Bài tập Rút gọn biểu thức chứa logarit (cực hay)
Bài viết Rút gọn biểu thức chứa logarit với phương pháp giải chi tiết giúp học sinh ôn tập, biết cách làm bài tập Rút gọn biểu thức chứa logarit.
Bài tập Rút gọn biểu thức chứa logarit (cực hay)
(199k) Xem Khóa học Toán 12 KNTTXem Khóa học Toán 12 CDXem Khóa học Toán 12 CTST
Bài giảng: Tất tần tật về Logarit - Cô Nguyễn Phương Anh (Giáo viên VietJack)
1. Phương pháp giải
Muốn rút gọn các biểu thức chứa logarit ta cần sử dụng các quy tắc tính logarit và đổi cơ số của logarit. Ngoài ra, ta còn cần sử dụng các công thức lũy thừa đã học.
2. Ví dụ minh họa
Ví dụ 1. Rút gọn P = 3log94 + log35
A. P= 80 B. P= 9 C. P= 10 D. 27
Lời giải:
Đáp án: C
Ta có:
Do đó
Ví dụ 2. Cho a > 0 và a khác 1. Rút gọn P = loga tan60 + logacot60 + log√aa2
A. P= 1 B. P= 2 C. P= 4 D. P= 0
Lời giải:
Đáp án: C
Ta có:
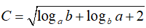
Ví dụ 3. Cho số a> 0 và a khác 1. Rút gọn biểu thức
Lời giải:
Đáp án: D
Ta có:
Ví dụ 4. Cho a, b > 0 và a,b ≠ 1, biểu thức P = log√ab3.logba4 có giá trị bằng bao nhiêu?
A. 6 B.24 C. 12 D.18
Lời giải:
Đáp án: B
Ta có:
Ví dụ 5. Kết quả rút gọn biểu thức A = 36log65 + 101 − log2 − 3log936 là
A. 42. B. 24. C.12. D.20
Lời giải:
Đáp án: B
Ta có:
Ví dụ 6. Cho a > 0,a ≠ 1 biểu thức có giá trị bằng
A. 4lna +6loga4. B. 4lna C. 0 D.4logae
Lời giải:
Đáp án: C
Ta có:
Ví dụ 7. Cho log3x = 3log32 + log925 - log√33. Khi đó giá trị của x bằng:
Lời giải:
Đáp án: C
Ta có:
Do đó,
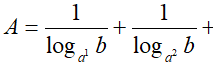
Ví dụ 8. Nếu (a > 0, a ≠ 1) thì x bằng:
Lời giải:
Đáp án: C
Ta có:
Ví dụ 9. Rút gọn biểu thức: .
là:
A. 0 B. 1 C. 3 D. 2
Lời giải:
Đáp án: B
Ta có:
Ví dụ 10. Rút gọn biểu thức: là:
Lời giải:
Đáp án: C
Ta có:
Ví dụ 11. Kết quả rút gọn của biểu thức .
là:
Lời giải:
Đáp án: D
Ta có:
3. Bài tập tự luyện
Bài 1. Rút gọn biểu thức A = .
Bài 2. Với mọi số thức a, b > 0 thỏa mãn a2 + 9b2 = 10ab thì đẳng thức đúng là
A. log(a + 3b) = loga + logb.
B. .
C. log(a + 1) + logb = 1.
D. 2log(a + 3b) = loga + logb.
Bài 3. Cho các số thực dương a,b với a khác 1. Mệnh đề nào sau đây là khẳng định đúng?
A. loga(a2b) = 2logab.
B. loga(a2b) = 2 + logab.
C. loga(a2b) = logab.
D. loga(a2b) = + logab.
Bài 4. Giả sử log275 = a; log87 = b; log23 = c. Hãy biểu diễn log1235 theo a và b.
