Top 28 Đề thi Toán 11 Học kì 2 chọn lọc, có đáp án
Phần dưới là Top 28 Đề thi Toán 11 Học kì 2 gồm các đề kiểm tra 15 phút, đề thi giữa kì, đề thi học kì 2 chọn lọc, có đáp án. Hi vọng bộ đề thi này sẽ giúp bạn ôn luyện & đạt điểm cao trong các bài thi Toán lớp 11.
Bộ Đề thi Toán 11 Học kì 2
Top 8 Đề kiểm tra Toán 11 Chương 4 Đại Số có đáp án
Top 4 Đề kiểm tra 15 phút Toán 11 Chương 4 Đại Số có đáp án
- Đề kiểm tra 15 phút Đại số 11 Chương 4 có đáp án (Đề 1)
- Đề kiểm tra 15 phút Đại số 11 Chương 4 có đáp án (Đề 2)
- Đề kiểm tra 15 phút Đại số 11 Chương 4 có đáp án (Đề 3)
- Đề kiểm tra 15 phút Đại số 11 Chương 4 có đáp án (Đề 4)
Top 4 Đề kiểm tra 1 tiết Toán 11 Chương 4 Đại Số có đáp án
- Đề kiểm tra 45 phút Đại số 11 Chương 4 có đáp án (Đề 1)
- Đề kiểm tra 45 phút Đại số 11 Chương 4 có đáp án (Đề 2)
- Đề kiểm tra 45 phút Đại số 11 Chương 4 có đáp án (Đề 3)
- Đề kiểm tra 45 phút Đại số 11 Chương 4 có đáp án (Đề 4)
Top 8 Đề kiểm tra Toán 11 Chương 5 Đại số có đáp án
Top 4 Đề kiểm tra 15 phút Toán 11 Chương 5 Đại số có đáp án
- Đề kiểm tra 15 phút Đại số 11 Chương 5 có đáp án (Đề 1)
- Đề kiểm tra 15 phút Đại số 11 Chương 5 có đáp án (Đề 2)
- Đề kiểm tra 15 phút Đại số 11 Chương 5 có đáp án (Đề 3)
- Đề kiểm tra 15 phút Đại số 11 Chương 5 có đáp án (Đề 4)
Top 4 Đề kiểm tra 1 tiết Toán 11 Chương 5 Đại số có đáp án
- Đề kiểm tra 45 phút Đại số 11 Chương 5 có đáp án (Đề 1)
- Đề kiểm tra 45 phút Đại số 11 Chương 5 có đáp án (Đề 2)
- Đề kiểm tra 45 phút Đại số 11 Chương 5 có đáp án (Đề 3)
- Đề kiểm tra 45 phút Đại số 11 Chương 5 có đáp án (Đề 4)
Top 8 Đề kiểm tra Toán 11 Chương 3 Hình học có đáp án
Top 4 Đề kiểm tra 15 phút Toán 11 Chương 3 Hình học có đáp án
- Đề kiểm tra 15 phút Hình học 11 Chương 3 có đáp án (Đề 1)
- Đề kiểm tra 15 phút Hình học 11 Chương 3 có đáp án (Đề 2)
- Đề kiểm tra 15 phút Hình học 11 Chương 3 có đáp án (Đề 3)
- Đề kiểm tra 15 phút Hình học 11 Chương 3 có đáp án (Đề 4)
Top 4 Đề kiểm tra 1 tiết Toán 11 Chương 3 Hình học có đáp án
- Đề kiểm tra 45 phút Hình học 11 Chương 2 có đáp án (Đề 1)
- Đề kiểm tra 45 phút Hình học 11 Chương 3 có đáp án (Đề 1)
- Đề kiểm tra 45 phút Hình học 11 Chương 3 có đáp án (Đề 2)
- Đề kiểm tra 45 phút Hình học 11 Chương 3 có đáp án (Đề 3)
