150+ Bài tập trắc nghiệm Số hữu tỉ; Số thực (có lời giải)
Tổng hợp bài tập trắc nghiệm Số hữu tỉ. Số thực lớp 7 có lời giải đầy đủ các mức độ nhận biết, thông hiểu, vận dụng, vận dụng cao giúp bạn ôn tập và biết cách làm bài tập Toán 7.
150+ Bài tập trắc nghiệm Số hữu tỉ; Số thực (có lời giải)
(199k) Học Toán 7 KNTTHọc Toán 7 CTSTHọc Toán 7 CD
- Trắc nghiệm Tập hợp Q các số hữu tỉ
- Trắc nghiệm Cộng, trừ số hữu tỉ
- Trắc nghiệm Nhân, chia số hữu tỉ
- Trắc nghiệm Giá trị tuyệt đối của một số hữu tỉ. Cộng, trừ, nhân, chia số thập phân
- Lý thuyết Lũy thừa của một số hữu tỉ
- Trắc nghiệm Tỉ lệ thức
- Trắc nghiệm Tính chất của dãy tỉ số bằng nhau
- Trắc nghiệm Số thập phân hữu hạn. Số thập phân vô hạn tuần hoàn
- Trắc nghiệm Làm tròn số
- Trắc nghiệm Số vô tỉ. Khái niệm về căn bậc hai
- Trắc nghiệm Số thực
- 22+ Bài tập tổng hợp Số hữu tỉ; Số thực (có lời giải)
Trắc nghiệm Tập hợp Q các số hữu tỉ có đáp án
Câu 1: Tập hợp các số hữu tỉ kí hiệu là:
A. N
B. N*
C. Q
D. R
Lời giải:
Tập hợp các số hữu tỉ được kí hiệu là Q.
Tập hợp các số tự nhiên kí hiệu là N.
Tập hợp số tự nhiên khác 0 kí hiệu là N*
Đáp án cần chọn là: C
Câu 2: Chọn câu đúng:
A. N ⊂ Q
B. Q ⊂ N
C. Q = Z
D. Q ⊂ Z
Lời giải:
Ta có: N ⊂ Z ⊂ Q
Do đó N ⊂ Q suy ra A đúng.
Đáp án cần chọn là: A
Câu 3: Chọn câu đúng
Lời giải:
Đáp án cần chọn là: A
Câu 4: Chọn câu sai
Lời giải:
Đáp án cần chọn là: B
Câu 5: Số nào dưới đây là số hữu tỉ dương:
Lời giải:
Đáp án cần chọn là: A
Câu 6: Số nào dưới đây là số hữu tỉ âm
Lời giải:
Đáp án cần chọn là: D
Câu 7: Số hữu tỉ là số được viết dưới dạng phân số với:
A. a = 0; b ≠ 0
B. a, b ∈ Z, b ≠ 0
C. a, b ∈ N
D. a ∈ N, b ≠ 0
Lời giải:
Số hữu tỉ là số được viết dưới dạng phân số trong đó a,b ∈ Z; b ≠ 0.
Đáp án cần chọn là: B
Câu 8: Với điều kiện nào của b thì phân số , aZ là số hữu tỉ?
A. b ∈ Z; b ≠ 0
B. b ≠ 0
C. b ∈ Z
D. b ∈ N; b ≠ 0
Lời giải:
Số hữu tỉ là số viết được dưới dạng phân số , với a,b ∈ Z, b ≠ 0
Đáp án cần chọn là: A
Câu 9: Số được biểu diễn trên trục số bởi hình vẽ nào sau đây:
Lời giải:
Biểu diễn số trên trục số ta được:
Đáp án cần chọn là: D
Câu 10: Số được biểu diễn trên trục số bởi hình vẽ nào sau đây:
Lời giải:
+ Chia đoạn thẳng đơn vị (chẳng hạn đoạn từ điểm 0 đến điểm 1) thành 2 phần bằng nhau, lấy một đoạn làm đơn vị mới thì đơn vị mới bằng 1/2 đơn vị cũ.
+ Số 3/2 được biểu diễn bởi điểm M nằm bên phải điểm 0 và cách điểm 0 một đoạn bằng 3 đơn vị mới.
Đáp án cần chọn là: D
Câu 11: Trong các phân số sau, phân số nào không bằng ?
Lời giải:
Đáp án cần chọn là: A
Câu 12: Trong các phân số sau, phân số nào không bằng ?
Lời giải:
Đáp án cần chọn là: B
Trắc nghiệm Cộng, trừ số hữu tỉ có đáp án
Câu 1: Kết quả của phép tính ?
Lời giải:
Đáp án cần chọn là: A
Câu 2: Kết quả của phép tính ?
Lời giải:
Đáp án cần chọn là: A
Câu 3: Chọn kết luận đúng nhất về kết quả của phép tính
A. Là số nguyên âm
B. Là số nguyên dương
C. Là số hữu tỉ âm
D. Là số hữu tỉ dương
Lời giải:
Do đó kết quả là số hữu tỉ âm.
Đáp án cần chọn là: C
Câu 4: Chọn kết luận đúng nhất về kết quả của phép tính
A. Là số nguyên âm
B. Là số nguyên dương
C. Là số hữu tỉ âm
D. Là số hữu tỉ dương
Lời giải:
Do đó kết quả là số hữu tỉ dương.
Đáp án cần chọn là: D
Câu 5: là kết quả của phép tính:
Lời giải:
Ta có:
Đáp án cần chọn là: A
Câu 6: là kết quả của phép tính:
Lời giải:
Đáp án cần chọn là: B
Câu 7: Số viết thành hiệu của 2 số hữu tỉ dương nào sau đây?
