Giải bài 8 trang 111 SGK Hình Học 12 nâng cao
Ôn tập chương 3
Bài 8 (trang 111 sgk Hình Học 12 nâng cao): Cho hai mặt phẳng (P) và (Q) lần lượt có phương trình:
(P): 2x-y+z+2=0 và (Q): x+y+2z-1=0
a) Chứng minh rằng (P) và (Q) cắt nhau. Tìm góc giữa hai mặt phẳng đó.
b) Viết phương trình đường thẳng d đi qua A(1; 2; -3), song song với cả (P) và (Q).
c) Viết phương trình mp (R) đi qua B(-1; 3; 4), vuông góc với cả (P) và (Q).
Lời giải:
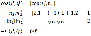
a) Mp(P) có vectơ pháp tuyến n1→=(2; -1;1)
Mp(Q) có vectơ pháp tuyến n2→=(1;1;2)
Ta có: [n1→,n2→]=(-3; -3;3) ≠ 0→ , vậy (P) và (Q) cắt nhau.
Ta có
b) Đường thẳng d đi qua A(1; 2; -3) và song song với cả (P) và (Q) là đường thẳng đi qua A(1; 2; -3) và nhận[n1→,n2→]=(-3; -3;3) là, vectơ chỉ phương, vậy phương trình của d là:
c) Mặt phẳng (R ) đi qua B(-1, 3, 4) và vuông góc với cả (P) và (Q) là mặt phẳng đi qua B(-1; 3; 4) và nhận[n1→,n2→ ]=(-3; -3;3) làm vectơ pháp tuyến.
Vậy (R ) có phương trình là: -3(x+1)-3(y-3)+3(z-4)=0
<=> x+y-z+2=0
Các bài giải bài tập Hình học 12 nâng cao Ôn tập chương 3 khác:
Câu hỏi tự kiểm tra
Bài 1 (trang 107 SGK Hình Học 12 nâng cao): Cho biết tọa độ hai điểm A, B. Làm thế nào....
Bài 2 (trang 108 SGK Hình Học 12 nâng cao): Cho tọa độ bốn đỉnh của một hình tứ diện, ...
Bài 3 (trang 108 SGK Hình Học 12 nâng cao): Bằng Phương pháp tọa độ, làm thế nào để ...
Bài 4 (trang 108 SGK Hình Học 12 nâng cao): Trong mỗi trường hợp sau, hãy nêu cách viết...
Bài 5 (trang 108 SGK Hình Học 12 nâng cao): Trong những trường hợp sau, làm thế nào để viết...
Bài 6 (trang 108 SGK Hình Học 12 nâng cao): Bằng Phương pháp tọa đố, làm thế nào để....
Bài 7 (trang 109 SGK Hình Học 12 nâng cao): Bằng Phương pháp tọa độ, làm thế nào để tính...
Bài 8 (trang 109 SGK Hình Học 12 nâng cao): Trong các trường hợp sau, làm thế nào để...
Bài tập
Bài 1 (trang 109 SGK Hình Học 12 nâng cao): Cho bốn điểm A(1, 6, 2), B(4, 0, 6); C(5, 0, 4),....
Bài 2 (trang 109 SGK Hình Học 12 nâng cao): Cho hai điểm A(1, -1, -2); B(3,1, 1) và mp(P):...
Bài 3 (trang 109 SGK Hình Học 12 nâng cao): Cho đường thẳng d và mp(P) có phương trình:...
Bài 4 (trang 110 SGK Hình Học 12 nâng cao): Cho điểm A(2, 3, 1) và hai đường thẳng:...
Bài 5 (trang 110 SGK Hình Học 12 nâng cao): Cho hai đương thẳng:...
Bài 6 (trang 110 SGK Hình Học 12 nâng cao): Cho hai đường thẳng:....
Bài 7 (trang 111 SGK Hình Học 12 nâng cao): Cho hai đường thẳng: d: ...
Bài 8 (trang 111 SGK Hình Học 12 nâng cao): Cho hai mặt phẳng (P) và (Q) lần lượt có...
Bài 9 (trang 111 SGK Hình Học 12 nâng cao): Cho mặt cầu (S) có phương trình:...
Bài 10 (trang 111 SGK Hình Học 12 nâng cao): Cho hình lập Phương ABC.A’B’C’D’ có cạnh bằng 1...
