Bài tập cường độ điện trường và cách giải
Với Bài tập cường độ điện trường và cách giải sẽ giúp học sinh nắm vững lý thuyết, biết cách làm bài tập từ đó có kế hoạch ôn tập hiệu quả để đạt kết quả cao trong các bài thi môn Vật lí 11.
Bài tập cường độ điện trường và cách giải
(199k) Xem Khóa học Vật Lí 11 KNTTXem Khóa học Vật Lí 11 CDXem Khóa học Vật Lí 11 CTST
I. Lý thuyết
1. Điện trường
Điện trường là một dạng vật chất (môi trường) bao quanh điện tích và gắn liền với điện tích. Điện trường tác dụng lực điện lên các điện tích khác đặt trong nó.

2. Cường độ điện trường (E)
- Cường độ điện trường tại một điểm là đại lượng đặc trưng cho tác dụng lực của điện trường tại điểm đó. Nó được xác định bằng thương số của độ lớn lực điện F tác dụng lên một điện tích thử q (dương) đặt tại điểm đó và độ lớn của q.
Trong đó:
+ E: Cường độ điện trường tại điểm mà ta xét
+ F: Lực điện tác dụng lên điện tích thử q (N)
+ q: Điện tích (C)
- Vectơ cường độ điện trường được biểu diễn bằng một vectơ gọi là vectơ cường độ điện trường
- Vectơ cường độ điện trường E→ có:
+ Điểm đặt tại điểm ta xét.
+ Phương trùng với đường thẳng nối điện tích điểm với điểm ta xét.
+ Chiều:
Hướng ra xa điện tích nếu là điện tích dương

Hướng về phía điện tích nếu là điện tích âm.

+ Chiều dài (mô đun) biểu diễn độ lớn của cường độ điện trường theo một tỉ xích nào đó.
- Đơn vị đo cường độ điện trường là N/C, tuy nhiên người ta hay dùng đơn vị đo cường độ điện trường là V/m.
- Cường độ điện trường của một điện tích điểm:
⇒ Độ lớn của cường độ điện trường E không phụ thuộc vào độ lớn điện tích thử q.
3. Nguyên lý chồng chất điện trường
- Giả sử có hai điện tích điểm Q1, Q2 gây ra tại điểm M hai điện trường có các vectơ cường độ điện trường , như hình vẽ:

Nguyên lí chồng chất điện trường được phát biểu: Các điện trường , đồng thời tác dụng lực điện lên điện tích q tại M một cách độc lập với nhau và điện tích q chịu tác dụng của điện trường tổng hợp E→: EM→ = +
- Nếu một điểm M đặt trong điện trường do nhiều điện tích điểm Q1. Q2, …, Qn lần lượt gây ra điện trường , ,...,En→ thì cường độ điện trường tại M:
EM→ = + +...+ En→
Chú ý: các vectơ cường độ điện trường tại một điểm được tổng hợp theo quy tắc hình bình hành.
4. Đường sức điện
- Đường sức điện trường là đường mà tiếp tuyến tại mỗi điểm của nó là giá của vectơ cường độ điện trường tại điểm đó. Nói cách khác, đường sức điện là đường mà lực điện tác dụng dọc theo đó.
- Một số hình dạng đường sức của một điện trường:

- Các đặc điểm của đường sức điện
+ Qua mỗi điểm trong điện trường có một đường sức điện và chỉ một mà thôi.
+ Đường sức điện là những đường có hướng. Hướng của đường sức điện tại một điểm là hướng của vectơ cường độ điện trường tại điểm đó.

+ Đường sức điện của các điện trường tĩnh điện là đường không khép kín. Nó đi ra từ điện tích dường và kết thúc ở điện tích âm. Trong trường hợp chỉ có một điện tích thì các đường sức đi từ điện tích dương ra vô cực hoặc đi từ vô cực đến điện tích âm.
+ Ở chỗ cường độ điện trường lớn thì các đường sức điện sẽ mau, còn ở chỗ cường độ điện trường nhỏ thì các đường sức điện sẽ thưa.
- Điện trường đều là điện trường mà vectơ cường độ điện trường tại mọi điểm đều cùng phương, chiều và độ lớn; đường sức điện là những đường thẳng song song cách đều.

II. Các dạng bài tập
Dạng 1: Xác định cường độ điện trường do điện tích gây ra tại một điểm
1. Lý thuyết
- Cường độ điện trường do điện tích gây ra tại một điểm
- Biểu diễn vectơ cường độ điện trường của một điện tích điểm Q trong chân không.
+ Điểm đặt: tại điện tích ở điểm ta xét.
+ Phương: trùng với đường thẳng nối điện tích điểm ở điểm ta xét.
+ Chiều:
Hướng ra xa điện tích nếu là điện tích dương

Hướng về phía điện tích nếu là điện tích âm.

