Ứng dụng của tích phân Tính diện tích hình phẳng (cực hay)
Bài viết Ứng dụng của tích phân Tính diện tích hình phẳng với phương pháp giải chi tiết giúp học sinh ôn tập, biết cách làm bài tập Ứng dụng của tích phân Tính diện tích hình phẳng.
Ứng dụng của tích phân Tính diện tích hình phẳng (cực hay)
(199k) Xem Khóa học Toán 12 KNTTXem Khóa học Toán 12 CDXem Khóa học Toán 12 CTST
Bài giảng: Ứng dụng của tích phân tính diện tích, tính thể tích - Cô Nguyễn Phương Anh (Giáo viên VietJack)
A. Phương pháp giải & Ví dụ
1. Định lý: Cho hàm số y=f(x) liên tục, không âm trên [a;b]. Khi đó diện tích S của hình thang cong giới hạn bởi đồ thị hàm số y=f(x), trục hoành và 2 đường thẳng x=a, x=b là:
2. Bài toán liên quan
Bài toán 1: Diện tích hình phẳng giới hạn bởi đồ thị hàm số y=f(x) liên tục trên đoạn [a;b], trục hoành và hai đường thẳng x=a, x=b được xác định:
Bài toán 2: Diện tích hình phẳng giới hạn bởi đồ thị hàm số y=f(x), y=g(x) liên tục trên đoạn [a;b] và hai đường thẳng x=a, x=b được xác định:
Chú ý:
- Nếu trên đoạn [a;b], hàm số f(x) không đổi dấu thì:
- Nắm vững cách tính tích phân của hàm số có chứa giá trị tuyệt đối
Bài toán 3: Diện tích của hình phẳng giới hạn bởi các đường x=g(y), x=h(y) và hai đường thẳng y=c, y=d được xác định:
Bài toán 4: Diện tích hình phẳng giới hạn bởi 2 đồ thị (C1): f1(x), (C2):f2(x) là:
Trong đó: x1, xn tương ứng là nghiệm nhỏ nhất của phương trình f(x)=g(x)
Ví dụ minh họa
Bài 1: Tính diện tích S của hình phẳng giới hạn bởi Parabol (P):y=3-x2, đường thẳng y=-2x+3, trục tung và x=1.
Lời giải:
Phương trình hoành độ giao điểm: 3-x2=-2x+3 ⇔ x2-2x=0
Diện tích cần tìm được tính bằng công thức sau đây:
Bài 2: Tính diện tích S của hình phẳng giới hạn bởi các đường y=-2x2 và y=-2x-4.
Lời giải:
Phương trình hoành độ giao điểm của y=-2x2 và y=-2x-4 là:
-2x2=-2x-4 ⇔ -2x2+2x+4=0
Bài 3: Tính diện tích S của hình phẳng giới hạn bởi các đường y=x3-3x và y=x
Lời giải:
Ta có phương trình hoành độ giao điểm x3-4x=0
Diện tích
B. Bài tập vận dụng
Bài 1: Tính diện tích hình phẳng được giới hạn bởi các đường y=2x-x2 và đường thẳng x+y=2
Lời giải:
Phương trình hoành độ giao điểm của đồ thị hàm số y=x2+x-1 và y=x4+x-1 là
x2+x-1=x4+x-1 ⇔ x2 (x2-1)=0
Ta có: x2 (x2-1) ≤ 0 ∀x ∈ [-1;1]. Do đó:
Bài 2: Tính diện tích S của hình phẳng giới hạn bởi các đường x3-x và y=x-x2.
Lời giải:
Phương trình hoành độ giao điểm
x3-x=-x2+x ⇔ x=0; x=-2; x=1
Bài 3: Tính diện tích hình phẳng giới hạn bởi các đường y=cosx; Ox; Oy; x=π
Lời giải:
Phương trình hoành độ giao điểm của đồ thị hàm số y=cosx và trục Ox (y=0) là:
cosx=0 ⇔ x=π/2+kπ(k ∈ Z)
Xét trên [0;π] nên x=π/2.