Câu hỏi trắc nghiệm
Bài 1 (trang 112 SGK Hình Học 12 nâng cao): Cho ba điểm M(2; 0; 0), N(0; -3; 0), P(0; 0; 4).....
Bài 2 (trang 112 SGK Hình Học 12 nâng cao): Cho ba điểm A(1, 2, 0). B(1, 0, -1); C(0; -1; 2)...
Bài 3 (trang 112 SGK Hình Học 12 nâng cao): Cho tam giác ABC có A = (1; 0; 1); B = (0; 2; 3);...
Bài 4 (trang 112 SGK Hình Học 12 nâng cao): Ba đỉnh của một hình bình hành có tọa độ là...
Bài 5 (trang 112 SGK Hình Học 12 nâng cao): Cho A(1; 0; 0); B(0; 1; 0); C(-4; -2; 0) và...
Bài 6 (trang 112 SGK Hình Học 12 nâng cao): Cho A(-1; -2; 4); B(-4; -2; 0), C(3; -2; 1) và....
Bài 7 (trang 112 SGK Hình Học 12 nâng cao): Cho bốn điểm A(1; 1; 1); B(1; 2; 1); C(1; 1; 2) và...
Bài 8 (trang 113 SGK Hình Học 12 nâng cao): Bán kính mặt cầu tâm I(3; 3; -4) tiếp xúc với trục...
Bài 9 (trang 113 SGK Hình Học 12 nâng cao): Mặt cầu tâm I(2; 1; -1) tiếp xúc với mặt phẳng tọa độ...
Bài 10 (trang 113 SGK Hình Học 12 nâng cao): Cho ba điểm A(1; 1; 3); B(-1; 3; 2) và...
Bài 11 (trang 113 SGK Hình Học 12 nâng cao): Cho ba điểm A(1, 0, 0); B(0; 2; 0) và C(0; 0; 3).....
Bài 13 (trang 114 SGK Hình Học 12 nâng cao): Cho A(a, 0, 0); B(0; b; 0), C(0; 0; c), a, b, c là...
Bài 14 (trang 114 SGK Hình Học 12 nâng cao): Cho điểm A(-1; 2; 1) và hai mặt phẳng (P):...
Bài 15 (trang 114 SGK Hình Học 12 nâng cao): Cho điểm A(1; 2; -5). Gọi M, n, P là hình chiếu của...
Bài 16 (trang 114 SGK Hình Học 12 nâng cao): Cho mặt cầu (S): x2+y2+z2-2(x+y+z)-22=0....
Bài 17 (trang 114 SGK Hình Học 12 nâng cao): Mặt phẳng (P) cắt ba trục Ox, Oy, Oz tại A, B, C...
Bài 18 (trang 115 SGK Hình Học 12 nâng cao): Cho hình lập Phương ABCD.A’B’C’D’ có...
Bài 20 (trang 115 SGK Hình Học 12 nâng cao): Mặt phẳng (P) chứa Oz và điểm A(2, -2, 5) có ...
Bài 22 (trang 116 SGK Hình Học 12 nâng cao): Cho điểm A(1, 2, 3) và đường thẳng d:...
Bài 24 (trang 116 SGK Hình Học 12 nâng cao): Cho mặt phẳng (α):x+3y+x+1=0 và...
Bài 25 (trang 116 SGK Hình Học 12 nâng cao): Cho đường thẳng d:...
Bài 26 (trang 117 SGK Hình Học 12 nâng cao): Cho hai điểm A(2, 3, -1) và B(1, 2, 4) và....
Bài 28 (trang 118 SGK Hình Học 12 nâng cao): Gọi d là đường thẳng qua gốc tọa đô O, vuông góc với...
Bài 29 (trang 118 SGK Hình Học 12 nâng cao): Cho đường thẳng...
Bài 30 (trang 118 SGK Hình Học 12 nâng cao): Cho điểm A(1, 1, 1) và đường thẳng ...
Bài 32 (trang 119 SGK Hình Học 12 nâng cao): Cho |u→ |=2;|v→ |=1,...
Bài 33 (trang 119 SGK Hình Học 12 nâng cao): Cho |u→|=2;|v→ |=5,(u→,v→ )=π/6...
Bài 34 (trang 119 SGK Hình Học 12 nâng cao): Mặt phẳng 2x-3y+z-1=0 cắt trục tọa độ tại...
Bài 35 (trang 120 SGK Hình Học 12 nâng cao): Cho đường thẳng: d:...
