Các dạng bài tập Tán sắc ánh sáng có lời giải
Các dạng bài tập Tán sắc ánh sáng có lời giải
(199k) Xem Khóa học Vật Lí 12 KNTTXem Khóa học Vật Lí 12 CDXem Khóa học Vật Lí 12 CTST
Phần Tán sắc ánh sáng Vật Lí lớp 12 với các dạng bài tập chọn lọc giúp ôn thi Tốt nghiệp môn Vật Lí và trên 50 bài tập trắc nghiệm có lời giải. Vào Xem chi tiết để theo dõi các dạng bài Tán sắc ánh sáng hay nhất tương ứng.
- Dạng 1 : Bài tập Hiện tượng tán sắc ánh sáng ôn thi Tốt nghiệp (có lời giải) Xem chi tiết
40 bài tập trắc nghiệm Tán sắc qua lăng kính có lời giải (phần 1)
40 bài tập trắc nghiệm Tán sắc qua lăng kính có lời giải (phần 2)
Cách giải bài tập Tán sắc qua lăng kính
1. Phương pháp
+ Áp dụng các công thức của lăng kính:
sini1 = nsinr1; sini2 = nsinr2;
A = r1 + r2; D = i2 + i2 - A.
Khi i1 = i2 (r1 = r2) thì D = Dmin với
+ Trường hợp góc chiết quang A và góc tới i1 đều nhỏ (≤ 100), ta có các công thức gần đúng: i1 = nr1; i2 = nr2; A = r1 + r2; D = (n – 1)A; Dmin = A(n – 1).
Trong một số trường hợp khác, ta cần giải một số bài toán liên quan đến định luật phản xạ: i = i’, định luật khúc xạ: n1sini1 = n2sini2.
2. Ví dụ
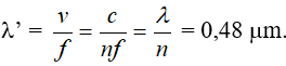
Ví dụ 1: Bước sóng của ánh sáng đỏ trong không khí là 0,64 μm . Tính bước sóng của ánh sáng đó trong nước biết chiết suất của nước đối với ánh sáng đỏ là 4/3 .
Lời giải:
Ta có:
Ví dụ 2: Một chùm ánh sáng hẹp, đơn sắc có bước sóng trong chân không là λ = 0,60 μm. Xác định chu kì, tần số của ánh sáng đó. Tính tốc độ và bước sóng của ánh sáng đó khi truyền trong thủy tinh có chiết suất n = 1,5.
Lời giải:
Ta có
Ví dụ 3: Một lăng kính có góc chiết quang là 60ο. Biết chiết suất của lăng kính đối với ánh sáng đỏ là 1,5. Chiếu tia sáng màu đỏ vào mặt bên của lăng kính với góc tới 60ο. Tính góc lệch của tia ló so với tia tới.
Ta có:
⇒ r1 = 35,3ο ⇒ r2 = A – r1 = 24,7ο; sini2 = nsinr2 = 0,63 = sin38,0ο
⇒ i2 = 38,8ο ⇒ D = i2 + i2 – A = 38,8ο.
Ví dụ 4: Một lăng kính thủy tinh có góc chiết quang A = 4ο, đặt trong không khí. Chiết suất của lăng kính đối với ánh sáng đỏ và tím lần lượt là 1,643 và 1,685. Chiếu một chùm tia sáng song song, hẹp gồm hai bức xạ đỏ và tím vào mặt bên của lăng kính theo phương vuông góc với mặt này. Tính góc tạo bởi tia đỏ và tia tím sau khi ló ra khỏi mặt bên kia của lăng kính.
Lời giải:
Với A và i1 nhỏ (≤ 100) ta có: D = (n – 1)A. Do đó: Dd = (nd = 1)A; Dt = (nt – 1)A. Góc tạo bởi tia ló đỏ và tia ló tím là: ΔD = Dt – Dd = (nt – nd)A = 0,168ο ≈ 10’.
Bài tập Hiện tượng tán sắc ánh sáng trong đề thi Đại học
Câu 1. [THPT QG năm 2015 – Câu 26 - M138] : Chiếu một chùm sáng đơn sắc hẹp tới mặt bên của một lăng kính thủy tinh đặt trong không khí. Khi đi qua lăng kính, chùm sáng này
A. không bị lệch khỏi phương truyền ban đầu.
B. bị đổi màu.
C. bị thay đổi tần số.
D. không bị tán sắc.
Lời giải:
Chùm sáng đơn sắc đi qua lăng kính không bị tán sắc.