+ Chiều dài: biểu diễn độ lớn của cường độ điện trường theo một tỉ xích nào đó.
2. Phương pháp giải
Bước 1: Biểu diễn cường độ điện trường gây ra tại một điểm
Bước 2: Áp dụng công thức cường độ điện trường để tính các đại lượng liên quan tới yêu cầu bài toán
Công thức cường độ điện trường
3. Ví dụ minh họa
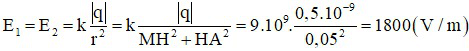
Ví dụ 1: Tính cường độ điện trường do một điện tích điểm +4.10−9C gây ra tại một điểm cách nó 5cm trong chân không?
Hướng dẫn giải

- Áp dụng công thức tính cường độ điện trường, ta có:
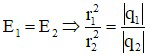
Ví dụ 2: Một điện tích q trong nước (ε = 81) gây ra tại điểm M cách điện tích một khoảng r = 26 cm một điện trường E = 1,5.104 V/m. Hỏi tại điểm N cách điện tích q một khoảng r = 17 cm có cường độ điện trường bằng bao nhiêu?
Hướng dẫn giải
Do
, ta có:
Ví dụ 3: Một điện tích đặt tại điểm có cường độ điện trường 0,3 (V/m). Lực tác dụng lên điện tích đó bằng 5.10-4 (N). Độ lớn điện tích đó là bao nhiêu?
Hướng dẫn giải
- Áp dụng công thức
Dạng 2: Xác định lực điện trường tác dụng lên một điện tích trong điện trường
1. Lý thuyết
Lực điện trường tác dụng lên điện tích điểm F→ = |q|E→
- Biểu diễn lực điện trường tại một điểm gây ra bởi điện tích Q:

- Điểm đặt: tại điểm đặt điện tích q;
- Phương: trùng phương với vectơ cường độ điện trường;
- Chiều: + q > 0 ⇒ F→↑↑E→
+ q < 0 ⇒ F→↑↓E→
- Độ lớn:
- Trong đó:
+ F: Lực điện trường tác dụng lên điện tích điểm (N)
+ E: Cường độ điện trường của một điện tích điểm Q (V/m)
+ q, Q: Điện tích điểm (C)
+ r: Khoảng cách giữa hai điện tích điểm q, Q (m)
+ ε: Hằng số điện môi
+
= hằng số
2. Phương pháp giải
Bước 1: Biểu diễn lực điện trường tác dụng lên điện tích điểm
Bước 2: Áp dụng lý thuyết lực điện trường tác dụng lên điện tích điểm để tính các đại lượng liên quan đến yêu cầu bài toán
- Đối với bài toán điện tích điểm chịu thêm tác dụng của các lực cơ học
+ Trọng lực: P = mg (luôn hướng xuống)
+ Lực căng dây: T
+ Lực đàn hồi của lò xo: F = k.Δℓ = k(ℓ - ℓo).
+ Lực đẩy Acsimet: FA = dV = DgV
Ta cần:
+ Bước 1: Biểu diễn các lực tác dụng lên điện tích điểm
+ Bước 2: Phân tích hoặc tổng hợp lực theo qui tắc hình bình hành
+ Bước 3: Áp dụng điều kiện cân bằng của điện tích để giải bài toán
Chú ý:
+ q > 0 ⇒ F→↑↑E→
+ q < 0 ⇒ F→↑↓E→
3. Ví dụ minh họa
Ví dụ 1: Điện trường trong khí quyển gần mặt đất có cường độ , hướng thẳng đứng từ trên xuống dưới. Một positron (+e = 1,6.10-19 C) ở trong điện trường này sẽ chịu tác dụng một lực điện có cường độ và hướng như thế nào?
Hướng dẫn giải
+
Vậy điện trường này sẽ chịu tác dụng một lực điện có độ lớn F = 3,2.10−17 N, hướng thẳng đứng từ trên xuống.
Ví dụ 2:Hai điện tích thử q1, q2 (q1 = 3q2) theo thứ tự đặt vào 2 điểm A và B trong điện trường. Lực tác dụng lên q1 là F1, lực tác dụng lên q2 là F2 (với F1 = 3F2). Tỉ số cường độ điện trường tại A và B
là?
Hướng dẫn giải
Ta có
Mà
Ví dụ 3: Một quả cầu nhỏ tích điện, có khối lượng m = 0,1g, được treo ở đầu một sơi chỉ mảnh, trong một điện trường đều, có phương nằm ngang và có cường độ điện trường E = 103 V/m. Dây chỉ hợp với phương thẳng đứng một góc 14o.Tính độ lớn điện tích của quả cầu. Lấy g = 10 m/s2.
Hướng dẫn giải

+ Khi hệ cân bằng:
Dạng 3: Xác định cường độ điện trường tổng hợp tại một điểm
1. Lý thuyết
- Nếu một điểm M đặt trong điện trường do nhiều điện tích điểm Q1. Q2, …, Qn lần lượt gây ra điện trường , ,...,En→ thì cường độ điện trường tại M:
EM→ = + +...+ En→
Chú ý: các vectơ cường độ điện trường tại một điểm được tổng hợp theo quy tắc hình bình hành.
- Trường hợp có hai điện tích điểm q1, q2 gây ra tại điểm M hai điện trường có các vectơ cường độ điện trường , thì cường độ điện trường tại M:
+ Nếu E1M→↑↑E2M→ ⇒ α = 0o ⇒ EM = E1M + E2M