Bài 36 (trang 120 SGK Hình Học 12 nâng cao): Cho hình lập Phương ABCD.A’B’C’D’ cạnh bằng 1. ....
Bài 37 (trang 121 SGK Hình Học 12 nâng cao): Cho đường thẳng d:...
Bài 38 (trang 121 SGK Hình Học 12 nâng cao): Cho mặt phẳng (P): x-2y-3z+14=0 và ...
Bài 39 (trang 121 SGK Hình Học 12 nâng cao): Cho điểm A(0; -1; 3) và đường thẳng d:...
Bài 40 (trang 121 SGK Hình Học 12 nâng cao): Cho điểm M(-1; 2; -3). Gọi M3,M3,M3 lần lượt là...
Bài 41 (trang 122 SGK Hình Học 12 nâng cao): Cho mặt cầu (S): (x-1)2+(y-3)2+(z-2)2=49....
Bài 42 (trang 122 SGK Hình Học 12 nâng cao): Cho mặt cầu (S): x2+y2+z2-2x-4y-6z=0...
Đã có app VietJack trên điện thoại, giải bài tập SGK, SBT Soạn văn, Văn mẫu, Thi online, Bài giảng....miễn phí. Tải ngay ứng dụng trên Android và iOS.
Theo dõi chúng tôi miễn phí trên mạng xã hội facebook và youtube:Nếu thấy hay, hãy động viên và chia sẻ nhé! Các bình luận không phù hợp với nội quy bình luận trang web sẽ bị cấm bình luận vĩnh viễn.
- Giải Tiếng Anh 12 Global Success
- Giải sgk Tiếng Anh 12 Smart World
- Giải sgk Tiếng Anh 12 Friends Global
- Lớp 12 Kết nối tri thức
- Soạn văn 12 (hay nhất) - KNTT
- Soạn văn 12 (ngắn nhất) - KNTT
- Giải sgk Toán 12 - KNTT
- Giải sgk Vật Lí 12 - KNTT
- Giải sgk Hóa học 12 - KNTT
- Giải sgk Sinh học 12 - KNTT
- Giải sgk Lịch Sử 12 - KNTT
- Giải sgk Địa Lí 12 - KNTT
- Giải sgk Giáo dục KTPL 12 - KNTT
- Giải sgk Tin học 12 - KNTT
- Giải sgk Công nghệ 12 - KNTT
- Giải sgk Hoạt động trải nghiệm 12 - KNTT
- Giải sgk Giáo dục quốc phòng 12 - KNTT
- Giải sgk Âm nhạc 12 - KNTT
- Giải sgk Mĩ thuật 12 - KNTT
- Lớp 12 Chân trời sáng tạo
- Soạn văn 12 (hay nhất) - CTST
- Soạn văn 12 (ngắn nhất) - CTST
- Giải sgk Toán 12 - CTST
- Giải sgk Vật Lí 12 - CTST
- Giải sgk Hóa học 12 - CTST
- Giải sgk Sinh học 12 - CTST
- Giải sgk Lịch Sử 12 - CTST
- Giải sgk Địa Lí 12 - CTST
- Giải sgk Giáo dục KTPL 12 - CTST
- Giải sgk Tin học 12 - CTST
- Giải sgk Hoạt động trải nghiệm 12 - CTST
- Giải sgk Âm nhạc 12 - CTST
- Lớp 12 Cánh diều
- Soạn văn 12 Cánh diều (hay nhất)
- Soạn văn 12 Cánh diều (ngắn nhất)
- Giải sgk Toán 12 Cánh diều
- Giải sgk Vật Lí 12 - Cánh diều
- Giải sgk Hóa học 12 - Cánh diều
- Giải sgk Sinh học 12 - Cánh diều
- Giải sgk Lịch Sử 12 - Cánh diều
- Giải sgk Địa Lí 12 - Cánh diều
- Giải sgk Giáo dục KTPL 12 - Cánh diều
- Giải sgk Tin học 12 - Cánh diều
- Giải sgk Công nghệ 12 - Cánh diều
- Giải sgk Hoạt động trải nghiệm 12 - Cánh diều
- Giải sgk Giáo dục quốc phòng 12 - Cánh diều
- Giải sgk Âm nhạc 12 - Cánh diều


Giải bài tập SGK & SBT
Tài liệu giáo viên
Sách
Khóa học
Thi online
Hỏi đáp

