời khoảng cách từ C tới mặt phẳng (P) bằng d.
Phương pháp giải:
+ Gọi phương trình của mặt phẳng (P) là ax + by + cz + d = 0 (a2 + b2 + c2 > 0) .
+ Mặt phẳng (P) qua A, B nên tọa độ A, B lần lượt thỏa mãn phương trình mặt phẳng (P) tìm được hai mối liên hệ giữa a, b, c, d.
+ Áp dụng điều kiện về khoảng cách từ một điểm đến một mặt phẳng
tìm được mối liên hệ giữa a, b, c, d; khử điều kiện để tìm được mối liên hệ giữa a, b (hoặc b, c; a, c).
+ Từ mối liên hệ giữa a, b chọn để tìm b rồi suy ra phương trình mặt phẳng (P).
Ví dụ 9: Trong không gian Oxyz, cho các điểm A (-1; 1; 0), B (0; 0; -2) và C (1; 1;1 1). Viết phương trình mặt phẳng (P) qua hai điểm A và B, đồng thời khoảng cách từ C tới mặt phẳng (P) bằng

Hướng dẫn giải:
+ Gọi
là véctơ pháp tuyến của (P).
+ Gọi phương trình của mặt phẳng (P) là ax + by + cz + d = 0 (a2 + b2 + c2 > 0) .
+ (P) qua A (-1; 1; 0) => -a + b + d = 0. Suy ra b + d = a (1)
(P) qua B (0; 0; -2) => -2c + d = 0. Suy ra d = 2c (2)
Từ (1) và (2) suy ra b = a – d = a – 2c

+ a = c chọn a = c = 1
=> phương trình mặt phẳng (P) : x – y + z + 2 = 0.
+ a = 7c chọn a = 7 ; c = 1
=> phương trình mặt phẳng (P) : 7x + 5y + z + 2 = 0.
Chọn B.
III. BÀI TẬP ÁP DỤNG
Câu 1. Trong không gian Oxyz cho mặt phẳng (α): 2x + 3z – 1 = 0. Vectơ nào dưới đây là một vectơ pháp tuyến của (α) ?

Câu 2. Trong không gian Oxyz, cho hai điểm A (3; -2; 1) và B (5; -4; 3). Mặt phẳng trung trực của đoạn thẳng AB có phương trình là
A. x – y + z + 5 = 0.
B. x – y + z + 11 = 0.
C. x – y + z – 6 = 0.
D. x – y + z – 9 = 0.
Câu 3. Trong không gian Oxyz, mặt phẳng đi qua điểm M (1; 2; 3) và song song với mặt phẳng (P): x – 2y + z – 3 = 0 có phương trình là
A. x – 2y + z = 0.
B. x + 2y + 3z = 0.
C. x – 2y + z + 3 = 0.
D. x – 2y + z – 8 = 0.
Câu 4. Phương trình mặt phẳng đi qua ba điểm M (0; 1; 2), N (-3; 0; 8), E (4; -5; 0) là:
A. 19x + 9y + 11z – 23 = 0.
B. 19x + 15y + 11z – 37 = 0.
C. 19x + 9y + 11z – 31 = 0.
D. -17x + 9y + 11z – 31 = 0.
Câu 5. Trong không gian Oxyz, cho ba điểm A (4; 3; 2), B (-1; -2; 1), C (-2; 2; -1). Phương trình mặt phẳng đi qua A và vuông góc với BC là
A. x – 4y – 2z – 4 = 0.
B. x – 4y – 2z + 4 = 0.
C. x – 4y + 2z + 4 = 0.
D. x + 4y – 2z – 4 = 0.
Câu 6: Trong không gian với hệ toạ độ Oxyz. Mặt phẳng (P) đi qua các điểm A (-1; 0; 0), B (0; 2; 0), C (0; 0; -2) có phương trình là
A. -2x + y + z – 2 = 0.
B. -2x – y – z + 2 = 0.
C. -2x + y – z – 2 = 0.
D. -2x + y – z + 2 = 0.
Câu 7: Trong không gian với hệ toạ độ Oxyz, gọi (α) là mặt phẳng qua các hình chiếu của A (5; 4; 3) lên các trục tọa độ. Phương trình của mặt phẳng (α) là

Câu 8: Trong không gian Oxyz, cho hai mặt phẳng (P): x + y + z – 3 = 0 và (Q): x – y + z – 1 = 0. Viết phương trình mặt phẳng (R) vuông góc với (P) và (Q) sao cho khoảng cách từ gốc tọa độ O đến (R) bằng

Câu 9: Trong không gian Oxyz biết mặt phẳng ax + by + cz + 5 = 0 qua A (1; 2; 3) và vuông góc với hai mặt phẳng (P): x + y + z – 3 = 0, (Q): 2x – y + z – 5 = 0. Giá trị a + b - c bằng
A. 3.
B. 6.
C. 5.
D. 4.
Câu 10: Trong không gian Oxyz, cho A (1;2;3), mặt phẳng (P): x + y + z – 15 = 0. Viết phương trình mặt phẳng (Q) song song với mặt phẳng (P) biết (Q) cách điểm A một khoảng bằng
.

