Đáp án Đề minh họa năm 2019 môn Hóa học (có giải chi tiết)
Đáp án Đề minh họa năm 2019 môn Hóa học
Xem thử Đề thi Tốt nghiệp Toán 2025 Xem thử Đề thi Tốt nghiệp Văn 2025 Xem thử Đề thi Tốt nghiệp Anh 2025 Xem thử Đề thi Tốt nghiệp Vật Lí 2025 Xem thử Đề thi Tốt nghiệp Hóa 2025 Xem thử Đề thi Tốt nghiệp Sinh 2025 Xem thử Đề thi Tốt nghiệp Sử 2025 Xem thử Đề thi Tốt nghiệp Địa 2025 Xem thử Đề thi Tốt nghiệp KTPL 2025
Chỉ từ 300k mua trọn bộ đề thi Tốt nghiệp THPT năm 2025 các môn học theo cấu trúc mới bản word có lời giải chi tiết:
- B1: gửi phí vào tk:
1133836868- CT TNHH DAU TU VA DV GD VIETJACK - Ngân hàng MB (QR) - B2: Nhắn tin tới Zalo VietJack Official - nhấn vào đây để thông báo và nhận đề thi
Xem: Đề minh họa năm 2019 môn Hóa học
Đáp án:
| 41 - B | 42 - A | 43 - C | 44 - B | 45 - A | 46 - A |
| 47 - B | 48 - B | 49 - A | 50 - D | 51 - D | 52 - C |
| 53 - B | 54 - C | 55 - A | 56 - A | 57 - A | 58 - C |
| 59 - B | 60 - A | 61 - D | 62 - C | 63 - B | 64 - D |
| 65 - C | 66 - A | 67 - B | 68 - B | 69 - C | 70 - C |
| 71 - C | 72 - A | 73 - D | 74 - D | 75 - A | 76 - B |
| 77 - D | 78 - C | 79 - D | 80 - B |
Hướng dẫn giải chi tiết:
Câu 41:
Chọn B.
Hg là kim loại duy nhất có trạng thái lỏng ở điều kiện thường
Câu 42:
Chọn A.
Các kim loại kiềm thuộc nhóm IA, đứng đầu mỗi chu kì: Li, Na, K, Rb, Cs
Câu 43:
Chọn C.
Than hoạt tính có khả năng hấp thụ các khí độc
Câu 44:
Chọn B.
Công thức của etyl proionat là: C2H5COOC2H5
Câu 45:
Chọn A.
Kết tủa màu đỏ nâu là Fe(OH)3
3NaOH + FeCl3 → 3NaCl + Fe(OH)3
Câu 46:
Chọn A.
Các peptit không bền dễ bị thủy phân trong môi trường axit
Câu 47:
Chọn B.
Al không tan được trong dung dịch BaCl2.
Các chất có phản ứng:
A. Al + NaOH + H2O → NaAlO2 + 3/2 H2
C. 2Al + 6HCl → 2AlCl3 + 3H2
D. 2Al + Ba(OH)2 + 2H2O → Ba(AlO2)2 + 3H2
Câu 48:
Chọn B.
- CrO3 là oxit axit.
- Fe2O3 và FeO là các oxit bazo
- Cr2O3 là oxit lưỡng tính.
Câu 49:
Chọn A.
PE được trùng hợp từ CH2 = CH2
nCH2 = CH2 → (-CH2 – CH2-)n
Câu 50:
Chọn D.
Phản ứng nhiệt nhôm được dùng để điều chế các kim loại trung bình và yếu (đứng sau Al trong dãy điện hóa)
Fe đứng sau Al nên có thế điều chế bằng phương pháp này.
Ví dụ:
Câu 51:
Chọn D.
Gucozo là monosaccarit
Saccarozo là đisaccarit
Xenlulozo và tinh bột là polisaccarit
Câu 52:
Chọn C.