+ Nếu E1M→↑↓E2M→ ⇒ α = 180o ⇒ EM = |F1M − F2M|

+ Nếu E1M→⊥E2M→ ⇒ α = 90o ⇒ EM =

+ Nếu

2. Phương pháp giải
Áp dụng nguyên lý chồng chất điện trường:
- Xác định vị trí và biểu diễn vectơ cường độ điện trường do từng điện tích gây ra.
- Tính độ lớn cường độ điện trường do từng điện tích gây ra.
- Vẽ vectơ cường độ điện trường tổng hợp (quy tắc hình bình hành).
- Xác định độ lớn của cường độ điện trường tổng hợp từ hình vẽ.
3. Ví dụ minh họa
Ví dụ 1: Có hai điện tích điểm q1 = 0,5 nC và q2 = −0,5 nC lần lượt đặt tại hai điểm A, B cách nhau một đoạn a = 6 cm trong không khí. Hãy xác định cường độ điện trường E→ tại điểm M trong các trường hợp sau:
a) Điểm M là trung điểm của AB.
b) Điểm C cách A một đoạn 6 cm, cách B một đoạn 12 cm.
c) Điểm M nằm trên đường trung trực của AB và cách AB một đoạn 4 cm.
Hướng dẫn giải
a) Gọi , lần lượt là cường độ điện trường do điện tích q1 và q2 gây ra tại M.
+ Vì :
+ Các vectơ , được biểu diễn như hình vẽ.

+ Gọi E→ là điện trường tổng hợp do và gây ra tại M. Ta có: E→ = +
+ Vì , cùng chiều nên: E = E1 + E2 = 10000 (V/m)
+ Vậy E→ có điểm đặt tại M, phương AB, chiều từ A đến B, độ lớn 10000 V/m
b) Gọi , lần lượt là cường độ điện trường do điện tích và gây ra tại M
+ Ta có:
+ Các vectơ , được biểu diễn như hình

+ Gọi E→ là điện trường tổng hợp do q1 và q2 gây ra tại M. Ta có: E→ = +
+ Vì , ngược chiều nên: E = E1 − E2 = 937,5 (V/m)
+ Vậy E→ có điểm đặt tại M, phương AB, chiều từ B đến A, độ lớn 937,5 V/m
c) Gọi , lần lượt là cường độ điện trường do điện tích q1 và q2 gây ra tại M

+ Vì độ lớn hai điện tích bằng nhau nên điểm M cách đều hai điện tích nên:
+ Các vectơ , được biểu diễn như hình
+ Vì E1 = E2 nên hình ME1EE2 là hình thoi nên:
ME = 2.MK = 2.ME1cosβ ⇔ E = 2.E1cosβ
+ Do ME1EE2 là hình thoi nên ME song song AB. Vậy vectơ cường độ điện trường tổng hợp tại M có điểm đặt tại M, phương ME, chiều từ M đến E và có độ lớn 2160 V/m.
Ví dụ 2: Bốn điểm A, B, C, D trong không khí tạo thành hình chữ nhật ABCD cạnh AD = 3 cm, AB = 4 cm. Các điện tích q1, q2, q3 đặt lần lượt tại A, B, C. Gọi là vectơ cường độ điện trường do q2 gây ra tại D, E13→ là cường độ điện trường tổng hợp do các điện tích q1 và q3 gây ra tại D. Hãy xác định giá trị của q1 và q3. Biết q2 = −12,5.10−8 C và = E13→
Hướng dẫn giải
Gọi , và E3→ lần lượt là cường độ điện trường do điện tích q1, q2, q3 gây ra tại D

+ Do q2 < 0 nên hướng về B như hình vẽ.
+ Theo đề ra = E13→ suy ra E13→ phải cùng chiều và có độ lớn bằng E2. Do đó , E3→ và E13→ có phương chiều như hình vẽ.
+ Từ hình vẽ ta có:
+ Với:
+ Thay số vào (1) suy ra E1 = 27.104 V/m và E3 = 36.104 V/m
+ Lại có:
Từ hình vẽ ta thấy các vectơ , E3→ hướng lại gần các điện tích nên q1 và q3 là các điện tích âm do đó:
Dạng 4: Tìm vị trị cường độ điện trường tổng hợp triệt tiêu.
1. Lý thuyết
- Khi điện trường tổng hợp tại một điểm triệt tiêu, ta có + + E3→ +... = 0→
2. Phương pháp giải
- Bài toán thường gặp: cường độ điện trường tại một điểm M do hai điện tích q1, q2 gây ra bị triệt tiêu
Gọi M là điểm có cường độ điện trường bị triệt tiêu, AB là khoảng cách giữa hai điện tích q1, q2
+ Trường hợp: q1.q2 > 0
Để ↑↓ ⇒ M nằm trong đoạn nối q1, q2 ⇒ r1 + r2 = AB (1)
Để
(2)
+ Trường hợp: q1.q2 < 0
Để ↑↓ ⇒ M nằm ngoài đoạn nối q1, q2
Với |q1| > |q2| ⇒ M gần q2 hơn (r1 > r2) ⇒ r1 − r2 = AB (1)
Với |q1| < |q2| ⇒ M gần q1 hơn (r2 > r1) ⇒ r2 − r1 = AB (1)
Để
(2)
Giải (1), (2) suy ra đại lượng chưa biết
3. Ví dụ minh họa
Ví dụ 1: Hai điện tích q1 = 8.10−9 và điện tích q2 = −2.10−9 đặt tại A, B cách nhau 9 cm trong chân không. Gọi C là vị trí tại đó điện trường tổng hợp bằng 0. Điểm C cách A đoạn là bao nhiêu?
Hướng dẫn giải
- Gọi , lần lượt là điện trường do điện tích q1 và q2 gây ra tại điểm C
- Điện trường tổng hợp tại C triệt tiêu nên ta có: + = 0 ⇒ = -
Vậy ↑↓ ⇒ C phải nằm trên AB.
- Do q1.q2 < 0 nên điểm C phải nằm bên ngoài AB hay: |CA − CB| = AB = 9 (1)
- Lại có:
(2)
- Thay (2) vào (1) ⇒ CB = 9 (cm) và CA = 18 (cm)
Vậy điểm C cách A đoạn 18 cm.
Ví dụ 2: Tại ba đỉnh A, B và C của một hình vuông ABCD cạnh 6 cm trong chân không, đặt ba điện tích điểm q1 = q3 = 2.10-7C và q2 = -4.10-7. Xác định điện tích q4 đặt tại D để cường độ điện trường tổng hợp gây bởi hệ điện tích tại tâm O bằng 0.
Hướng dẫn giải

