Cách giải bài tập Rút gọn biểu thức chứa lũy thừa (cực hay)
Bài viết Cách giải bài tập Rút gọn biểu thức chứa lũy thừa với phương pháp giải chi tiết giúp học sinh ôn tập, biết cách làm bài tập Cách giải bài tập Rút gọn biểu thức chứa lũy thừa.
Cách giải bài tập Rút gọn biểu thức chứa lũy thừa (cực hay)
(199k) Xem Khóa học Toán 12 KNTTXem Khóa học Toán 12 CDXem Khóa học Toán 12 CTST
Bài giảng: Tất tần tật về Lũy thừa - Cô Nguyễn Phương Anh (Giáo viên VietJack)
1. Phương pháp giải
Để rút gọn các biểu thức chứa căn thức, lũy thừa ta cần sử dụng linh hoạt các tính chất của lũy thừa, các hằng đẳng thức đáng nhớ...
Cho hai số dương a; b và m,n ∈ R. Khi đó ta có công thức sau.
| Nhóm công thức 1 | Nhóm công thức 2 |
2. Ví dụ minh họa
Ví dụ 1. Đơn giản biểu thức ta được:
Lời giải:
Đáp án: D
Ta có:
Ví dụ 2. Tính giá trị , ta được :
A. 12 B. 16 C. 18 D. 24
Lời giải:
Đáp án: D
Ta có:
Ví dụ 3. Cho a và b là các số dương. Rút gọn biểu thức được kết quả là :
A. ab2 B. a2b C. ab D. a2b2
Lời giải:
Đáp án: C
Ta có:
Ví dụ 4. Cho số thực dương a, b. Rút gọn biểu thức
A. a − b B. a+ b + ab C. 2a + 2b D. 2ab.
Lời giải:
Đáp án: B
Ta có:
Ví dụ 5. Cho hai số thực dương a và b. Biểu thức được viết dưới dạng lũy thừa với số mũ hữu tỉ là:
Lời giải:
Đáp án: D
Ta có:
Ví dụ 6. Cho các số thực dương a và b. Rút gọn biểu thức được kết quả là:
Lời giải:
Đáp án: A
Ví dụ 7. Cho các số thực dương a và b. Rút gọn biểu thức được kết quả là:
A. −1 B. 1 C. 2 D. −2
Lời giải:
Đáp án: B
Ví dụ 8. Cho các số thực dương a và b. Rút gọn biểu thức:
A. 0 B. −1 C. 1 D. −2
Lời giải:
Đáp án: A
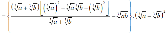
Ví dụ 9. Đơn giản biểu thức (a;b > 0; a ≠ b)ta được
Lời giải:
Đáp án: A
Ta có:
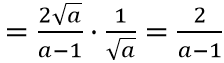
Ví dụ 10. Cho a > 0; b > 0 .Biểu thức thu gọn của biểu thức là:
Lời giải:
Đáp án: B
Ta có:
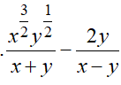
Ví dụ 11. Cho x > 0; y > 0 .Rút gọn biểu thức là:
Lời giải:
Đáp án: C
Ta có:
Ví dụ 12. Cho các số thực dương phân biệt a và b. Biểu thức thu gọn của biểu thức có dạng
. Khi đó biểu thức liên hệ giữa m và n là:
A. 2m − n= −3. B. m + n= −2. C. m − n = 0. D. m + 3n = −1
Lời giải:
Đáp án: A
Ta có:
Do đó m = −1; n = 1.
Ví dụ 13. Biểu thức thu gọn của biểu thức (a > 0, a ≠ 1), có dạng
Khi đó biểu thức liên hệ giữa m và n là:
A. m + 3n = 1. B. m + n = −2. C. m − n = 0 D. 2m − n= 5
Lời giải:
Đáp án: D
Ta có:
Do đó m = 2; n = −1.