Bài 5. Rút gọn biểu thức P =
Bài giảng: Các bài toán thực tế - Ứng dụng hàm số mũ và logarit - Cô Nguyễn Phương Anh (Giáo viên VietJack)
(199k) Xem Khóa học Toán 12 KNTTXem Khóa học Toán 12 CDXem Khóa học Toán 12 CTST
Xem thêm các dạng bài tập Toán lớp 12 ôn thi Tốt nghiệp có lời giải hay khác:
- Dạng bài tập Rút gọn biểu thức chứa lũy thừa (cực hay)
- Dạng bài tập về so sánh các lũy thừa (cực hay)
- Dạng bài tập Tính giá trị của biểu thức lũy thừa (cực hay)
- Tìm điều kiện để biểu thức logarit xác định hay nhất
- Dạng bài tập Tính giá trị của biểu thức logarit (cực hay)
- Dạng bài tập biểu diễn logarit này theo logarit khác (cực hay)
- Cách biến đổi đẳng thức đã cho thành đẳng thức logarit (cực hay)
- Cách so sánh biểu thức chứa logarit (cực hay)
Đã có app VietJack trên điện thoại, giải bài tập SGK, SBT Soạn văn, Văn mẫu, Thi online, Bài giảng....miễn phí. Tải ngay ứng dụng trên Android và iOS.
Theo dõi chúng tôi miễn phí trên mạng xã hội facebook và youtube:Nếu thấy hay, hãy động viên và chia sẻ nhé! Các bình luận không phù hợp với nội quy bình luận trang web sẽ bị cấm bình luận vĩnh viễn.
- Giải Tiếng Anh 12 Global Success
- Giải sgk Tiếng Anh 12 Smart World
- Giải sgk Tiếng Anh 12 Friends Global
- Lớp 12 Kết nối tri thức
- Soạn văn 12 (hay nhất) - KNTT
- Soạn văn 12 (ngắn nhất) - KNTT
- Giải sgk Toán 12 - KNTT
- Giải sgk Vật Lí 12 - KNTT
- Giải sgk Hóa học 12 - KNTT
- Giải sgk Sinh học 12 - KNTT
- Giải sgk Lịch Sử 12 - KNTT
- Giải sgk Địa Lí 12 - KNTT
- Giải sgk Giáo dục KTPL 12 - KNTT
- Giải sgk Tin học 12 - KNTT
- Giải sgk Công nghệ 12 - KNTT
- Giải sgk Hoạt động trải nghiệm 12 - KNTT
- Giải sgk Giáo dục quốc phòng 12 - KNTT
- Giải sgk Âm nhạc 12 - KNTT
- Giải sgk Mĩ thuật 12 - KNTT
- Lớp 12 Chân trời sáng tạo
- Soạn văn 12 (hay nhất) - CTST
- Soạn văn 12 (ngắn nhất) - CTST
- Giải sgk Toán 12 - CTST
- Giải sgk Vật Lí 12 - CTST
- Giải sgk Hóa học 12 - CTST
- Giải sgk Sinh học 12 - CTST
- Giải sgk Lịch Sử 12 - CTST
- Giải sgk Địa Lí 12 - CTST
- Giải sgk Giáo dục KTPL 12 - CTST
- Giải sgk Tin học 12 - CTST
- Giải sgk Hoạt động trải nghiệm 12 - CTST
- Giải sgk Âm nhạc 12 - CTST
- Lớp 12 Cánh diều
- Soạn văn 12 Cánh diều (hay nhất)
- Soạn văn 12 Cánh diều (ngắn nhất)
- Giải sgk Toán 12 Cánh diều
- Giải sgk Vật Lí 12 - Cánh diều
- Giải sgk Hóa học 12 - Cánh diều
- Giải sgk Sinh học 12 - Cánh diều
- Giải sgk Lịch Sử 12 - Cánh diều
- Giải sgk Địa Lí 12 - Cánh diều
- Giải sgk Giáo dục KTPL 12 - Cánh diều
- Giải sgk Tin học 12 - Cánh diều
- Giải sgk Công nghệ 12 - Cánh diều
- Giải sgk Hoạt động trải nghiệm 12 - Cánh diều
- Giải sgk Giáo dục quốc phòng 12 - Cánh diều
- Giải sgk Âm nhạc 12 - Cánh diều


Giải bài tập SGK & SBT
Tài liệu giáo viên
Sách
Khóa học
Thi online
Hỏi đáp