Top 4 Đề thi Toán 11 Học kì 2 có đáp án
- Đề thi Học kì 2 Toán lớp 11 cực hay, có đáp án (Đề 1)
- Đề thi Học kì 2 Toán lớp 11 cực hay, có đáp án (Đề 2)
- Đề thi Học kì 2 Toán lớp 11 cực hay, có đáp án (Đề 3)
- Đề thi Học kì 2 Toán lớp 11 cực hay, có đáp án (Đề 4)
Đề kiểm tra 15 phút Đại số 11 Chương 4
Thời gian làm bài: 15 phút
Câu 1: Tính
Câu 2: Tìm giới hạn
Câu 3: Tìm giới hạn
Câu 4: Tìm giới hạn
Câu 5: Tìm giới hạn
Câu 6: Giá trị đúng của
Câu 7: Tìm giới hạn
Câu 8: Tìm giới hạn
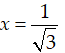
Câu 9: Chọn kết quả đúng trong các kết quả sau của :
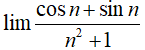
Câu 10: Tìm giới hạn
Câu 11: Chọn kết quả đúng của
Câu 12:
bằng:
Câu 13: Tìm
Câu 14: Tìm m để hàm số sau có giới hạn khi x → 1:
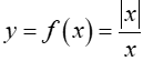
Câu 15: Cho hàm số:
- Tìm mệnh đề đúng trong các mệnh đề sau:
A. Với a = -1 thì hàm số đã cho liên tục tại x=1.
B. Với a = 1 thì hàm số đã cho liên tục trên R.
C. Với a = -1 thì hàm số đã cho liên tục trên R.
D. Với a = 1 thì hàm số đã cho gián đoạn tại x= 1.
Đáp án & Hướng dẫn giải
Câu 1:
- Hàm số y = f(x) xác định trên R\{1}. Giả sử (xn) là dãy số bất kì xn ≠ 1 và xn → 1.
Câu 2:
- Ta có:
Chọn C.
Câu 3:
- Ta có:
Chọn C.
Câu 4:
- Ta có:
Chọn C.
Câu 5:
- Ta có:
- Mà:
Chọn C.
Câu 6:
- Ta có:
Chọn B.
Câu 7:
- Ta có:
Chọn C.
Câu 8:
- Ta có:
Chọn B.
Câu 9:
- Ta có:
Chọn A.
Câu 10:
- Ta có:
Chọn C.
Câu 11:
- Ta có:
Chọn C.
Câu 12:
- Ta có:
Chọn C.
Câu 13:
- Ta có:
- Vậy không tồn tại giới hạn trên.
Chọn A.
Câu 14:
- Ta có:
- Hàm số có giới hạn khi x → 1 khi và chỉ khi:
Chọn D.
Câu 15:
- Hàm số xác định với mọi x ∈ R.
- Hàm số đã cho liên tục với mọi x ≠ 1.
- Ta có:
- Để hàm số liên tục tại x= 1 khi và chỉ khi:
→ Vậy với a = 1 thì hàm số đã cho liên tục tại x = 1. Do đó, hàm số liên tục trên R.
Chọn B.
Đề kiểm tra 45 phút Đại số 11 Chương 4
Thời gian làm bài: 45 phút
Phần I: Trắc nghiệm
Câu 1: Trong các mệnh đề sau, mệnh đề nào là mệnh đề đúng?
Câu 2: Cho dãy số (un) với
Khi đó, lim un = ?
Câu 3: Giá trị của
bằng:
Câu 4: Giá trị của
bằng:
Câu 5: Giá trị của
bằng:
Câu 6: Cho dãy số un với
Chọn kết quả đúng của un là:
Câu 7: Giá trị của
bằng:
Câu 8: Giá trị đúng của lim(3n - 5n) là:
Câu 9: Giá trị của
bằng:
Câu 10: Tìm a để hàm số
có giới hạn khi x → 1.