- Cường độ điện trường tổng hợp tại tâm O của hình vuông:
E0→ = + + E3→ + E4→
Trong đó , , E3→, E4→ lần lượt là vecto cường độ điện trường do các điện tích q1, q2, q3, q4 gây ra tại O.
- Để cường độ điện trường tại O triệt tiêu thì E0→ = 0→
- Vì q1 = q3 và AO = CO nên:
Để thì E0→ = 0→ thì
Ví dụ 3: Một quả cầu nhỏ khối lượng m = 0,1 g mang điện tích q = 10−8 C được treo bằng một sợi dây không dãn và đặt vào điện trường đều E→ có đường sức nằm ngang. Khi quả cầu cân bằng, dây treo hợp với phương thẳng đứng góc α = 45o. Lấy g = 10 m/s2. Tính:
a) Độ lớn của cường độ điện trường.
b) Sức căng của dây treo
Hướng dẫn giải
a) Các lực tác dụng lên quả cầu gồm:
+ Lực căng dây T→
+ Trọng lực
+ Lực điện trường F→

- Điều kiện cân bằng của quả cầu: + F→ + T→ = 0→
+ Gọi là vectơ tổng hợp của và F→ ⇒ + T→ = 0
+ Suy ra có phương sợi dây
b) Ta có:
Ví dụ 4: Cho hai tấm kim loại song song, nằm ngang, nhiễm điện trái dấu. Khoảng không gian giữa hai tấm kim loại đó chứa đầy dầu. Một quả cầu bằng sắt bán kính R = 1 cm mang điện tích q nằm lơ lửng trong lớp dầu. Điện trường giữa hai tấm kim loại là điện trường đều hướng từ trên xuống và có độ lớn 20000 V/m. Hỏi độ lớn và dấu của điện tích q. Cho biết khối lượng riêng của sắt là 7800 kg/m3, của dầu là 800 kg/m3. Lấy g = 10 m/s2.
Hướng dẫn giải
Các lực tác dụng lên quả cầu gồm: lực điện F→ ,trọng lực hướng xuống và lực đẩy Acsimet FA→ hướng lên.
+ Điều kiện cân bằng của quả cầu: F→ + + FA→ = 0→
+ Lại có:
+ Vì khối lượng riêng của vật lớn hơn ⇒ P > FA ⇒ FA + F = P ⇒ F = P − FA
+ Vậy để vật cân bằng thì lực điện phải hướng lên
- F→↑↓E→ ⇒ q < 0 ⇒ q = −14,7.10−6 (C)
III. Bài tập tự luyện
Bài 1: Điện tích điểm q = 80 nC đặt cố định tại O trong dầu. Hằng số điện môi của dầu là ε = 4. Cường độ điện trường do q gây ra tại M cách O một khoảng MO = 30 cm là
A. 0,6.103 V/m.
B. 0,6.104 V/m.
C. 2.103 V/m.
D. 2.105 V/m
Đáp án: C
Bài 2: Một điểm cách một điện tích một khoảng cố định trong không khí có cường độ điện trường 4000 V/m theo chiều từ trái sang phải. Khi đổ một chất điện môi có hằng số điện môi bằng 2 bao chùm điện tích điểm và điểm đang xét thì cường độ điện trường tại điểm đó có độ lớn và hướng là
A. 8000 V/m, hướng từ trái sang phải.
B. 8000 V/m, hướng từ phải sang trái.
C. 2000 V/m, hướng từ phải sang trái.
D. 2000 V/m hướng từ trái sang phải.
Đáp án: D
Bài 3: Một điện tích -1 μC đặt trong chân không sinh ra điện trường tại một điểm cách nó 1m có độ lớn và hướng là
A. 9000 V/m, hướng về phía nó.
B. 9000 V/m, hướng ra xa nó.
C. 9.109 V/m, hướng về phía nó.
D. 9.109 V/m, hướng ra xa nó.
Đáp án: A
Bài 4: Đặt một điện tích thử - 1μC tại một điểm, nó chịu một lực điện 1mN có hướng từ trái sang phải. Cường độ điện trường có độ lớn và hướng là
A. 1000 V/m, từ trái sang phải.
B. 1000 V/m, từ phải sang trái.
C. 1V/m, từ trái sang phải.
D. 1 V/m, từ phải sang trái.
Đáp án: B
Bài 5: Nếu khoảng cách từ điện tích nguồn tới điểm đang xét tăng 2 lần thì cường độ điện trường
A. giảm 2 lần.
B. tăng 2 lần.
C. giảm 4 lần.
B. tăng 4 lần.
Đáp án: C
Bài 6: Một điện tích đặt tại điểm có cường độ điện trường 0,16 (V/m). Lực tác dụng lên điện tích đó bằng 2.10-4 (N). Độ lớn điện tích đó là:
A. q = 8.10-6 (C).
B. q = 12,5.10-6 (C).
C. q = 1,25.10-3 (C).
D. q = 12,5 (C).
Đáp án: C