Đáp án: D
Câu 2. [THPT QG năm 2017 – Câu 4 – M202] : Hiện tượng cầu vồng xuất hiện sau cơn mưa được giải thích chủ yếu dựa vào hiện tượng
A. quang - phát quang.
B. nhiễu xạ ánh sáng.
C. tán sắc ánh sáng.
D. giao thoa ánh sáng.
Lời giải:
Hiện tượng cầu vồng do sự tán sắc ánh sáng.
Đáp án: C
Câu 3. [THPT QG năm 2018 – Câu 5 – M201] : Cho bốn ánh sáng đơn sắc: đỏ, tím, cam và lục. Chiết suất của thủy tinh có giá trị lớn nhất đối với ánh sáng
A. lục. B. cam. C. đỏ. D. tím.
Lời giải:
Chiết suất có giá trị lớn nhất ứng với ánh sáng có bước sóng nhỏ nhất
Đáp án: D
Câu 4. [THPT QG năm 2018 – Câu 27 – M206] : Cho bốn ánh sáng đơn sắc: đỏ, chàm, cam và lục. Chiết suất của nuớc có giá trị lớn nhất đối với ánh sáng
A. chàm. B.cam. C. Lục. D.đỏ.
Lời giải:
Theo thứ tự chiết suất tăng dần theo bước sóng giảm dần: nđỏ < ncam< nvàng< nlục <nlam< nchàm<ntím.
Đáp án: A
Câu 5. [THPT QG năm 2018 – Câu 3 – M203] : Cho bốn ánh sáng đơn sắc: vàng, tím, cam và lục. Chiết suất của nước có giá trị nhỏ nhất đối với ánh sáng
A. vàng. B. lục. C. tím. D. cam.
Lời giải:
Ánh sáng có bước sóng càng lớn thì chiết suất tương ứng càng nhỏ.
Đáp án: D
Câu 6. [THPT QG năm 2018 – Câu 12 – M210] : Cho bốn ánh sáng đơn sắc: đỏ, tím, cam và lục. Chiết suất của thủy tinh có giá trị nhỏ nhất đối với ánh sáng
A. tím B. lục C. cam D. đỏ.
Lời giải:
Theo thứ tự chiết suất tăng dần theo bước sóng giảm dần: nđỏ < ncam< nvàng< nlục <nlam< nchàm<ntím
Đáp án: D
Câu 7. [THPT QG năm 2019 – Câu 2 – M218] : Trong miền ánh sáng nhìn thấy, chiết suất của thủy tinh có giá trị lớn nhất đối với ánh sáng đơn sắc nào sau đây?
A. Ánh sáng đỏ. B. Ánh sáng lục.
C. Ánh sáng tím. D. Ánh sáng lam.
Lời giải:
Theo thứ tự chiết suất tăng dần theo bước sóng giảm dần: nđỏ < ncam< nvàng< nlục <nlam< nchàm<ntím
Đáp án: C
Câu 8. [THPT QG năm 2019 – Câu 10 – M213] : Trong miền ánh sáng nhìn thấy, chiết suất của thủy tinh có giá trị nhỏ nhất đối với ánh sáng đơn sắc nào sau đây?
A. Ánh sáng tím. B. Ánh sáng đỏ.
C. Ánh sáng lục. D. Ánh sáng lam.
Lời giải:
Trong miền ánh sáng nhìn thấy thì chiết suất tăng dần từ đỏ đến tím chiết suất của thủy tinh có giá trị nhỏ nhất đối ánh sáng đỏ
Đáp án: B
Câu 9. [THPT QG năm 2017 – Câu 10 – MH2] : Khi nói về sóng ánh sáng, phát biểu nào sau đây đúng?
A. Ánh sáng trắng không bị tán sắc khi đi qua lăng kính.
B. Ánh sáng đơn sắc không bị tán sắc khi đi qua lăng kính.
C. Tia X có tần số nhỏ hơn tần số của ánh sáng nhìn thấy.
D. Tia tử ngoại có tần số nhỏ hơn tần số của ánh sáng nhìn thấy.
Lời giải:
Ánh sáng đơn sắc không bị tán sắc khi đi qua lăng kính.