Câu 11: Tìm giới hạn
Câu 12: Tìm giới hạn
Câu 13: Tìm giới hạn
Câu 14: Giá trị của
bằng:
Câu 15: Tính
Câu 16: Tìm giới hạn
Câu 17: Tìm giới hạn
Câu 18: Tìm giới hạn
Câu 19: Chọn kết quả đúng của
Câu 20: Tìm giới hạn
Câu 21: Cho hàm số
Khẳng định nào sau đây đúng nhất:
A. Hàm số liên tục tại x = 1.
B. Hàm số liên tục tại mọi điểm.
C. Hàm số không liên tục tại x = 1.
D. Tất cả đều sai.
Câu 22: Tìm a để các hàm số
liên tục tại x = 0.
Câu 23: Tìm khẳng định đúng trong các khẳng định sau:
A. Chỉ (I) đúng.
B. Chỉ (I) và (II).
C. Chỉ (I) và (III).
D. Chỉ (II) và (III).
Câu 24: Cho hàm số
Khẳng định nào sau đây đúng nhất.
A. Hàm số liên tục trên R.
B. Hàm số liên tục tại mọi điểm
C. TXĐ :
D. Hàm số liên tục tại mọi điểm
Câu 25: Cho hàm số
Khẳng định nào sau đây đúng nhất.
A. Hàm số liên tục trên R.
B. Hàm số liên tục tại mọi điểm.
C. Hàm số không liên tục trên (2:+∞).
D. Hàm số gián đoạn tại điểm x = 2.
Phần II: Tự luận
Câu 1: Tính giới hạn:
Câu 2: Tìm m để các hàm số
liên tục trên R.
Câu 3: Cho phương trình
thỏa mãn 2a + 6b + 19c = 0. Chứng minh phương trình có nghiệm trong
Đáp án & Hướng dẫn giải
Phần I: Trắc nghiệm
Câu 1:
- Dựa vào một số giới hạn đặc biệt ta có:
⇒ Mệnh đề C là đúng.
Chọn C.
Câu 2:
- Ta có:
Chọn C
Câu 3:
- Ta có:
Chọn C
Câu 4:
- Ta có:
Chọn C.
Câu 5:
- Ta có:
Chọn D.
Câu 6:
- Ta có:
Chọn B
Câu 7:
- Ta có:
Chọn C.
Câu 8:
- Ta có:
Chọn A.
Câu 9:
- Ta có:
Chọn B.
Câu 10:
- Ta có:
- Hàm số có giới hạn khi:
Chọn D.
Câu 11:
- Ta có:
Chọn D
Câu 12:
- Ta có:
Chọn C
Câu 13:
- Ta có:
- Mà:
Chọn B.
Câu 14:
- Ta có:
Chọn B.
Câu 15:
- Ta có:
Chọn A.
Câu 16:
- Ta có:
Chọn C.
Câu 17:
- Ta có:
Chọn B.
Câu 18:
- Ta có:
Chọn C.
Câu 19:
- Ta có:
Chọn C.
Câu 20:
- Ta có:
- Do đó:
Chọn A.
Câu 21:
- Ta có:
→ Hàm số không liên tục tại x = 1.
Chọn C.
Câu 22:
- Ta có:
→ Hàm số không liên tục tại x = 0.
Chọn C.
Câu 23:
- Ta có (II) đúng vì hàm số lượng giác liên tục trên từng khoảng của tập xác định.
- Ta có (III) đúng vì
- Khi đó:
- Vậy hàm số
liên tục tại x = 1.
- (I) Sai vì với x < -1 thì hàm số đã cho không xác định nên tại các điểm x0 < -1 thì hàm số đã cho không liên tục.
Chọn D.
Câu 24:
+) TXĐ :
+) Ta có hàm số liên tục tại mọi điểm
⇒ hàm số liên tục trái tại
⇒ hàm số liên tục phải tại
+) Hàm số gián đoạn tại mọi điểm
( vì trên khoảng đó hàm số đã cho không xác định ).
Chọn B.