Bài 7: Một điện tích điểm q đặt trong một môi trường đồng tính, vô hạn có hằng số điện môi bằng 2,5. Tại điểm M cách q một đoạn 0,4m vectơ cường độ điện trường có độ lớn bằng 9.105V/m và hướng về phía điện tích q. Khẳng định nào sau đây đúng khi nói về dấu và độ lớn của điện tích q?
A. q = - 4mC
B. q = 4mC
C. q = 0,4mC
D. q = - 40mC
Đáp án: D
Bài 8: Hai điện tích thử q1, q2 (q1 = 4q2) theo thứ tự đặt vào 2 điểm A và B trong điện trường. Lực tác dụng lên q1 là F1, lực tác dụng lên q2 là F2 (với F1 = 3F2). Cường độ điện trường tại A và B là E1 và E2 với
A. E2 = 0,75E1
B. E2 = 2E1
C. E2 = 0,5E1
D. E2 = 4/3E1
Đáp án: D
Bài 9: Một điện tích q trong dầu gây ra tại điểm M cách điện tích một khoảng r = 10 cm một điện trường E = 25.104 V/m. Hỏi tại N cường độ điện trường 9.104 V/m cách điện tích khoảng bằng bao nhiêu?
B.15 cm
C. 22 cm
D. 17,5 cm
Đáp án: A
Đáp án: A
Bài 10: Cho hai điểm A và B cùng nằm trên một đường sức điện do điện tích q > 0 gây ra. Biết độ lớn của cường độ điện trường tại A là 36 V/m, tại B là 9 V/m. Xác định cường độ điện trường tại trung điểm M của AB.
A. 16V/m
B. 32 V/m
C. 160 V/m
D. 320 V/m
Đáp án: A
Bài 11: Đặt một điện tích thử - 1μC tại một điểm, nó chịu một lực điện 2mN có hướng từ trái sang phải. Cường độ điện trường có độ lớn và hướng là
A. 1000 V/m, từ trái sang phải.
B. 2000 V/m, từ phải sang trái.
C. 1V/m, từ trái sang phải.
D. 1 V/m, từ phải sang trái.
Đáp án: B
Bài 12: Một điện tích điểm được đặt trong môi trường dầu hỏa có hằng số điện môi e thì sinh ra tại điểm M một điện trường có cường độ 72000 V/m. Nếu tại M đặt điện tích thì bị tác dụng lực tĩnh điện có độ lớn bằng:
A. 1,44.10−3 N
B. 1440000 N
C. −1,44.10−3 N
D. -1440000 N
Đáp án: A
Bài 13: Hai điện tích thử q1, q2 (q1 =2q2) theo thứ tự đặt vào 2 điểm A và B trong điện trường. Lực tác dụng lên q1 là F1, lực tác dụng lên q2 là F2 (với F1 = 5F2). Cường độ điện trường tại A và B là E1 và E2 với
A. E2 = 0,75E1
B. E2 = 2,5E1
C. E2 = 0,5E1
D. E2 = 4E1
Đáp án: B
Bài 14: Một điện tích đặt tại điểm có cường độ điện trường 0,5 (V/m). Lực tác dụng lên điện tích đó bằng 2.10-5 (N). Độ lớn điện tích đó là:
A. q = 5.10-6 (C).
B. q = 5.10-5 (C).
C. q = 4.10-5 (C).
D. q = 2,5.10-6 (C).
Đáp án: C
Bài 15: Một điện tích q = 5.10-5 (C) đặt tại điểm có cường độ điện trường 200 (V/m). Tính lực tác dụng lên điện tích đó
A. 0,02 N
B. 0,2 N
C. 0,5 N.
D. 0,01 N
Đáp án: D
Bài 16: Lực tác dụng lên điện tích q = 6.10-4 (C) tại một điểm là 3.10-2 (N). Tính cường độ điện trường tác dụng lên điện tích tại điểm đó
A. 50 V/m
B. 60 V/m
C. 500 V/m
D. 600 V/m
Đáp án: A
Bài 17: Một quả cầu nhỏ khối lượng 0,1 g và có điện tích -10-6 C được treo bằng một sợi dây mảnh ở trong điện trường E = 1000 V/m có phương ngang cho g = 10 m/s2. Khi quả cầu cân bằng, góc lệch của dây treo quả cầu so với phương thẳng đứng là
A. 300
B. 600
C. 450
D. 150
Đáp án: C
Bài 18: Một giọt dầu hình cầu,có khối lượng riêng D1 = 8 kg.m−3, có bán kính R = 1cm, tích điện q, nằm lơ lửng trong không khí trong đó có một điện trường đều.Véc tơ cường độ điện trường hướng thẳng đứng từ trên xuống dưới và có độ lớn là E = 500V/m. Khối lượng riêng của không khí là D2 = 1,2 kg.m−3.Gia tốc trọng trường là g = 9,8 m/s2.Chọn phương án đúng?
A. q = −0,652μC
B. q = −0,558μC
C. q = +0,652μC
D. q = +0,558μC
Đáp án: B
Bài 19: Một electron có q = -1,6.10-19 C và khối lượng của nó bằng 9,1.10-31 kg. Xác định độ lớn gia tốc a mà e thu được khi đặt trong điện trường đều E = 100 V/m.
A. 1,785.10-3 m/s2.
B. 17,85.10-3 m/s2.