Lời giải:
nên C đúng
Đáp án B: nên loại B
Đáp án A: nên loại A
Đáp án D: nên loại D
Đáp án cần chọn là: C
Câu 8: Số viết thành hiệu của 2 số hữu tỉ dương nào sau đây?
nên C đúng
Lời giải:
Ta có:
nên C đúng
Vậy số
viết thành hiệu của hai số hữu tỉ dương
Đáp án cần chọn là: B
Câu 9: Tính
nên C đúng
Lời giải:
nên C đúng
Đáp án cần chọn là: B
Câu 10: Tính
nên C đúng
Lời giải:
nên C đúng
Đáp án cần chọn là: A
Câu 11: Cho . Gía trị của x bằng:
nên C đúng
Lời giải:
nên C đúng
Đáp án cần chọn là: A
Câu 12: Cho . Gía trị của x bằng:
nên C đúng
Lời giải:
nên C đúng
Đáp án cần chọn là: A
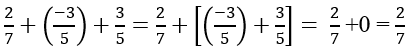
Câu 13: Gía trị biểu thức là:
Lời giải:
Ta có:
Đáp án cần chọn là: D
Câu 14: Gía trị biểu thức là:
Lời giải:
Ta có:
Đáp án cần chọn là: D
Câu 15: Kết luận nào đúng khi nói về giá trị của biểu thức:
A. A < 0
B. A < 1
C. A > 2
D. A < 2
Lời giải:
Đáp án cần chọn là: C
(199k) Học Toán 7 KNTTHọc Toán 7 CTSTHọc Toán 7 CD
Xem thêm các bài tập trắc nghiệm Toán lớp 7 chọn lọc, có đáp án chi tiết hay khác:
- 100+ Bài tập trắc nghiệm Hàm số và đồ thị (có lời giải)
- 100+ Bài tập trắc nghiệm Đường thẳng vuông góc; Đường thẳng song song (có lời giải)
- 150+ Bài tập trắc nghiệm Tam giác (có lời giải)
- 50+ Bài tập trắc nghiệm Thống kê (có lời giải)
- 150+ Bài tập trắc nghiệm Biểu thức đại số (có lời giải)
- 100+ Bài tập trắc nghiệm Quan hệ giữa các yếu tố trong tam giác; Các đường thẳng đồng quy của tam giác (có lời giải)
Lời giải bài tập lớp 7 sách mới:
- Giải bài tập Lớp 7 Kết nối tri thức
- Giải bài tập Lớp 7 Chân trời sáng tạo
- Giải bài tập Lớp 7 Cánh diều
Tủ sách VIETJACK shopee lớp 6-8 (2025):
Đã có app VietJack trên điện thoại, giải bài tập SGK, SBT Soạn văn, Văn mẫu, Thi online, Bài giảng....miễn phí. Tải ngay ứng dụng trên Android và iOS.
Theo dõi chúng tôi miễn phí trên mạng xã hội facebook và youtube:Loạt bài Lý thuyết - Bài tập Toán lớp 7 có đầy đủ Lý thuyết và các dạng bài có lời giải chi tiết được biên soạn bám sát nội dung chương trình sgk Đại số 7 và Hình học 7.
Nếu thấy hay, hãy động viên và chia sẻ nhé! Các bình luận không phù hợp với nội quy bình luận trang web sẽ bị cấm bình luận vĩnh viễn.
- Giải Tiếng Anh 7 Global Success
- Giải Tiếng Anh 7 Friends plus
- Giải sgk Tiếng Anh 7 Smart World
- Giải Tiếng Anh 7 Explore English
- Lớp 7 - Kết nối tri thức
- Soạn văn 7 (hay nhất) - KNTT
- Soạn văn 7 (ngắn nhất) - KNTT
- Giải sgk Toán 7 - KNTT
- Giải sgk Khoa học tự nhiên 7 - KNTT
- Giải sgk Lịch Sử 7 - KNTT
- Giải sgk Địa Lí 7 - KNTT
- Giải sgk Giáo dục công dân 7 - KNTT
- Giải sgk Tin học 7 - KNTT
- Giải sgk Công nghệ 7 - KNTT
- Giải sgk Hoạt động trải nghiệm 7 - KNTT
- Giải sgk Âm nhạc 7 - KNTT
- Lớp 7 - Chân trời sáng tạo
- Soạn văn 7 (hay nhất) - CTST
- Soạn văn 7 (ngắn nhất) - CTST
- Giải sgk Toán 7 - CTST
- Giải sgk Khoa học tự nhiên 7 - CTST
- Giải sgk Lịch Sử 7 - CTST
- Giải sgk Địa Lí 7 - CTST
- Giải sgk Giáo dục công dân 7 - CTST
- Giải sgk Công nghệ 7 - CTST
- Giải sgk Tin học 7 - CTST
- Giải sgk Hoạt động trải nghiệm 7 - CTST
- Giải sgk Âm nhạc 7 - CTST
- Lớp 7 - Cánh diều
- Soạn văn 7 (hay nhất) - Cánh diều
- Soạn văn 7 (ngắn nhất) - Cánh diều
- Giải sgk Toán 7 - Cánh diều
- Giải sgk Khoa học tự nhiên 7 - Cánh diều
- Giải sgk Lịch Sử 7 - Cánh diều
- Giải sgk Địa Lí 7 - Cánh diều
- Giải sgk Giáo dục công dân 7 - Cánh diều
- Giải sgk Công nghệ 7 - Cánh diều
- Giải sgk Tin học 7 - Cánh diều
- Giải sgk Hoạt động trải nghiệm 7 - Cánh diều
- Giải sgk Âm nhạc 7 - Cánh diều


Giải bài tập SGK & SBT
Tài liệu giáo viên
Sách
Khóa học
Thi online
Hỏi đáp