Công thức của canxi cacbonat là: CaCO3
Câu 53:
Chọn B.
nCuSO4 = 0,1. 1 = 0,1 mol
⇒ Fe dư, CuSO4 hết
(Có thể suy luận luôn: Sau phản ứng thu được hỗn hợp kim loại đó là Cu và có Fe dư)
Fe + CuSO4 → FeSO4 + Cu
Theo pt: nFe pư = nCu = nCuSO4 = 0,1 mol
mhh KL = mCu + mFe dư = 0,1. 64 + ( 6 – 56.0,1) = 6,8g
Câu 54:
Chọn C.
nAlCl3 = 0,2. 1 = 0,2 mol
PTHH:
AlCl3 + 3NaOH → Al(OH)3 + 3NaCl
Al(OH)3 + NaOH → Na[Al(OH)4]
nOH- max = 4.nAlCl3 - nAl(OH)3 = 4.0,2 – 0,05 = 0,75 mol
Câu 55:
Chọn A.
Có 3 chất phản ứng với HCl là: metylamin, alanin, natri axetat
CH3NH2 + HCl → CH3NH3Cl
CH3CH(NH2)COOH + HCl → CH3CH(NH3Cl)COOH
CH3COONa + HCl → CH3COOH + NaCl
Câu 56:
Chọn A.
(C6H10O5)n + nH2O → 2nC2H5OH + 2nCO2
nGlucozo = ½ . nCO2 = ½ . 0,2 = 0,1 mol
H = 50%
Câu 57:
Chọn A.
CTTQ amin no, đơn chức, mạch hở: CnH2n+3N
namin = 2.nN2 = 2. 0,05 = 0,1 mol
nC = nCO2 = 0,2 mol
⇒ số nguyên tử C là: n = 0,2 : 0,1 = 2
⇒ CT: C2H7N
Câu 58:
Chọn C.
Đó là bộ dụng cụ chiết dùng để tách 2 chất lỏng không tan vào nhau.
Câu 59:
Chọn B.
H+ + OH- → H2O là phương trình ion rút gọn của phản ứng: Ba(OH)2 + 2HCl → BaCl2 + H2O
Câu 60:
Chọn A.
(C6H10O5)n + H2O → nC6H12O6 (glucozo) (X)
C6H12O6 (glucozo) + H2 → C6H14O6 (sobitol) (Y)
Câu 61:
Chọn D.
Các thí nghiệm chỉ xảy ra ăn mòn hóa học là: (a)
Cu + 2FeCl3 → CuCl2 + 2FeCl2
Các thí nghiệm còn lại xảy ra ăn mòn điện hóa do tạo thành cặp điện cực và được tiếp xúc với chất điện li
Câu 62:
Chọn C.
Có 4 CT thỏa mãn:
HCOOCH=CHCH3 + H2O → HCOOH + CH3CH2CHO
HCOOCH2CH=CH2 + H2O → HCOOH + CH2 = CHCH2OH
HCOOC(CH3)=CH2 + H2O → HCOOH + CH3–CO-CH3
CH3COOCH=CH2 + H2O → CH3COOH + CH3CHO.
Câu 63:
Chọn B.
Các chất tan trong dung dịch NaOH là: CrO3 và Cr(OH)3
CrO3 + 2NaOH → Na2CrO4 + H2O
Cr(OH)3 + NaOH → NaCrO2 + 2H2O
Câu 64:
Chọn D.
Các polime tổng hợp là: poli(vinyl clorua), policaproamit, polistriren, nilon-6,6
Còn lại:
- Tinh bột là polime thiên nhiên
- Xenlulozo triaxetat là polime bán tổng hợp (nhân tạo)
Câu 65:
Chọn C.
- dd X gồm: nKHCO3 = nNa2CO3 = 0,2 mol
- dd Y gồm: nH2SO4 = nHCl = 0,1 mol ⇒ Tổng nH+ =0,1 .2 + 0,1 = 0,3 mol
- Nhỏ từ từ Y vào X ta được thứ tự phản ứng như sau:
Khi đó phản ứng (1) xảy ra hoàn toàn, phản ứng (2) chỉ phản ứng 1 phần.
⇒ nH+ = nCO32- + nCO2
⇒ nCO2 = 0,3 – 0,2 = 0,1 mol ⇒ VCO2 = 0,1 .22,4 = 2,24 l
- dd E gồm: ion HCO3- và SO42- có phản ứng tạo kết tủa với Ba(OH)2
BT nguyên tố C: nBaCO3 = nHCO3-còn lại = nKHCO3 + nNa2CO3 – nCO2 = 0,3 mol
BT nguyên tố S: nBaSO4 = nH2SO4 = 0,1 mol
⇒ mtủa = 0,3 .197 + 0,1 .233 = 82,4 g
Câu 66:
Chọn A.