C. 1,785.10-5 m/s2.
D. 17,85.10-3 m/s2.
Đáp án: A
Bài 20: Một electron chuyển động với vận tốc ban đầu 2.106 m/s dọc theo một đường sức điện của một điện trường đều được một quãng đường 1 cm thì dừng lại. Điện tích của electron là −1,6.10−19 C, khối lượng của electron là 9,1.10−31kg. Độ lớn cường độ điện trường là
A. 1137,5 V/m
B. 144 V/m
C. 284 V/m
D. 1175,5 V/m
Đáp án: A
Bài 21: Hai điện tích q1 = −10−6 C; q2 = 10−6 C đặt tại hai điểm A, B cách nhau 40cm trong không khí. Cường độ điện trường tổng hợp tại trung điểm M của AB là
A. 4,5.106 V/m
B. 0
C. 2,25.105 V/m
D. 4,5.105 V/m
Đáp án: D
Bài 22: Hai điện tích điểm q1 = -10-6 và q2 = 10-6C đặt tại hai điểm A và B cách nhau 40cm trong chân không. Cường độ điện trường tổng hợp tại điểm N cách A 20cm và cách B 60cm có độ lớn
A. 105V/m
B. 0,5.105V/m
C. 2.105V/m
D. 2,5.105V/m
Đáp án: C
Bài 23: Hai điện tích q1 = q2 = 5.10-9 C, đặt tại hai điểm cách nhau 10 cm trong chân không. Độ lớn cường độ điện trường tại điểm nằm trên đường thẳng đi qua hai điện tích và cách đều hai điện tích bằng
A. 18000 V/m
B. 36000 V/m
C. 1,800 V/m
D. 0 V/m
Đáp án: D
Bài 24: Hai điện tích q1 = q2 = 5.10-16C, đặt tại hai đỉnh B và C của một tam giác đều ABC cạnh bằng 8cm trong không khí. Cường độ điện trường tại đỉnh A của tam giác ABC có độ lớn bằng
A. 18000 V/m
B. 36000 V/m
C. 1,800 V/m
D. 0 V/m
Đáp án: A
Bài 25: Tại hai điểm A, B trong không khí lần lượt đặt hai điện tích điểm qA= qB = 3.10-7C, AB = 12cm. M là một điểm nằm trên đường trung trực của AB, cách đoạn AB 8cm. Cường độ điện trường tổng hợp do qA và qB gây ra có độ lớn
A. bằng 1,35.105 V/m và hướng vuông góc với AB.
B. bằng 1,35.105 V/m và hướng song song với AB.
C. bằng 2,5√3.105 V/m và hướng vuông góc với AB.
D. bằng 1,35√3.105 V/m và hướng song song với AB.
Đáp án: C
Bài 26: Tại hai điểm A và B cách nhau 8 cm trong chân không có hai điện tích điểm q1 = q2 = 16.10-8 C. Xác định độ lớn cường độ điện trường do hai điện tích này gây ra tại điểm biết AC = BC = 8cm
A. 450 kV/m
B. 225 kV/m
C. 351 kV/m
D. 285 kV/m
Đáp án: C
Bài 27: Ba điện tích dương q1 = q2= q3= q= 5.10-9C đặt tại 3 đỉnh liên tiếp của hình vuông cạnh a = 30cm trong không khí. Cường độ điện trường ở đỉnh thứ tư có độ lớn
A. 9,6.103V/m
B. 9,6.102V/m
C.7,5.104V/m
D. 8,2.103V/m
Đáp án: B
Bài 28: Ba điện tích Q giống hệt nhau được đặt cố định tại ba đỉnh của một tam giác đều có cạnh a. Độ lớn cường độ điện trường tại tâm của tam giác đó là
A. E = 18.109Q/a2
B. E = 27.109Q/a2
C. E = 81.109Q/a2
D. E = 0.
Đáp án: D
Bài 29: Tại 6 đỉnh của một lục giác đều ABCDEF cạnh a người ta lần lượt đặt các điện tích điểm dương q, 2q, 3q, 4q, 5q, 6q. Vectơ cường độ điện trường tại tâm lục giác có độ lớn
A. 6 kq/a2 và hướng tới F.
B. 6 kq/a2 và hướng tới B
C. 3 kq/a2 và hướng tới F.
D. 3 kq/a2 và hướng tới B.
Đáp án: B
Bài 30: Tại ba đỉnh của tam giác vuông cân ABC, AB = AC = a, đặt ba điện tích dương qA = qB = q; qC = 2q trong chân không. Cường độ điện trường tại H là chân đường cao hạ từ đỉnh góc vuông A xuống cạnh huyền BC có biểu thức
A. E = 18√2.109q/a2
B. E = 18.109q/a2
C. E = 9.109q/a2
D. E = 27.109q/a2
Đáp án: A
Bài 31: Hai điện tích điểm q1 = 4mC và q2 = −9mC đặt tại hai điểm A và B cách nhau 9cm trong chân không. Điểm M có cường độ điện trường tổng hợp bằng O cách B một khoảng
A. 18cm
B. 9cm
C. 27cm
D. 4,5cm
Đáp án: C