Do đó
Bài 4: Tính Diện tích hình phẳng giới hạn bởi các đường y=ex; y=1 và x=1
Lời giải:
Phương trình hoành độ giao điểm của hai đồ thị hàm số y=ex và trục y=1 là:
ex=1 ⇔ x=0.
Bài 5: Tính diện tích hình phẳng được giới hạn bởi các đường y=(e+1)x ,y=(1+ex )x
Lời giải:
Phương trình hoành độ giao điểm của hai đồ thị hàm số y=(e+1)x và y=(1+ex)x là:
(e+1)x = (1+ex )x
Bài 6: Tính diện tích hình phẳng được giới hạn bởi các đường y=sin2x,y=cosx và hai đường thẳng x=0 ,x=π/2
Lời giải:
Phương trình hoành độ giao điểm của hai đồ thị hàm số y=sin2x và y=cosx là:
sin2x=cosx ⇔ cosx.(2sinx-1)=0
Xét trên [0;π/2] nên nhận x=π/6
Bài 7: Tính diện tích hình phẳng được giới hạn bởi hai đường y=√x và y=x2
Lời giải:
Phương trình hoành độ giao điểm của hai đồ thị hàm sốy=√xvà y=x2 là :
x2=√x ⇔ x=x4 ⇔ x4-x=0
Ta có: x2-√x ≤ 0,∀x ∈ [0;1]. Do đó:
Bài 8: Tính diện tích hình phẳng giới hạn bởi y=sinx; y=cosx; x=0; x=π
Lời giải:
Phương trình hoành độ giao điểm của hai đồ thị hàm số y=sinx; y=cosx; x=0; x=π là:
sinx=cosx ⇔ tanx=1 ⇔ x=π/4+kπ,k ∈ Z
Vì x ∈ [0;π] nên x=π/4.
Ta có: sinx-cosx ≤ 0, ∀x ∈ [0;π/4]; sinx-cosx ≥ 0,∀x ∈ [π/4;π]
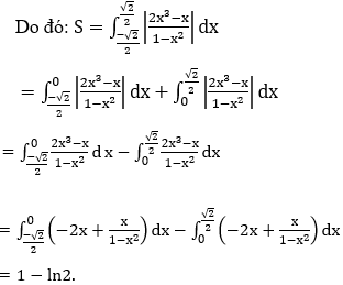
Bài 9: Tính diện tích hình phẳng giới hạn bởi
Lời giải:
Bài 10: Tính diện tích hình phẳng giới hạn bởi các đường
Lời giải:
Phương trình hoành độ giao điểm của đồ thị hàm số y=2x và đồ thị hàm số y=8/x là
Diện tích hình phẳng cần tìm là:
C. Bài tập tự luyện
Bài 1. Tính diện tích hình phẳng giới hạn bởi: Đồ thị hàm số y = cosx + 1, trục hoành và hai đường thẳng x = 0 và
Bài 2. Tính diện tích hình phẳng giới hạn bởi: đồ thị hàm số y = x3 – 1, trục hoành, trục tung và đường thẳng x = 2.
Bài 3. Tính diện tích hình phẳng giới hạn bởi: đồ thị hàm số y = –x2 + 3x – 2 và trục hoành.
Bài 4. Tính diện tích hình phẳng giới hạn bởi: đồ thị hàm số y = 4 – x2, y = –x + 2x.
Bài 5. Tính diện tích hình phẳng giới hạn bởi: đồ thị hàm số y = lnx, y = –lnx và x = e.