Đáp án: B
Câu 10. [THPT QG năm 2018 – Câu 18 – M210] : Chiết suất của nước và của thủy tinh đối với một ánh sáng đơn sắc có giá trị lần lượt là 1,333 và 1,532. Chiết suất tỉ đối của nước đối với thủy tinh đối với ánh sáng đơn sắc này là
A. 0,199 B. 1,433 C. 1,149 D. 0,870
Lời giải:
n12 = 1,333/1,532
Đáp án: D
Bài tập bổ sung
Câu 1: Phát biểu nào trong các phát biểu dưới đây là đúng khi nói về hiện tượng tán sắc ánh sáng và ánh sáng đơn sắc?
A. Hiện tượng tán sắc ánh sáng là hiện tượng khi qua lăng kính, chùm ánh sáng trắng không những là bị lệch về phía đáy mà còn bị tách ra thành nhiều chùm sáng có màu sắc khác nhau.
B. Mỗi ánh sáng đơn sắc có một màu nhất định.
C. Trong quang phổ của ánh sáng trắng có vô số các ánh sáng đơn sắc khác nhau.
D. Cả A, B, C đều đúng.
Câu 2: Phát biểu nào sau đây là đúng?
A. Thí nghiệm của Niutơn về ánh sáng đơn sắc nhằm chứng minh sự tồn tại của ánh sáng đơn sắc.
B. Thí nghiệm của Niutơn về ánh sáng đơn sắc nhằm chứng minh lăng kính không làm biến đổi màu của ánh sáng qua nó.
C. Thí nghiệm của Niutơn về ánh sáng đơn sắc nhằm chứng minh ánh sáng Mặt Trời không phải là ánh sáng đơn sắc.
D. Thí nghiệm của Niutơn về ánh sáng đơn sắc nhằm chứng minh dù ánh sáng có màu gì thì khi đi qua lăng kính đều bị lệch về phía đáy của lăng kính.
Câu 3: Phát biểu nào sau đây là không đúng?
A. Ánh sáng trắng là tập hợp của vô số các ánh sáng đơn sắc có màu biến đổi liên tục từ đỏ đến tím.
B. Chiết suất của chất làm lăng kính đối với các ánh sáng đơn sắc là khác nhau.
C. Ánh sáng đơn sắc không bị tán sắc khi đi qua lăng kính.
D. Khi chiếu một chùm ánh sáng Mặt Trời đi qua một cặp hai môi trường trong suốt thì tia tím bị lệch về phía mặt phân cách hai môi trường nhiều hơn tia đỏ.
Câu 4: Phát biểu nào sau đây là không đúng? Cho các chùm ánh sáng sau: Trắng, đỏ, vàng, tím.
A. Ánh sáng trắng bị tán sắc khi đi qua lăng kính.
B. Chiếu ánh sáng trắng vào máy quang phổ sẽ thu được quang phổ liên tục.
C. Mỗi chùm ánh sáng trên đều có một bước sóng xác định
D. Ánh sáng tím bị lệch về phía đáy lăng kính nhiều nhất nên chiết suất của lăng kính đối với nó lớn nhất.
Câu 5: Chiếu một tia sáng trắng nằm trong một tiết diện thẳng của một lăng kính thủy tinh, vào lăng kính, theo phương vuông góc với mặt bên của lăng kính. Góc chiết quang của lăng kính bằng 30°. Biết chiết suất của lăng kính đối với tia đỏ là 1,5 và đối với tia tím là 1,6. Tính góc tạo bởi tia ló màu đỏ và tia ló màu tím.
A. 4,54°
B. 12,23°
C. 2,34°
D. 9,16°
Câu 6: Khi ánh sáng trắng bị tán sắc thì:
A. Màu đỏ lệch nhiều nhất.
B. Màu tím lệch nhiều nhất.
C. Màu tím lệch ít nhất.
D. Ánh sáng trắng tách ra thành 7 màu.
Câu 7: Đặc trưng cho sóng ánh sáng đơn sắc là
A. màu sắc.
B. tần số sóng.
C. vận tốc truyền sóng.
D. chiết suất lăng kính đối ánh sáng đó.
Câu 8: Một tia sáng khi qua lăng kính ló ra chỉ có một màu duy nhất không phải màu trắng đó là:
A. Ánh sáng đã bị tán sắc.
B. Lăng kính không có khả năng tán sắc.
C. Ánh sáng đơn sắc.
D. Chiết suất của lăng kính không đổi đối với các ánh sáng đơn sắc.
Câu 9: Nguyên nhân gây ra hiện tượng tán sắc ánh sáng Mặt Trời trong thí nghiệm của Niutơn là