Bài 32: Điện tích điểm q1 = 10-6C đặt tại điểm A; q2 = −2,25.10-6C đặt tại điểm B trong không khí cách nhau 18cm. Điểm M trên đường thẳng qua A, B mà có điện trường tại M bằng 0 thỏa mãn:
A. M nằm ngoài B và cách B 24cm
B. M nằm ngoài A và cách A 18cm
C. M nằm ngoài AB và cách B 12cm
D. M nằm ngoài A và cách A 36cm
Đáp án: D
Bài 33: Hai điện tích điểm q1 = 2.10-6 C và q2 = −8.10-6C lần lượt đặt tại A và B với AB = 10cm. Gọi và lần lượt là vec tơ cường độ điện trường do q1, q2 sinh ra tại điểm M trên đường thẳng AB. Biết = 4 . Khẳng định nào là đúng?
A. M nằm trong đoạn thẳng AB với AM = 2,5cm.
B. M nằm trong đoạn thẳng AB với AM = 5cm.
C. M nằm ngoài đoạn thẳng AB với AM = 2,5cm.
D. M nằm ngoài đoạn thẳng AB với AM = 5cm.
Đáp án: A
Bài 34: Hai điện tích Q1 =10-9C, Q2 = 2.10-9C đặt tại A và B trong không khí. Xác định điểm C mà tại đó véctơ cường độ điện trường bằng không. Cho AB = 20cm.
A. AC = 8,3cm; BC = 11,7cm.
B. AC = 48,3cm; BC = 68,3cm
C. C. C =11,7cm; BC = 8,3cm.
D. AC = 7,3cm; BC = 17,3cm
Đáp án: A
Bài 35: Cho hai điện tích điểm có cùng dấu và độ lớn q1 = 4q2 đặt tại A, B cách nhau 12 cm. Tìm điểm tại đó cường độ điện trường tổng hợp bằng không.
A. r1 = 3; r2 = 6cm
B. r1 = 6; r2 = 3cm
C. r1 = 4; r2 = 8cm
D. r1 = 8; r2 = 4cm
Đáp án: D
Bài 36: Hai điện tích q1 = 3q và q2 = 27q đặt cố định tại 2 điểm A, B trong không khí với AB = a. Tại điểm M có cường độ điện trường tổng hợp bằng 0. Điểm M
A. nằm trên đoạn thẳng AB với MA = a/4.
B. nằm trên đoạn thẳng AB với MA = a/2.
C. nằm ngoài đoạn thẳng AB với MA = a/4.
D. nằm ngoài đoạn thẳng AB với MA = a/2.
Đáp án: A
Bài 37: Tại hai đỉnh MP của một hình vuông MNPQ cạnh a đặt hai điện tích điểm qM = qP = −3.10-6 C. Phải đặt tại đỉnh Q một điện tích q bằng bao nhiêu để điện trường gây bởi hệ ba điện tích này tại N triệt tiêu?
A. q = 6√2.10-6 C
B. q = −6√2.10-6 C
C. q = −3√2.10-6 C
D. q = 3√2.10-6 C
Đáp án: A
Bài 38: Cho hình vuông ABCD cạnh a, tại A và C đặt các điện tích q1 = q3 = q. Phải đặt ở B điện tích bằng bao nhiêu để cường độ điện trường tại D bằng 0?
A. -2√2.q
B. 2√2.q
C. 2q
D. 0
Đáp án: A
Bài 39: Quả cầu nhỏ khối lượng 20g mang điện tích 10-7C được treo bởi dây mảnh trong điện trường đều có véctơ E→ nằm ngang. Khi quả cầu cân bằng, dây treo hợp với phương đứng một góc α = 300, lấy g = 10m/s2. Độ lớn của cường độ điện trường là
A. 1,15.106V/m
B. 2,5.106V/m
C. 3,5.106V/m
D. 2,7.105V/m
Đáp án: A
Bài 40: Quả cầu mang điện có khối lượng 0,1g treo trên sợi dây mảnh được đặt trong điện trường đều có phương nằm ngang, cường độ E = 1000V/m, khi đó dây treo bị lệch một góc 450 so với phương thẳng đứng, lấy g = 10m/s2. Điện tích của quả cầu có độ lớn bằng
A. 106 C
B. 10- 3 C
C. 103 C
D. 10-6 C
Đáp án: D
Bài 41: Một hạt bụi khối lượng 10-4g mang điện tích q nằm cân bằng trong điện trường đều có vecto cường độ điện trường Phương thẳng đứng, chiều từ trên xuống (E = 1600 V/m). Lấy g = 10m/s2. Điện tích của hạt bụi là
A. -1,6.10-6C
B. -6,25.10-7C
C. 1,6.10-6C
D. 6,25.10-7C
Đáp án: B
Bài 42: Điện trường giữa hai bản của một tụ điện phẳng đặt nằm ngang có cường độ điện trường 4900 V/m. Xác định khối lượng hạt bụi đặt trong điện trường này nếu nó mang điện tích q = 4.10-10 C và đang ở trạng thái cân bằng. (lấy g = 10m/s2)
A. 1,96.10-7 kg.
B. 1,56.10-7 kg.
C. 1,45.10-6 kg.
D. 2,16.10-6 kg.
Đáp án: A
Bài 43: Quả cầu nhỏ khối lượng 0,25g mang điện tích 2,5.10-9C được treo bởi một sợi dây và đặt vào trong điện trường đều có phương nằm ngang và có độ lớn
