Ứng dụng của tích phân Tính thể tích khối tròn xoay (cực hay)
Bài viết Ứng dụng của tích phân: Tính thể tích khối tròn xoay với phương pháp giải chi tiết giúp học sinh ôn tập, biết cách làm bài tập Ứng dụng của tích phân: Tính thể tích khối tròn xoay.
Ứng dụng của tích phân: Tính thể tích khối tròn xoay
(199k) Xem Khóa học Toán 12 KNTTXem Khóa học Toán 12 CDXem Khóa học Toán 12 CTST
Bài giảng: Ứng dụng của tích phân tính diện tích, tính thể tích - Cô Nguyễn Phương Anh (Giáo viên VietJack)
A. Phương pháp giải & Ví dụ
Gọi B là phần vật thể giới hạn bởi hai mặt phẳng vuông góc với trục Ox tại các điểm a và b; S(x) là diện tích thiết diện của vật thể bị cắt bởi mặt phẳng vuông góc với trục Ox tại điểm x, (a ≤ x ≤ b). Giả sử S(x) là hàm số liên tục trên đoạn [a;b].
Bài toán 1: Thể tích khối tròn xoay được sinh ra khi quay hình phẳng giới hạn bởi các đường y=f(x), trục hoành và hai đường thẳng x=a, x=b quanh trục Ox:
Bài toán 2: Thể tích khối tròn xoay được sinh ra khi quay hình phẳng giới hạn bởi các đường x=g(y), trục hoành và hai đường thẳng y=c, y=d quanh trục Oy:
Bài toán 3: Thể tích khối tròn xoay được sinh ra khi quay hình phẳng giới hạn bởi các đường y=f(x), y=g(x) và hai đường thẳng x=a, x=b quanh trục Ox:
Ví dụ minh họa
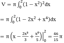
Bài 1: Tính thể tích khối tròn xoay được giới hạn bởi các đường y=(1-x2 ), y=0, x=0 và x=2 khi quay quanh trục Ox.
Lời giải:
Thể tích khối tròn xoay được giới hạn bởi các đường
y = (1-x2), y=0, x=0 và x=2 khi quay quanh trục Ox là:
Bài 2: Cho hình phẳng giới hạn bởi các đường y=√x; y=x quay quanh trục Ox. Tính thể tích khối tròn xoay tạo.
Lời giải:
Giải phương trình √x = x ⇔ x ∈ {0;1}.
Thể tích khối tròn xoay giới hạn bởi các đường y=√x;y=x khi quay quanh trục Ox là
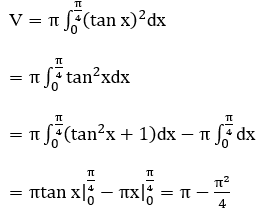
Bài 3: Gọi (H) là hình phẳng giới hạn bởi các đường y=tanx; Ox; x=0; x=π/4. Quay (H) xung quanh trục Ox ta được khối tròn xoay có thể tích bằng bao nhiêu?
Lời giải:
Thể tích khối tròn xoay được giới hạn bởi các đường y=tanx; Ox; x=0; x=π/4 là:
B. Bài tập vận dụng
Bài 1: Tính thể tích khối tròn xoay sinh ra do quay hình phẳng giới hạn bởi các đường y=x3, trục Ox, x=-1, x=1 một vòng quanh trục Ox.
Lời giải:
Thể tích khối tròn xoay được giới hạn bởi các đường y=x3, trục Ox, x=-1, x=1 một vòng quanh trục Ox là:
Bài 2: Gọi (H) là hình phẳng giới hạn bởi các đường y=2x-x2; Ox. Quay (H) xung quanh trục Ox ta được khối tròn xoay. Tính thể tích của (H)
Lời giải:
Phương trình hoành độ giao điểm:
Suy ra
Bài 3: Tính thể tích khối tròn xoay giới hạn bởi y=lnx,y=0,x=e quay quanh trục Ox.
Lời giải:
Phương trình hoành độ giao điểm: lnx=0 ⇔ x=1
Khi đó thể tích cần tìm là:
Bài 4: Cho hình phẳng (H) được giới hạn bởi đường cong
trục Ox và trục Oy. Tính thể tích của khối tròn xoay khi cho hình (H) quay quanh trục Ox .
Lời giải:
Phương trình hoành độ giao điểm:
Suy ra
Bài 5: Gọi (H) là hình phẳng giới hạn bởi các đường: y=3x ;y=x ; x=1. Quay (H) xung quanh trục Ox ta được khối tròn xoay. Tính thể tích của khối tròn xoay (H).