(199k) Xem Khóa học Toán 12 KNTTXem Khóa học Toán 12 CDXem Khóa học Toán 12 CTST
Xem thêm các dạng bài tập Toán lớp 12 ôn thi Tốt nghiệp có lời giải hay khác:
- Dạng 6: Tính tích phân bằng định nghĩa và tính chất
- Trắc nghiệm tính tích phân bằng định nghĩa và tính chất
- Dạng 7: Tính tích phân từng phần
- Trắc nghiệm tính tích phân từng phần
- Dạng 8: Tính tích phân bằng phương pháp đổi biến số loại 1
- Trắc nghiệm tính tích phân bằng phương pháp đổi biến số loại 1
- Dạng 9: Tính tích phân bằng phương pháp đổi biến số loại 2
- Trắc nghiệm tính tích phân bằng phương pháp đổi biến số loại 2
- Dạng 10: Tính tích phân hàm chứa dấu giá trị tuyệt đối
- Trắc nghiệm tính tích phân hàm chứa dấu giá trị tuyệt đối
- Dạng 11: Tính tích phân hàm số hữu tỉ
- Trắc nghiệm tính tích phân hàm số hữu tỉ
- Trắc nghiệm ứng dụng của tích phân: Tính diện tích hình phẳng
- Dạng 13: Ứng dụng của tích phân: Tính thể tích khối tròn xoay
- Trắc nghiệm ứng dụng của tích phân: Tính thể tích khối tròn xoay
Đã có app VietJack trên điện thoại, giải bài tập SGK, SBT Soạn văn, Văn mẫu, Thi online, Bài giảng....miễn phí. Tải ngay ứng dụng trên Android và iOS.
Theo dõi chúng tôi miễn phí trên mạng xã hội facebook và youtube:Nếu thấy hay, hãy động viên và chia sẻ nhé! Các bình luận không phù hợp với nội quy bình luận trang web sẽ bị cấm bình luận vĩnh viễn.
- Giải Tiếng Anh 12 Global Success
- Giải sgk Tiếng Anh 12 Smart World
- Giải sgk Tiếng Anh 12 Friends Global
- Lớp 12 Kết nối tri thức
- Soạn văn 12 (hay nhất) - KNTT
- Soạn văn 12 (ngắn nhất) - KNTT
- Giải sgk Toán 12 - KNTT
- Giải sgk Vật Lí 12 - KNTT
- Giải sgk Hóa học 12 - KNTT
- Giải sgk Sinh học 12 - KNTT
- Giải sgk Lịch Sử 12 - KNTT
- Giải sgk Địa Lí 12 - KNTT
- Giải sgk Giáo dục KTPL 12 - KNTT
- Giải sgk Tin học 12 - KNTT
- Giải sgk Công nghệ 12 - KNTT
- Giải sgk Hoạt động trải nghiệm 12 - KNTT
- Giải sgk Giáo dục quốc phòng 12 - KNTT
- Giải sgk Âm nhạc 12 - KNTT
- Giải sgk Mĩ thuật 12 - KNTT
- Lớp 12 Chân trời sáng tạo
- Soạn văn 12 (hay nhất) - CTST
- Soạn văn 12 (ngắn nhất) - CTST
- Giải sgk Toán 12 - CTST
- Giải sgk Vật Lí 12 - CTST
- Giải sgk Hóa học 12 - CTST
- Giải sgk Sinh học 12 - CTST
- Giải sgk Lịch Sử 12 - CTST
- Giải sgk Địa Lí 12 - CTST
- Giải sgk Giáo dục KTPL 12 - CTST
- Giải sgk Tin học 12 - CTST
- Giải sgk Hoạt động trải nghiệm 12 - CTST
- Giải sgk Âm nhạc 12 - CTST
- Lớp 12 Cánh diều
- Soạn văn 12 Cánh diều (hay nhất)
- Soạn văn 12 Cánh diều (ngắn nhất)
- Giải sgk Toán 12 Cánh diều
- Giải sgk Vật Lí 12 - Cánh diều
- Giải sgk Hóa học 12 - Cánh diều
- Giải sgk Sinh học 12 - Cánh diều
- Giải sgk Lịch Sử 12 - Cánh diều
- Giải sgk Địa Lí 12 - Cánh diều
- Giải sgk Giáo dục KTPL 12 - Cánh diều
- Giải sgk Tin học 12 - Cánh diều
- Giải sgk Công nghệ 12 - Cánh diều
- Giải sgk Hoạt động trải nghiệm 12 - Cánh diều
- Giải sgk Giáo dục quốc phòng 12 - Cánh diều
- Giải sgk Âm nhạc 12 - Cánh diều


Giải bài tập SGK & SBT
Tài liệu giáo viên
Sách
Khóa học
Thi online
Hỏi đáp