BT nguyên tố O : 6.nX + 2.nO2 = 2.nCO2 + nH2O
BTKL: mX + mO2 = mCO2 + mH2O ⇒ mX = 3,38.44 + 3,14.18 – 4,77.32 = 52,6 mol
⇒ k = 5 ⇒ X cộng được 2H2
Khi mX = 78,9
X + 2H2 → Y
nY = nX = 0,09 mol
nH2 = 0,09.2 = 0,18 mol
⇒mY = mX + mH2 = 78,9 + 0,18.2 = 79,26
Y + 3KOH → Muối + C3H5(OH)3
nKOH = 3.nY = 0,27 mol
nC3H5(OH)3 = nY = 0,09 mol
BTKL ⇒ mmuối = 79,26 + 0,27.56 - 0,09.92 = 86,1 g
Câu 67:
Chọn B.
Phát biểu sai là B
Y + Cu(OH)2 cho dd xanh lam ⇒ Y là ancol 2 chức có nhóm OH kề nhau.
⇒ Z, T là các muối đơn chức
Z + NaOH/ Ca → CH4 nên Z là CH3COONa
X là CH3COO-CH2CH(CH3)-OOC-H hoặc HCOO-CH2CH(CH3)-OOC-CH3
Y là CH2OH-CH(CH3)OH
T là HCOONa
⇒ B sai: Y mạch thẳng
Câu 68:
Chọn B.
Các phản ứng sinh ra khí là: a, b, d, e, g
(d) 2KHSO4 + 2NaHCO3 → K2SO4 + Na2SO4 + 2H2O + 2CO2
(e) 9Fe(NO3)2 + 12HCl → 5Fe(NO3)3 + 4FeCl3 + 3NO + 6H2O
(g) Fe + H2SO4 → FeSO4 + H2
Phản ứng (c) không sinh ra khí:
CO2 + Ca(OH)2dư → CaCO3 + H2O
Câu 69:
Chọn C.
(a) đúng: CO2 + 2NaAlO2 + 3H2O → Na2CO3 + 2Al(OH)3↓trắng
(b) đúng: Ba(HCO3)2 + 2KHSO4 → K2SO4 + BaSO4↓ + 2H2O + 2CO2↑
(c) đúng: dd Na2CO3 làm mềm nước cứng toàn phần do:
(d) đúng: Thạch cao nung dùng để nặn tượng, bó bột khi gãy xương.
(e) đúng: Hợp kim liti – nhôm siêu nhẹ và bền
Câu 70:
Chọn C.
CT chung: CnH2n+2-2k
nCO2 = nBr2 = 0,12 mol ⇒ Số C = số liên kết π (hay n = k )
⇒ CT: CnH2n+2-2n ⇒ CnH2
Có 28 < M < 56 ⇒ 28 < 12n + 2 < 5 ⇒ 2,1 < n < 4,5 ⇒ n = 3 hoặc n = 4
+ n = 3 ⇒ CT C3H2 : loại vì không có CT cấu tạo thỏa mãn.
+ n = 4 ⇒ CT C4H2
nX = nCO2 : 4 = 0,12/4 = 0,03 mol
mX = 0,03 . 50 = 1,5 g
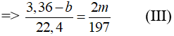
Câu 71:
Chọn C.
Đồ thị gồm 2 giai đoạn:
Giai đoạn 1: CO2 + Ba(OH)2 → BaCO3 + H2O (1)
nCO2 = nBaCO3
Và tại V = a + b lít: kết tủa đạt max
Giai đoạn 2: BaCO3 + H2O + CO2 → Ba(HCO3)2 (2)
Tại V = a + 3,36 lít⇒ kết tủa bị tan 1 phần còn 2m (g)
VCO2 (2) = a + 3,36 – (a + b) = 3,36 – b (lit)
nBaCO3 bị hòa tan ở (2) = nBaCO3 max - nBaCO3 còn lại = 4m -2m = 2m
Kết hợp (I), (II), (III) ⇒ b = 1,12 ; m = 9,85
Câu 72:
Chọn A.