E = 106V/m, lấy g = 10m/s2. Góc lệch của dây treo so với phương thẳng đứng là
A. 300
B. 600
C. 450
D. 650
Đáp án: C
Bài 44: Một quả cầu có khối lượng m = 0,1 g mang điện tích q = 10-8 C được treo bằng một sợi dây không giãn và đặt vào điện trường đều E→ có đường sức nằm ngang. Khi quả cầu cân bằng, dây treo hợp với phương thẳng đứng một góc 450, lấy g = 10 m/s2. Tính lực căng dây.
A. T = 1,41.10-4N
B. T = 14,1.10-4N
C. T = 2,82.10-4N
D. T = 28,2.10-4N
Đáp án: A
Bài 45: Hai quả cầu nhỏ A và B mang những điện tích lần lượt –2.10-9C và 2.10-9C được treo ở đầu hai sợi dây tơ cách điện dài bằng nhau. Hai điểm treo dây M và N cách nhau 2cm; khi cân bằng, vị trí các dây treo có dạng như hình vẽ. Hỏi để đưa các dây treo trở về vị trí thẳng đứng người ta phải dùng một điện trường đều có hướng nào và độ lớn bao nhiêu?
A. E = 4,5.104 V/m.
B. E = 45.104 V/m.
C. E = 4,5.106 V/m.
D. E = 45.106 V/m.
Đáp án: A
(199k) Xem Khóa học Vật Lí 11 KNTTXem Khóa học Vật Lí 11 CDXem Khóa học Vật Lí 11 CTST
Xem thêm phương pháp giải các dạng bài tập Vật Lí lớp 11 hay, chi tiết khác:
- Bài tập công của lực điện và cách giải
- Bài tập tụ điện, năng lượng điện trường và cách giải
- Bài tập đại cương về dòng điện không đổi và cách giải
- Bài tập định luật Ôm cho đoạn mạch chỉ chứa R và cách giải
- Bài tập định luật Ôm cho toàn mạch và cách giải
Tủ sách VIETJACK shopee lớp 10-11 (cả 3 bộ sách):
Đã có app VietJack trên điện thoại, giải bài tập SGK, SBT Soạn văn, Văn mẫu, Thi online, Bài giảng....miễn phí. Tải ngay ứng dụng trên Android và iOS.
Theo dõi chúng tôi miễn phí trên mạng xã hội facebook và youtube:Nếu thấy hay, hãy động viên và chia sẻ nhé! Các bình luận không phù hợp với nội quy bình luận trang web sẽ bị cấm bình luận vĩnh viễn.
- Giải Tiếng Anh 11 Global Success
- Giải sgk Tiếng Anh 11 Smart World
- Giải sgk Tiếng Anh 11 Friends Global
- Lớp 11 - Kết nối tri thức
- Soạn văn 11 (hay nhất) - KNTT
- Soạn văn 11 (ngắn nhất) - KNTT
- Giải sgk Toán 11 - KNTT
- Giải sgk Vật Lí 11 - KNTT
- Giải sgk Hóa học 11 - KNTT
- Giải sgk Sinh học 11 - KNTT
- Giải sgk Lịch Sử 11 - KNTT
- Giải sgk Địa Lí 11 - KNTT
- Giải sgk Giáo dục KTPL 11 - KNTT
- Giải sgk Tin học 11 - KNTT
- Giải sgk Công nghệ 11 - KNTT
- Giải sgk Hoạt động trải nghiệm 11 - KNTT
- Giải sgk Giáo dục quốc phòng 11 - KNTT
- Giải sgk Âm nhạc 11 - KNTT
- Lớp 11 - Chân trời sáng tạo
- Soạn văn 11 (hay nhất) - CTST
- Soạn văn 11 (ngắn nhất) - CTST
- Giải sgk Toán 11 - CTST
- Giải sgk Vật Lí 11 - CTST
- Giải sgk Hóa học 11 - CTST
- Giải sgk Sinh học 11 - CTST
- Giải sgk Lịch Sử 11 - CTST
- Giải sgk Địa Lí 11 - CTST
- Giải sgk Giáo dục KTPL 11 - CTST
- Giải sgk Hoạt động trải nghiệm 11 - CTST
- Giải sgk Âm nhạc 11 - CTST
- Lớp 11 - Cánh diều
- Soạn văn 11 Cánh diều (hay nhất)
- Soạn văn 11 Cánh diều (ngắn nhất)
- Giải sgk Toán 11 - Cánh diều
- Giải sgk Vật Lí 11 - Cánh diều
- Giải sgk Hóa học 11 - Cánh diều
- Giải sgk Sinh học 11 - Cánh diều
- Giải sgk Lịch Sử 11 - Cánh diều
- Giải sgk Địa Lí 11 - Cánh diều
- Giải sgk Giáo dục KTPL 11 - Cánh diều
- Giải sgk Tin học 11 - Cánh diều
- Giải sgk Công nghệ 11 - Cánh diều
- Giải sgk Hoạt động trải nghiệm 11 - Cánh diều
- Giải sgk Giáo dục quốc phòng 11 - Cánh diều
- Giải sgk Âm nhạc 11 - Cánh diều


Giải bài tập SGK & SBT
Tài liệu giáo viên
Sách
Khóa học
Thi online
Hỏi đáp

