Giải bài 1 trang 145 sgk Giải tích 12
Ôn tập cuối năm giải tích 12
Bài 1 (trang 145 SGK Giải tích 12): Cho hàm số f(x)=ax2-2(a+1)x+a+2 (a ≠ 0)
a) Chứng tỏ rằng phương trình f(x)=0 luôn có nghiệm thực. Tính các nghiệm đó.
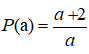
b) Tính tổng S và tích P của các nghiệm của phương trình f(x) =0. Khảo sát sự biến thiên và vẽ đồ thị của S và P theo a.
Lời giải:
Bảng biến thiên:
Đồ thị ( hình thang trên ).
* Khảo sát hàm số
+ Tập xác định: D = R\{0}.
⇒ Đường thẳng a = 0 là tiệm cận đứng của đồ thị hàm số.
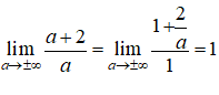
+ Lại có:
Do đó, đường thẳng P(a) =1 là tiệm cận ngang của đồ thị hàm số.
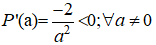
+ Đạo hàm:
Do đó hàm số này nghịch biến trên tập xác định.
Bảng biến thiên
Đồ thị hàm số
Các bài giải bài tập Giải tích 12 Ôn tập cuối năm giải tích 12 khác :
Câu hỏi
Câu 2 (trang 145 SGK Giải tích 12): Phát biểu các điều kiện ...
Câu 3 (trang 145 SGK Giải tích 12): Phát biểu các điều kiện ...
Câu 6 (trang 145 SGK Giải tích 12): Phát biểu các định lí ...
Câu 8 (trang 145 SGK Giải tích 12): Nêu định nghĩa và các ...
Câu 9 (trang 145 SGK Giải tích 12): Nêu định nghĩa và các ...
Câu 10 (trang 145 SGK Giải tích 12): Nhắc lại các định nghĩa ...
Bài tập
Bài 1 (trang 145 SGK Giải tích 12): Cho hàm số f(x) = ax2...
Bài 4 (trang 146 SGK Giải tích 12): Xét chuyển động thẳng ...
Bài 8 (trang 147 SGK Giải tích 12): Tìm giá trị lớn nhất , ...
Bài 9 (trang 147 SGK Giải tích 12): Giải các phương trình sau ....
Bài 10 (trang 147 SGK Giải tích 12): Giải các bất phương trình ...
Bài 13 (trang 148 SGK Giải tích 12): Tính diện tích hình phẳng ...
Bài 14 (trang 148 SGK Giải tích 12): Tìm thể tích vật thể ....
Bài 15 (trang 148 SGK Giải tích 12): Giải các phương trình ...
Bài 16 (trang 148 SGK Giải tích 12): Trên mặt phẳng tọa độ...
Các bài giải Giải tích 12 Chương 4 khác:
- Bài 2 : Cộng, trừ và nhân số phức
- Bài 3 : Phép chia số phức
- Bài 4 : Phương trình bậc hai với hệ số thực
- Ôn tập chương 4 giải tích 12
- Ôn tập cuối năm giải tích 12
Đã có app VietJack trên điện thoại, giải bài tập SGK, SBT Soạn văn, Văn mẫu, Thi online, Bài giảng....miễn phí. Tải ngay ứng dụng trên Android và iOS.
Theo dõi chúng tôi miễn phí trên mạng xã hội facebook và youtube:Nếu thấy hay, hãy động viên và chia sẻ nhé! Các bình luận không phù hợp với nội quy bình luận trang web sẽ bị cấm bình luận vĩnh viễn.
- Giải Tiếng Anh 12 Global Success
- Giải sgk Tiếng Anh 12 Smart World
- Giải sgk Tiếng Anh 12 Friends Global
- Lớp 12 Kết nối tri thức
- Soạn văn 12 (hay nhất) - KNTT
- Soạn văn 12 (ngắn nhất) - KNTT
- Giải sgk Toán 12 - KNTT
- Giải sgk Vật Lí 12 - KNTT
- Giải sgk Hóa học 12 - KNTT
- Giải sgk Sinh học 12 - KNTT
- Giải sgk Lịch Sử 12 - KNTT
- Giải sgk Địa Lí 12 - KNTT
- Giải sgk Giáo dục KTPL 12 - KNTT
- Giải sgk Tin học 12 - KNTT
- Giải sgk Công nghệ 12 - KNTT
- Giải sgk Hoạt động trải nghiệm 12 - KNTT
- Giải sgk Giáo dục quốc phòng 12 - KNTT
- Giải sgk Âm nhạc 12 - KNTT
- Giải sgk Mĩ thuật 12 - KNTT
- Lớp 12 Chân trời sáng tạo
- Soạn văn 12 (hay nhất) - CTST
- Soạn văn 12 (ngắn nhất) - CTST
- Giải sgk Toán 12 - CTST
- Giải sgk Vật Lí 12 - CTST
- Giải sgk Hóa học 12 - CTST
- Giải sgk Sinh học 12 - CTST
- Giải sgk Lịch Sử 12 - CTST
- Giải sgk Địa Lí 12 - CTST
- Giải sgk Giáo dục KTPL 12 - CTST
- Giải sgk Tin học 12 - CTST
- Giải sgk Hoạt động trải nghiệm 12 - CTST
- Giải sgk Âm nhạc 12 - CTST
- Lớp 12 Cánh diều
- Soạn văn 12 Cánh diều (hay nhất)
- Soạn văn 12 Cánh diều (ngắn nhất)
- Giải sgk Toán 12 Cánh diều
- Giải sgk Vật Lí 12 - Cánh diều
- Giải sgk Hóa học 12 - Cánh diều
- Giải sgk Sinh học 12 - Cánh diều
- Giải sgk Lịch Sử 12 - Cánh diều
- Giải sgk Địa Lí 12 - Cánh diều
- Giải sgk Giáo dục KTPL 12 - Cánh diều
- Giải sgk Tin học 12 - Cánh diều
- Giải sgk Công nghệ 12 - Cánh diều
- Giải sgk Hoạt động trải nghiệm 12 - Cánh diều
- Giải sgk Giáo dục quốc phòng 12 - Cánh diều
- Giải sgk Âm nhạc 12 - Cánh diều


Giải bài tập SGK & SBT
Tài liệu giáo viên
Sách
Khóa học
Thi online
Hỏi đáp

