Trắc nghiệm tính tích phân hàm chứa dấu giá trị tuyệt đối
Với Trắc nghiệm tính tích phân hàm chứa dấu giá trị tuyệt đối có lời giải chi tiết sẽ giúp học sinh ôn tập, biết cách làm Trắc nghiệm tính tích phân hàm chứa dấu giá trị tuyệt đối.
Trắc nghiệm tính tích phân hàm chứa dấu giá trị tuyệt đối
(199k) Học Toán 12 KNTTHọc Toán 12 CDHọc Toán 12 CTST
Bài giảng: Ứng dụng của tích phân tính diện tích, tính thể tích - Cô Nguyễn Phương Anh (Giáo viên VietJack)
Bài 1: Tìm mệnh đề đúng trong các mệnh đề sau:
Lời giải:
Đáp án : D
Giải thích :
Bài 2: Tìm khẳng định đúng trong các khẳng định sau:
Lời giải:
Đáp án : C
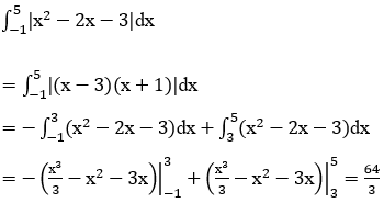
Bài 3: Tích phân
có giá trị bằng
A. 0 B. 64/3 C. 7 D. 15
Lời giải:
Đáp án : B
Giải thích :
Bài 4: Tính tích phân
ta được kết quả
A. 1/2 B. 1 C. 3/2 D. 2
Lời giải:
Đáp án : C
Giải thích :
Bài 5: Tính tích phân
ta được kết quả
A. -19/2 B. 19/2 C. 28/6 D. 19
Lời giải:
Đáp án : B
Giải thích :
Bài 6: Tích phân
bằng
A. 5 B. 5/2 C. 2 D. 1
Lời giải:
Đáp án : D
Giải thích :
Bài 7: Tính tích phân
ta được kết quả I=a/b, khi đó tổng a+b là:
A. 7 B. 3 C. 5 D. 9
Lời giải:
Đáp án : A
Giải thích :
Bài 8: Tính tích phân
ta được kết quả I=11/6, khi đó ta có
A. I=1 B. I=2 C. I=3 D. I=4
Lời giải:
Đáp án : B
Giải thích :
Bài 9: Tính tích phân
ta được kết quả:
A. -2 B. -1 C. 0 D. 1
Lời giải:
Đáp án : C
Giải thích :
Bài 10: Tính tích phân
, a > 0 ta được kết quả I=f(a). Giá trị của biểu thức f(8)+f(1/2) là:
A. 89/25 B. 91/24 C. 30/41 D. 11/31
Lời giải:
Đáp án : B
Giải thích :
Bài 11: Tính tích phân
ta được kết quả I=a+bln2+cln3 ( với a,b,c là các số nguyên). Khi đó giá trị của biểu thức T=2a3+3b-4c là
A. 19 B. 21 C. 22 D. 20
Lời giải:
Đáp án : C
Giải thích :
Bài 12: Tính tích phân
ta được kết quả
( với a,b,c là các số nguyên). Khi đó giá trị của biểu thức T=2a3+3b-4c là
A. 55 B. 36 C. 38 D. 73
Lời giải:
Đáp án : A
Giải thích :
(199k) Học Toán 12 KNTTHọc Toán 12 CDHọc Toán 12 CTST
Xem thêm các dạng bài tập Toán lớp 12 có trong đề thi Tốt nghiệp THPT khác:
- Dạng 6: Tính tích phân bằng định nghĩa và tính chất
- Trắc nghiệm tính tích phân bằng định nghĩa và tính chất
- Dạng 7: Tính tích phân từng phần
- Trắc nghiệm tính tích phân từng phần
- Dạng 8: Tính tích phân bằng phương pháp đổi biến số loại 1
- Trắc nghiệm tính tích phân bằng phương pháp đổi biến số loại 1
- Dạng 9: Tính tích phân bằng phương pháp đổi biến số loại 2
- Trắc nghiệm tính tích phân bằng phương pháp đổi biến số loại 2
- Dạng 10: Tính tích phân hàm chứa dấu giá trị tuyệt đối
- Dạng 11: Tính tích phân hàm số hữu tỉ
- Trắc nghiệm tính tích phân hàm số hữu tỉ
- Dạng 12: Ứng dụng của tích phân: Tính diện tích hình phẳng
- Trắc nghiệm ứng dụng của tích phân: Tính diện tích hình phẳng
- Dạng 13: Ứng dụng của tích phân: Tính thể tích khối tròn xoay
- Trắc nghiệm ứng dụng của tích phân: Tính thể tích khối tròn xoay
Đã có app VietJack trên điện thoại, giải bài tập SGK, SBT Soạn văn, Văn mẫu, Thi online, Bài giảng....miễn phí. Tải ngay ứng dụng trên Android và iOS.