ĐÁP ÁN
Câu |
1 |
2 |
3 |
4 |
5 |
6 |
7 |
8 |
9 |
10 |
Đáp án |
C |
D |
A |
C |
B |
C |
B |
A |
B |
C |
(199k) Xem Khóa học Toán 12 KNTTXem Khóa học Toán 12 CDXem Khóa học Toán 12 CTST
Xem thêm phương pháp giải các dạng bài tập Toán lớp 12 hay, chi tiết khác:
- Phương trình đường thẳng và cách giải bài tập
- Phương trình mặt cầu và cách giải
- Các bài toán về Vị trí tương đối trong không gian và cách giải
- Các bài toán về Góc trong không gian và cách giải
- Các bài toán về Khoảng cách trong không gian và cách giải
Đã có app VietJack trên điện thoại, giải bài tập SGK, SBT Soạn văn, Văn mẫu, Thi online, Bài giảng....miễn phí. Tải ngay ứng dụng trên Android và iOS.
Theo dõi chúng tôi miễn phí trên mạng xã hội facebook và youtube:Nếu thấy hay, hãy động viên và chia sẻ nhé! Các bình luận không phù hợp với nội quy bình luận trang web sẽ bị cấm bình luận vĩnh viễn.
- Giải Tiếng Anh 12 Global Success
- Giải sgk Tiếng Anh 12 Smart World
- Giải sgk Tiếng Anh 12 Friends Global
- Lớp 12 Kết nối tri thức
- Soạn văn 12 (hay nhất) - KNTT
- Soạn văn 12 (ngắn nhất) - KNTT
- Giải sgk Toán 12 - KNTT
- Giải sgk Vật Lí 12 - KNTT
- Giải sgk Hóa học 12 - KNTT
- Giải sgk Sinh học 12 - KNTT
- Giải sgk Lịch Sử 12 - KNTT
- Giải sgk Địa Lí 12 - KNTT
- Giải sgk Giáo dục KTPL 12 - KNTT
- Giải sgk Tin học 12 - KNTT
- Giải sgk Công nghệ 12 - KNTT
- Giải sgk Hoạt động trải nghiệm 12 - KNTT
- Giải sgk Giáo dục quốc phòng 12 - KNTT
- Giải sgk Âm nhạc 12 - KNTT
- Giải sgk Mĩ thuật 12 - KNTT
- Lớp 12 Chân trời sáng tạo
- Soạn văn 12 (hay nhất) - CTST
- Soạn văn 12 (ngắn nhất) - CTST
- Giải sgk Toán 12 - CTST
- Giải sgk Vật Lí 12 - CTST
- Giải sgk Hóa học 12 - CTST
- Giải sgk Sinh học 12 - CTST
- Giải sgk Lịch Sử 12 - CTST
- Giải sgk Địa Lí 12 - CTST
- Giải sgk Giáo dục KTPL 12 - CTST
- Giải sgk Tin học 12 - CTST
- Giải sgk Hoạt động trải nghiệm 12 - CTST
- Giải sgk Âm nhạc 12 - CTST
- Lớp 12 Cánh diều
- Soạn văn 12 Cánh diều (hay nhất)
- Soạn văn 12 Cánh diều (ngắn nhất)
- Giải sgk Toán 12 Cánh diều
- Giải sgk Vật Lí 12 - Cánh diều
- Giải sgk Hóa học 12 - Cánh diều
- Giải sgk Sinh học 12 - Cánh diều
- Giải sgk Lịch Sử 12 - Cánh diều
- Giải sgk Địa Lí 12 - Cánh diều
- Giải sgk Giáo dục KTPL 12 - Cánh diều
- Giải sgk Tin học 12 - Cánh diều
- Giải sgk Công nghệ 12 - Cánh diều
- Giải sgk Hoạt động trải nghiệm 12 - Cánh diều
- Giải sgk Giáo dục quốc phòng 12 - Cánh diều
- Giải sgk Âm nhạc 12 - Cánh diều


Giải bài tập SGK & SBT
Tài liệu giáo viên
Sách
Khóa học
Thi online
Hỏi đáp

