Giải bài 35 trang 175 SGK Giải Tích 12 nâng cao
Luyện tập (trang 174-175)
Bài 35 (trang 175 sgk Giải Tích 12 nâng cao): Tính diện tích hình phẳng giới hạn bởi
a) Đồ thị hai hàm số y=x2+1 và y=3-x
b) Các đường có Phương trình x=y3,y=1,x=8
c) Đồ thị hai hàm số y=√x,y=6-x và trục hoành
Lời giải:
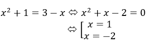
a) Hoành độ giao điểm của hai đồi thị hàm số y = x2+1 và y=3-x là nghiệm của phương trình:
Vậy diện tích cần tìm là:
b) Tung độ giao điểm của đường cong x=y3 và đường thẳng x = 8 là nghiệm của phương trình y3=8 <=> y = 2. Vậy diện tích cần tìm là:
c) Ta có: y=√x <=> y2=x (y ≥ 0);y=6-x <=> x = 6 – y
Tung độ giao điểm của hai đường thẳng x=y2;x=6-y là nghiệm của phương trình
Vậy diện tích cần tìm:
Các bài giải bài tập Giải Tích 12 nâng cao Bài Luyện tập (trang 174-175) khác:
Bài 34 (trang 174 SGK Giải Tích 12 nâng cao): Tính diện tích hình phẳng giới hạn bởi....
Bài 35 (trang 175 SGK Giải Tích 12 nâng cao): Tính diện tích hình phẳng giới hạn bởi...
Bài 36 (trang 175 SGK Giải Tích 12 nâng cao): Tính thể tích của vật thể T nằm giữa hai mặt...
Bài 37 (trang 175 SGK Giải Tích 12 nâng cao): Cho hình phẳng A giới hạn bởi các đường y = x2...
Bài 38 (trang 175 SGK Giải Tích 12 nâng cao): Cho hình phẳng A giới hạn bởi các đường y = cosx,...
Bài 39 (trang 175 SGK Giải Tích 12 nâng cao): Cho hình phẳng A giới hạn bởi các đường....
Bài 40 (trang 175 SGK Giải Tích 12 nâng cao): Cho hình phẳng B giới hạn bởi các đường...
Đã có app VietJack trên điện thoại, giải bài tập SGK, SBT Soạn văn, Văn mẫu, Thi online, Bài giảng....miễn phí. Tải ngay ứng dụng trên Android và iOS.
Theo dõi chúng tôi miễn phí trên mạng xã hội facebook và youtube:Nếu thấy hay, hãy động viên và chia sẻ nhé! Các bình luận không phù hợp với nội quy bình luận trang web sẽ bị cấm bình luận vĩnh viễn.
- Giải Tiếng Anh 12 Global Success
- Giải sgk Tiếng Anh 12 Smart World
- Giải sgk Tiếng Anh 12 Friends Global
- Lớp 12 Kết nối tri thức
- Soạn văn 12 (hay nhất) - KNTT
- Soạn văn 12 (ngắn nhất) - KNTT
- Giải sgk Toán 12 - KNTT
- Giải sgk Vật Lí 12 - KNTT
- Giải sgk Hóa học 12 - KNTT
- Giải sgk Sinh học 12 - KNTT
- Giải sgk Lịch Sử 12 - KNTT
- Giải sgk Địa Lí 12 - KNTT
- Giải sgk Giáo dục KTPL 12 - KNTT
- Giải sgk Tin học 12 - KNTT
- Giải sgk Công nghệ 12 - KNTT
- Giải sgk Hoạt động trải nghiệm 12 - KNTT
- Giải sgk Giáo dục quốc phòng 12 - KNTT
- Giải sgk Âm nhạc 12 - KNTT
- Giải sgk Mĩ thuật 12 - KNTT
- Lớp 12 Chân trời sáng tạo
- Soạn văn 12 (hay nhất) - CTST
- Soạn văn 12 (ngắn nhất) - CTST
- Giải sgk Toán 12 - CTST
- Giải sgk Vật Lí 12 - CTST
- Giải sgk Hóa học 12 - CTST
- Giải sgk Sinh học 12 - CTST
- Giải sgk Lịch Sử 12 - CTST
- Giải sgk Địa Lí 12 - CTST
- Giải sgk Giáo dục KTPL 12 - CTST
- Giải sgk Tin học 12 - CTST
- Giải sgk Hoạt động trải nghiệm 12 - CTST
- Giải sgk Âm nhạc 12 - CTST
- Lớp 12 Cánh diều
- Soạn văn 12 Cánh diều (hay nhất)
- Soạn văn 12 Cánh diều (ngắn nhất)
- Giải sgk Toán 12 Cánh diều
- Giải sgk Vật Lí 12 - Cánh diều
- Giải sgk Hóa học 12 - Cánh diều
- Giải sgk Sinh học 12 - Cánh diều
- Giải sgk Lịch Sử 12 - Cánh diều
- Giải sgk Địa Lí 12 - Cánh diều
- Giải sgk Giáo dục KTPL 12 - Cánh diều
- Giải sgk Tin học 12 - Cánh diều
- Giải sgk Công nghệ 12 - Cánh diều
- Giải sgk Hoạt động trải nghiệm 12 - Cánh diều
- Giải sgk Giáo dục quốc phòng 12 - Cánh diều
- Giải sgk Âm nhạc 12 - Cánh diều


Giải bài tập SGK & SBT
Tài liệu giáo viên
Sách
Khóa học
Thi online
Hỏi đáp