Câu 25:
- TXĐ : D = ℜ\{2}
+ Với : x0 < 2
hàm số liên tục với x < 2
+ Với x0 > 2 thì f(x0) = 2 - x và
nên hàm số liên tục với x > 2
+ Tại x = 2 ta có : f(2) = 0.
→ Hàm số không liên tục tại x = 2.
Chọn D.
Phần II: Tự luận
Câu 1: Tính giới hạn:
- Ta có:
- Suy ra:
-Vì:
Câu 2: Tìm m để các hàm số
liên tục trên R.
- Với x ≠ 1 ta có:
nên hàm số liên tục trên khoảng ℜ\{1}.
- Do đó hàm số liên tục trên R khi và chỉ khi hàm số liên tục tại x = 1
- Ta có: f(1) = 3m - 2
→ Nên hàm số liên tục tại x = 1.
Vậy m = 4/3 là những giá trị cần tìm.
Câu 3: Cho phương trình
thỏa mãn 2a + 6b + 19c = 0. Chứng minh phương trình có nghiệm trong
- Xét hàm số
liên tục trên R.
- Tính:
- Suy ra f(0), f(1/3) trái dấu hoặc f(0) = f(1/3) = 0.
+) Nếu f(0) và f(1/3) trái dấu: f(0).f(1/3) < 0 thì tồn tại x0 ∈ (0;1/3)để f(x0) = 0. Khi đó, x0 là 1 nghiệm của phương trình đã cho.
+) Nếu f(0) = 0; f(1/3) = 0 thì phương trình đã cho có 2 nghiệm là x = 0; x = 1/3.
- Vậy phương trình
có nghiệm trong
Để học tốt lớp 11 các môn học sách mới:
- Giải bài tập Lớp 11 Kết nối tri thức
- Giải bài tập Lớp 11 Chân trời sáng tạo
- Giải bài tập Lớp 11 Cánh diều
Tủ sách VIETJACK shopee lớp 10-11 (cả 3 bộ sách):
Đã có app VietJack trên điện thoại, giải bài tập SGK, SBT Soạn văn, Văn mẫu, Thi online, Bài giảng....miễn phí. Tải ngay ứng dụng trên Android và iOS.
Theo dõi chúng tôi miễn phí trên mạng xã hội facebook và youtube:Nếu thấy hay, hãy động viên và chia sẻ nhé! Các bình luận không phù hợp với nội quy bình luận trang web sẽ bị cấm bình luận vĩnh viễn.
- Giáo án lớp 11 (các môn học)
- Giáo án điện tử lớp 11 (các môn học)
- Giáo án Toán 11
- Giáo án Ngữ văn 11
- Giáo án Tiếng Anh 11
- Giáo án Vật Lí 11
- Giáo án Hóa học 11
- Giáo án Sinh học 11
- Giáo án Lịch Sử 11
- Giáo án Địa Lí 11
- Giáo án KTPL 11
- Giáo án HĐTN 11
- Giáo án Tin học 11
- Giáo án Công nghệ 11
- Giáo án GDQP 11
- Đề thi lớp 11 (các môn học)
- Đề thi Ngữ Văn 11 (có đáp án)
- Chuyên đề Tiếng Việt lớp 11
- Đề cương ôn tập Văn 11
- Đề thi Toán 11 (có đáp án)
- Đề thi Toán 11 cấu trúc mới
- Đề cương ôn tập Toán 11
- Đề thi Tiếng Anh 11 (có đáp án)
- Đề thi Tiếng Anh 11 mới (có đáp án)
- Đề thi Vật Lí 11 (có đáp án)
- Đề thi Hóa học 11 (có đáp án)
- Đề thi Sinh học 11 (có đáp án)
- Đề thi Lịch Sử 11
- Đề thi Địa Lí 11 (có đáp án)
- Đề thi KTPL 11
- Đề thi Tin học 11 (có đáp án)
- Đề thi Công nghệ 11
- Đề thi GDQP 11 (có đáp án)


Giải bài tập SGK & SBT
Tài liệu giáo viên
Sách
Khóa học
Thi online
Hỏi đáp