Ví dụ 14. Đơn giản biểu thức (a;b > 0) ta được:
A. A = a+ b B. A = a − b C. A = a + b + 2 D. A = a − b + 2
Lời giải:
Đáp án: A
Ta có:
Ví dụ 15. Đơn giản biểu thức ta được:
A. A = a2 + b B.A = a2 + a − b C. A = a2 − a − b D. A = −(a + b)
Lời giải:
Đáp án: C
Ta có:
(199k) Xem Khóa học Toán 12 KNTTXem Khóa học Toán 12 CDXem Khóa học Toán 12 CTST
Xem thêm các dạng bài tập Toán lớp 12 ôn thi Tốt nghiệp có lời giải hay khác:
- Dạng bài tập Bất phương trình mũ ôn thi Tốt nghiệp (có lời giải)
- 5 dạng bài tập Bất phương trình logarit ôn thi Tốt nghiệp (có lời giải)
- 7 Bài toán lãi suất, bài toán thực tế ôn thi Tốt nghiệp (có lời giải)
- Các dạng bài toán thực tế ôn thi Tốt nghiệp (cực hay)
- Tìm điều kiện xác định của lũy thừa hay nhất
- Dạng bài tập về so sánh các lũy thừa (cực hay)
- Dạng bài tập Tính giá trị của biểu thức lũy thừa (cực hay)
- Tìm điều kiện để biểu thức logarit xác định hay nhất
Đã có app VietJack trên điện thoại, giải bài tập SGK, SBT Soạn văn, Văn mẫu, Thi online, Bài giảng....miễn phí. Tải ngay ứng dụng trên Android và iOS.
Theo dõi chúng tôi miễn phí trên mạng xã hội facebook và youtube:Nếu thấy hay, hãy động viên và chia sẻ nhé! Các bình luận không phù hợp với nội quy bình luận trang web sẽ bị cấm bình luận vĩnh viễn.
- Giải Tiếng Anh 12 Global Success
- Giải sgk Tiếng Anh 12 Smart World
- Giải sgk Tiếng Anh 12 Friends Global
- Lớp 12 Kết nối tri thức
- Soạn văn 12 (hay nhất) - KNTT
- Soạn văn 12 (ngắn nhất) - KNTT
- Giải sgk Toán 12 - KNTT
- Giải sgk Vật Lí 12 - KNTT
- Giải sgk Hóa học 12 - KNTT
- Giải sgk Sinh học 12 - KNTT
- Giải sgk Lịch Sử 12 - KNTT
- Giải sgk Địa Lí 12 - KNTT
- Giải sgk Giáo dục KTPL 12 - KNTT
- Giải sgk Tin học 12 - KNTT
- Giải sgk Công nghệ 12 - KNTT
- Giải sgk Hoạt động trải nghiệm 12 - KNTT
- Giải sgk Giáo dục quốc phòng 12 - KNTT
- Giải sgk Âm nhạc 12 - KNTT
- Giải sgk Mĩ thuật 12 - KNTT
- Lớp 12 Chân trời sáng tạo
- Soạn văn 12 (hay nhất) - CTST
- Soạn văn 12 (ngắn nhất) - CTST
- Giải sgk Toán 12 - CTST
- Giải sgk Vật Lí 12 - CTST
- Giải sgk Hóa học 12 - CTST
- Giải sgk Sinh học 12 - CTST
- Giải sgk Lịch Sử 12 - CTST
- Giải sgk Địa Lí 12 - CTST
- Giải sgk Giáo dục KTPL 12 - CTST
- Giải sgk Tin học 12 - CTST
- Giải sgk Hoạt động trải nghiệm 12 - CTST
- Giải sgk Âm nhạc 12 - CTST
- Lớp 12 Cánh diều
- Soạn văn 12 Cánh diều (hay nhất)
- Soạn văn 12 Cánh diều (ngắn nhất)
- Giải sgk Toán 12 Cánh diều
- Giải sgk Vật Lí 12 - Cánh diều
- Giải sgk Hóa học 12 - Cánh diều
- Giải sgk Sinh học 12 - Cánh diều
- Giải sgk Lịch Sử 12 - Cánh diều
- Giải sgk Địa Lí 12 - Cánh diều
- Giải sgk Giáo dục KTPL 12 - Cánh diều
- Giải sgk Tin học 12 - Cánh diều
- Giải sgk Công nghệ 12 - Cánh diều
- Giải sgk Hoạt động trải nghiệm 12 - Cánh diều
- Giải sgk Giáo dục quốc phòng 12 - Cánh diều
- Giải sgk Âm nhạc 12 - Cánh diều


Giải bài tập SGK & SBT
Tài liệu giáo viên
Sách
Khóa học
Thi online
Hỏi đáp