Lời giải:
Phương trình hoành độ giao điểm: 3x =x ⇔ x=0.
Suy ra:
Bài 6: Cho hình (H) giới hạn bởi các đường y=x+1; y=6/x; x=1; x > 0. Quay hình (H) quanh trục Ox ta được khối tròn xoay có thể tích là bao nhiêu?
Lời giải:
Phương trình hoành độ giao điểm: x+1 =6/x ⇔ x2+x-6=0 ⇒ x=2.
Suy ra:
Bài 7: Tính thể tích khối tròn xoay được tạo bởi phép quay quanh trục Ox hình phẳng giới hạn bởi các đường y=1/cosx, x=0 và x=π/4
Lời giải:
Thể tích khối tròn xoay được tạo bởi phép quay quanh trục Ox hình phẳng giới hạn bởi các đường y=1/cosx, x=0 và x=π/4 là:
Bài 8: Tính thể tích V của khối tròn xoay tạo thành khi quay hình phẳng giới hạn bởi các đường
xung quanh trục Ox.
Lời giải:
Thể tích V của khối tròn xoay tạo thành khi quay hình phẳng giới hạn bởi các đường
y=√tanx, y=0, x=0, x=π/4 xung quanh trục Ox là:
Bài 9: Cho hình phẳng (H) giới hạn bởi đồ thị hàm số y=e2x, y=0, x=0 và x=2. Tính thể tích của khối tròn xoay được tạo thành khi quay (H) xung quanh trục Ox.
Lời giải:
Thể tích khối tròn xoay tạo thành là
Bài 10: Cho hình phẳng (H) giới hạn bởi các đường
Tính thể tích của khối tròn xoay được tạo thành khi quay (H) xung quanh trục x .
Lời giải:
Thể tích cần tìm là
C. Bài tập tự luyện
Bài 1. Trong mặt phẳng (P) cho hình vuông ABCD có cạnh bằng 7 và hình tròn (C) có tâm A, dường kính bằng 14 như hình vẽ. Tính thể tích của vật thể tròn xoay được tạo thành khi quay mô hình trên quanh trục là đường thẳng AC.
Bài 2. Cho hình phẳng (H) giới hạn bởi các đường y = , y = 0, x = 0, x = 1. Tính thể tích của khối tròn xoay được tạo thành khi quay (H) xung quanh trục x.
Bài 3. Tính thể tích khối tròn xoay thu được khi quay hình phẳng giới hạn bởi các đường y = ; y = x xung quanh trục Ox.
Bài 4. Viết công thức tính thể tích khối tròn xoay tạo thành khi cho hình phẳng giới hạn bởi đồ thị hàm số y = f(x) liên tục trên đoạn [a; b], trục Ox và hai đường thẳng x = a, x = b quay quanh Ox?
Bài 5. Cho hàm số y = f(x) liên tục trên đoạn [a; b]. Hình phẳng giới hạn bởi các đường y = 0, x = a, x = b quay quanh trục Ox có thể tích là V1. Hình phẳng giới hạn bởi các đường y = f(x), y = 0, x = a, x = b quay quanh trục Ox có thể tích là V2. Tìm biểu thức liên hệ giữa V1 và V2?
Bài 6. Cho hình phẳng H giới hạn bởi đường cong y = , trục hoành và các đường thẳng x = 0, x = 2. Tính thể tích khối tròn xoay tạo thành khi quay H quanh trục hoành?
Bài 7. Cho hình phẳng H giới hạn bởi đường cong y = 2x + 1, y = 0, x = 0, x = 1. Tính thể tích khối tròn xoay tạo thành khi quay H quanh trục hoành?
Bài 8. Cho hình phẳng H giới hạn bởi các đường y = và trục hoành. Khối tròn xoay tạo thành khi quay H quanh trục hoành có thể tích bằng với a, b là các số nguyên dương và là phân số tối giản. Tính T = 2a + b.
Bài 9. Cho hình phẳng H giới hạn bởi các đường y = , y = 0, x = 0, . Tính thể tích khối tròn xoay khi quay H quanh trục hoành?
Bài 10. Cho hình phẳng H giới hạn bởi các đường y = sinx + cosx, y = 0, x = 0, x = . Tính thể tích khối tròn xoay khi quay H quanh trục hoành?