A. góc chiết quang của lăng kính trong thí nghiệm chưa đủ lớn.
B. chiết suất của lăng kính đối với các ánh sáng đơn sắc là khác nhau.
C. bề mặt của lăng kính trong thí nghiệm không nhẵn.
D. chùm ánh sáng Mặt Trời đã bị nhiễu xạ khi đi qua lăng kính.
Câu 10: Một tia sáng trắng chiếu tới mặt bên của một lăng kính thuỷ tỉnh tam giác đều. Tia ló màu vàng qua lăng kính có góc lệch cực tiểu. Biết chiết suất của lăng kính đối với ánh sáng vàng, ánh sáng tím lần lượt là nv =1,500; nt =1,52. Góc tạo bởi tia ló màu vàng và tia ló màu tím có giá trị xấp xỉ bằng:
A. 0,77°
B. 48,59°
C. 4,46°
D. 1,73
(199k) Xem Khóa học Vật Lí 12 KNTTXem Khóa học Vật Lí 12 CDXem Khóa học Vật Lí 12 CTST
Xem thêm các dạng bài tập Vật Lí lớp 12 ôn thi Tốt nghiệp có lời giải hay khác:
Đã có app VietJack trên điện thoại, giải bài tập SGK, SBT Soạn văn, Văn mẫu, Thi online, Bài giảng....miễn phí. Tải ngay ứng dụng trên Android và iOS.
Theo dõi chúng tôi miễn phí trên mạng xã hội facebook và youtube:Nếu thấy hay, hãy động viên và chia sẻ nhé! Các bình luận không phù hợp với nội quy bình luận trang web sẽ bị cấm bình luận vĩnh viễn.
- Giải Tiếng Anh 12 Global Success
- Giải sgk Tiếng Anh 12 Smart World
- Giải sgk Tiếng Anh 12 Friends Global
- Lớp 12 Kết nối tri thức
- Soạn văn 12 (hay nhất) - KNTT
- Soạn văn 12 (ngắn nhất) - KNTT
- Giải sgk Toán 12 - KNTT
- Giải sgk Vật Lí 12 - KNTT
- Giải sgk Hóa học 12 - KNTT
- Giải sgk Sinh học 12 - KNTT
- Giải sgk Lịch Sử 12 - KNTT
- Giải sgk Địa Lí 12 - KNTT
- Giải sgk Giáo dục KTPL 12 - KNTT
- Giải sgk Tin học 12 - KNTT
- Giải sgk Công nghệ 12 - KNTT
- Giải sgk Hoạt động trải nghiệm 12 - KNTT
- Giải sgk Giáo dục quốc phòng 12 - KNTT
- Giải sgk Âm nhạc 12 - KNTT
- Giải sgk Mĩ thuật 12 - KNTT
- Lớp 12 Chân trời sáng tạo
- Soạn văn 12 (hay nhất) - CTST
- Soạn văn 12 (ngắn nhất) - CTST
- Giải sgk Toán 12 - CTST
- Giải sgk Vật Lí 12 - CTST
- Giải sgk Hóa học 12 - CTST
- Giải sgk Sinh học 12 - CTST
- Giải sgk Lịch Sử 12 - CTST
- Giải sgk Địa Lí 12 - CTST
- Giải sgk Giáo dục KTPL 12 - CTST
- Giải sgk Tin học 12 - CTST
- Giải sgk Hoạt động trải nghiệm 12 - CTST
- Giải sgk Âm nhạc 12 - CTST
- Lớp 12 Cánh diều
- Soạn văn 12 Cánh diều (hay nhất)
- Soạn văn 12 Cánh diều (ngắn nhất)
- Giải sgk Toán 12 Cánh diều
- Giải sgk Vật Lí 12 - Cánh diều
- Giải sgk Hóa học 12 - Cánh diều
- Giải sgk Sinh học 12 - Cánh diều
- Giải sgk Lịch Sử 12 - Cánh diều
- Giải sgk Địa Lí 12 - Cánh diều
- Giải sgk Giáo dục KTPL 12 - Cánh diều
- Giải sgk Tin học 12 - Cánh diều
- Giải sgk Công nghệ 12 - Cánh diều
- Giải sgk Hoạt động trải nghiệm 12 - Cánh diều
- Giải sgk Giáo dục quốc phòng 12 - Cánh diều
- Giải sgk Âm nhạc 12 - Cánh diều


Giải bài tập SGK & SBT
Tài liệu giáo viên
Sách
Khóa học
Thi online
Hỏi đáp

