Giải bài 48 trang 45 SGK Giải Tích 12 nâng cao
Luyện tập (trang 44-45)
Bài 48 (trang 45 sgk Giải Tích 12 nâng cao): Cho hàm số y=x4-2mx2+2m
a) Tìm các giá trị của m sao cho hàm số có 3 cực trị.
b) Khảo sát và vẽ đồ thị của hàm số với m=1/2. Viết Phương trình tiếp tuyến của đồ thị tại 2 điểm uốn.
Lời giải:
a) Ta có y'=4x3-4mx=4x(x2-m)
Để hàm số đã cho có 3 cực trị thì Phương trình y’=0 có 3 nghiệm phân biệt.
Vậy với m > 0 thì hàm số đã cho có 3 điểm cực trị.
b) Với m=1/2 ta có y=x4-x2+1
TXĐ: R
Bảng xét dấu y’’
Bảng biến thiên
Đồ thị đi qua (0; 1)
- y=x4-x2+1
Hàm số có 2 điểm uốn là
Phương trình tiếp tuyến tại điểm uốn
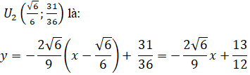
Phương trình tiếp tuyến tại điểm uốn
Vậy 2 phương trình tiếp tuyến tại điểm uốn là:
Các bài giải bài tập Giải Tích 12 nâng cao Bài Luyện tập (trang 44-45) khác:
Bài 45 (trang 44 SGK Giải Tích 12 nâng cao): a) Khảo sát sự biến thiên và vẽ đồ thị của hàm số...
Bài 46 (trang 44 SGK Giải Tích 12 nâng cao): Cho hàm số: y = (x+1)(x2 + 2mx + m + 2)...
Bài 47 (trang 45 SGK Giải Tích 12 nâng cao): Cho hàm số: y = x4 - (m+1)x2 + m...
Bài 48 (trang 45 SGK Giải Tích 12 nâng cao): Cho hàm số: y = x4 - 2mx2 + 2m...
Đã có app VietJack trên điện thoại, giải bài tập SGK, SBT Soạn văn, Văn mẫu, Thi online, Bài giảng....miễn phí. Tải ngay ứng dụng trên Android và iOS.
Theo dõi chúng tôi miễn phí trên mạng xã hội facebook và youtube:Nếu thấy hay, hãy động viên và chia sẻ nhé! Các bình luận không phù hợp với nội quy bình luận trang web sẽ bị cấm bình luận vĩnh viễn.
- Giải Tiếng Anh 12 Global Success
- Giải sgk Tiếng Anh 12 Smart World
- Giải sgk Tiếng Anh 12 Friends Global
- Lớp 12 Kết nối tri thức
- Soạn văn 12 (hay nhất) - KNTT
- Soạn văn 12 (ngắn nhất) - KNTT
- Giải sgk Toán 12 - KNTT
- Giải sgk Vật Lí 12 - KNTT
- Giải sgk Hóa học 12 - KNTT
- Giải sgk Sinh học 12 - KNTT
- Giải sgk Lịch Sử 12 - KNTT
- Giải sgk Địa Lí 12 - KNTT
- Giải sgk Giáo dục KTPL 12 - KNTT
- Giải sgk Tin học 12 - KNTT
- Giải sgk Công nghệ 12 - KNTT
- Giải sgk Hoạt động trải nghiệm 12 - KNTT
- Giải sgk Giáo dục quốc phòng 12 - KNTT
- Giải sgk Âm nhạc 12 - KNTT
- Giải sgk Mĩ thuật 12 - KNTT
- Lớp 12 Chân trời sáng tạo
- Soạn văn 12 (hay nhất) - CTST
- Soạn văn 12 (ngắn nhất) - CTST
- Giải sgk Toán 12 - CTST
- Giải sgk Vật Lí 12 - CTST
- Giải sgk Hóa học 12 - CTST
- Giải sgk Sinh học 12 - CTST
- Giải sgk Lịch Sử 12 - CTST
- Giải sgk Địa Lí 12 - CTST
- Giải sgk Giáo dục KTPL 12 - CTST
- Giải sgk Tin học 12 - CTST
- Giải sgk Hoạt động trải nghiệm 12 - CTST
- Giải sgk Âm nhạc 12 - CTST
- Lớp 12 Cánh diều
- Soạn văn 12 Cánh diều (hay nhất)
- Soạn văn 12 Cánh diều (ngắn nhất)
- Giải sgk Toán 12 Cánh diều
- Giải sgk Vật Lí 12 - Cánh diều
- Giải sgk Hóa học 12 - Cánh diều
- Giải sgk Sinh học 12 - Cánh diều
- Giải sgk Lịch Sử 12 - Cánh diều
- Giải sgk Địa Lí 12 - Cánh diều
- Giải sgk Giáo dục KTPL 12 - Cánh diều
- Giải sgk Tin học 12 - Cánh diều
- Giải sgk Công nghệ 12 - Cánh diều
- Giải sgk Hoạt động trải nghiệm 12 - Cánh diều
- Giải sgk Giáo dục quốc phòng 12 - Cánh diều
- Giải sgk Âm nhạc 12 - Cánh diều


Giải bài tập SGK & SBT
Tài liệu giáo viên
Sách
Khóa học
Thi online
Hỏi đáp