Theo dõi chúng tôi miễn phí trên mạng xã hội facebook và youtube:Nếu thấy hay, hãy động viên và chia sẻ nhé! Các bình luận không phù hợp với nội quy bình luận trang web sẽ bị cấm bình luận vĩnh viễn.
- Giải Tiếng Anh 12 Global Success
- Giải sgk Tiếng Anh 12 Smart World
- Giải sgk Tiếng Anh 12 Friends Global
- Lớp 12 Kết nối tri thức
- Soạn văn 12 (hay nhất) - KNTT
- Soạn văn 12 (ngắn nhất) - KNTT
- Giải sgk Toán 12 - KNTT
- Giải sgk Vật Lí 12 - KNTT
- Giải sgk Hóa học 12 - KNTT
- Giải sgk Sinh học 12 - KNTT
- Giải sgk Lịch Sử 12 - KNTT
- Giải sgk Địa Lí 12 - KNTT
- Giải sgk Giáo dục KTPL 12 - KNTT
- Giải sgk Tin học 12 - KNTT
- Giải sgk Công nghệ 12 - KNTT
- Giải sgk Hoạt động trải nghiệm 12 - KNTT
- Giải sgk Giáo dục quốc phòng 12 - KNTT
- Giải sgk Âm nhạc 12 - KNTT
- Giải sgk Mĩ thuật 12 - KNTT
- Lớp 12 Chân trời sáng tạo
- Soạn văn 12 (hay nhất) - CTST
- Soạn văn 12 (ngắn nhất) - CTST
- Giải sgk Toán 12 - CTST
- Giải sgk Vật Lí 12 - CTST
- Giải sgk Hóa học 12 - CTST
- Giải sgk Sinh học 12 - CTST
- Giải sgk Lịch Sử 12 - CTST
- Giải sgk Địa Lí 12 - CTST
- Giải sgk Giáo dục KTPL 12 - CTST
- Giải sgk Tin học 12 - CTST
- Giải sgk Hoạt động trải nghiệm 12 - CTST
- Giải sgk Âm nhạc 12 - CTST
- Lớp 12 Cánh diều
- Soạn văn 12 Cánh diều (hay nhất)
- Soạn văn 12 Cánh diều (ngắn nhất)
- Giải sgk Toán 12 Cánh diều
- Giải sgk Vật Lí 12 - Cánh diều
- Giải sgk Hóa học 12 - Cánh diều
- Giải sgk Sinh học 12 - Cánh diều
- Giải sgk Lịch Sử 12 - Cánh diều
- Giải sgk Địa Lí 12 - Cánh diều
- Giải sgk Giáo dục KTPL 12 - Cánh diều
- Giải sgk Tin học 12 - Cánh diều
- Giải sgk Công nghệ 12 - Cánh diều
- Giải sgk Hoạt động trải nghiệm 12 - Cánh diều
- Giải sgk Giáo dục quốc phòng 12 - Cánh diều
- Giải sgk Âm nhạc 12 - Cánh diều


Giải bài tập SGK & SBT
Tài liệu giáo viên
Sách
Khóa học
Thi online
Hỏi đáp