(199k) Xem Khóa học Toán 12 KNTTXem Khóa học Toán 12 CDXem Khóa học Toán 12 CTST
Xem thêm các dạng bài tập Toán lớp 12 ôn thi Tốt nghiệp có lời giải hay khác:
- Dạng 6: Tính tích phân bằng định nghĩa và tính chất
- Trắc nghiệm tính tích phân bằng định nghĩa và tính chất
- Dạng 7: Tính tích phân từng phần
- Trắc nghiệm tính tích phân từng phần
- Dạng 8: Tính tích phân bằng phương pháp đổi biến số loại 1
- Trắc nghiệm tính tích phân bằng phương pháp đổi biến số loại 1
- Dạng 9: Tính tích phân bằng phương pháp đổi biến số loại 2
- Trắc nghiệm tính tích phân bằng phương pháp đổi biến số loại 2
- Dạng 10: Tính tích phân hàm chứa dấu giá trị tuyệt đối
- Trắc nghiệm tính tích phân hàm chứa dấu giá trị tuyệt đối
- Dạng 11: Tính tích phân hàm số hữu tỉ
- Trắc nghiệm tính tích phân hàm số hữu tỉ
- Dạng 12: Ứng dụng của tích phân: Tính diện tích hình phẳng
- Trắc nghiệm ứng dụng của tích phân: Tính diện tích hình phẳng
- Trắc nghiệm ứng dụng của tích phân: Tính thể tích khối tròn xoay
Đã có app VietJack trên điện thoại, giải bài tập SGK, SBT Soạn văn, Văn mẫu, Thi online, Bài giảng....miễn phí. Tải ngay ứng dụng trên Android và iOS.
Theo dõi chúng tôi miễn phí trên mạng xã hội facebook và youtube:Nếu thấy hay, hãy động viên và chia sẻ nhé! Các bình luận không phù hợp với nội quy bình luận trang web sẽ bị cấm bình luận vĩnh viễn.
- Giải Tiếng Anh 12 Global Success
- Giải sgk Tiếng Anh 12 Smart World
- Giải sgk Tiếng Anh 12 Friends Global
- Lớp 12 Kết nối tri thức
- Soạn văn 12 (hay nhất) - KNTT
- Soạn văn 12 (ngắn nhất) - KNTT
- Giải sgk Toán 12 - KNTT
- Giải sgk Vật Lí 12 - KNTT
- Giải sgk Hóa học 12 - KNTT
- Giải sgk Sinh học 12 - KNTT
- Giải sgk Lịch Sử 12 - KNTT
- Giải sgk Địa Lí 12 - KNTT
- Giải sgk Giáo dục KTPL 12 - KNTT
- Giải sgk Tin học 12 - KNTT
- Giải sgk Công nghệ 12 - KNTT
- Giải sgk Hoạt động trải nghiệm 12 - KNTT
- Giải sgk Giáo dục quốc phòng 12 - KNTT
- Giải sgk Âm nhạc 12 - KNTT
- Giải sgk Mĩ thuật 12 - KNTT
- Lớp 12 Chân trời sáng tạo
- Soạn văn 12 (hay nhất) - CTST
- Soạn văn 12 (ngắn nhất) - CTST
- Giải sgk Toán 12 - CTST
- Giải sgk Vật Lí 12 - CTST
- Giải sgk Hóa học 12 - CTST
- Giải sgk Sinh học 12 - CTST
- Giải sgk Lịch Sử 12 - CTST
- Giải sgk Địa Lí 12 - CTST
- Giải sgk Giáo dục KTPL 12 - CTST
- Giải sgk Tin học 12 - CTST
- Giải sgk Hoạt động trải nghiệm 12 - CTST
- Giải sgk Âm nhạc 12 - CTST
- Lớp 12 Cánh diều
- Soạn văn 12 Cánh diều (hay nhất)
- Soạn văn 12 Cánh diều (ngắn nhất)
- Giải sgk Toán 12 Cánh diều
- Giải sgk Vật Lí 12 - Cánh diều
- Giải sgk Hóa học 12 - Cánh diều
- Giải sgk Sinh học 12 - Cánh diều
- Giải sgk Lịch Sử 12 - Cánh diều
- Giải sgk Địa Lí 12 - Cánh diều
- Giải sgk Giáo dục KTPL 12 - Cánh diều
- Giải sgk Tin học 12 - Cánh diều
- Giải sgk Công nghệ 12 - Cánh diều
- Giải sgk Hoạt động trải nghiệm 12 - Cánh diều
- Giải sgk Giáo dục quốc phòng 12 - Cánh diều
- Giải sgk Âm nhạc 12 - Cánh diều


Giải bài tập SGK & SBT
Tài liệu giáo viên
Sách
Khóa học
Thi online
Hỏi đáp