Các câu đúng là: a, c, d, e, g
(b) sai vì: dầu nhớt bôi trơn có thành phần chính là các ankan.
Câu 73:
Chọn D.
Tại K có:
Tại A có: nCl2 = 0,5 a mol ; nO2 = b mol
Có khí NO thoát ra nên Y chứa H+ ⇒ Cl- bị điện phân hết.
BT e ta có: 0,2. 2 = 0,5.a.2 + 4b ⇒ a + 4b = 0,4 (1)
Mà: Y + Fe tạo ra hỗn hợp kim loại nên Y còn Cu2+ dư ; nCu2+ dư = 3a – 0,2 mol
nH+ = 4.nO2 = 4.b
⇒ 84 b -24 a = 4,8 (2)
Giải hệ (1) và (2) ⇒ a = b = 0,08
Câu 74:
Chọn D.
nCO2 = 0,6 mol; nH2O = 0,8 mol ; nNaOH = 0,47 mol
nQ = nH2O – nCO2 = 0,8 – 0,6 = 0,2 mol
⇒ Số nguyên tử C = 0,6/0,2 =3
⇒ Q gồm: C3H8O; C3H8O2; C3H8O3.
nO (Q) = nNaOH = 0,47 mol
mQ = mC + mH + mO = 0,6.12 + 0,8.2 + 0,47 .16 = 16,32 g
BT khối lượng: mRCOONa = 48,28 + 40.0,47 – 16,32 = 50,76g
MX < MY < MZ
⇒ X: C3H5COOC3H7
Y: (C3H5COO)2C3H6
Z: (C3H5COO)3C3H5
%H (Y) = 16/212= 7,5%
Câu 75:
Chọn A.
nH2 =0,015 mol
nHCl = 0,2 . 0,2 = 0,04 mol; nHNO3 = 0,2. 0,3 = 0,06 mol
Tổng nH+ = 0,04 + 0,06 = 0,1 mol
pH = 13 ⇒ [OH-] dư = 0,1 ⇒ nOH- dư = 0,1. 0,5 = 0,05 mol
⇒nOH- trong Y = nH+ + nOH-dư = 0,1 + 0,05 = 0,15 mol
Mặt khác: nOH- = 2.nH2 + 2.nO ⇒ nO = 0,15 – 2. 0,015 = 0,06 mol
⇒mX = 0,06 .16 .100/10 = 9,6 g
Câu 76:
Chọn B.
A đúng vì H2SO4 vừa là xúc tác vừa hút nước làm cân bằng chuyển dịch theo chiều thuận
B. sai vì thêm NaCl để nhận ra sản phẩm là este bị tách lớp
C đúng vì phản ứng 2 chiều nên vẫn còn chất tham gia (axit và ancol)
D. đúng vì este không thể tan trong dd NaCl bão hòa, nên chất lỏng tách thành 2 lớp.
Câu 77:
Chọn D.
Xét thí nghiệm có:
n1 < n2 ⇒ có 1 hidroxit đã tan trong NaOH dư ⇒ Loại A, C
Giả sử nX = nY = 1 mol
Xét đáp án B:
TN3: thu được 1 mol Ag (hay n3 = 1 mol); TN2: thu được 1mol Fe(OH)2 và 1 mol Al(OH)3 (hay n2 = 2 mol) ⇒ n3 < n2 ⇒ Loại B
Xét đáp án D:
TN1 thu được 1 mol Fe(OH)2 (hay n1 = 1mol)
TN2 thu được 1 mol Fe(OH)2 và 1 mol Al(OH)3 (hay n2 = 2 mol)
TN3 thu được 2 mol AgCl và 1 mol Ag ( hay n3 = 3 mol)
⇒Thỏa mãn n1 < n2 < n3 ⇒ Chọn D
Vậy X, Y là FeCl2, Al(NO3)3
Câu 78:
Chọn C.
nNaOH = 0,4 mol ⇒ nNa2CO3 = 1/2 . nNaOH = 0,2 mol
E gồm:
F gồm 2 muối có tỉ lệ 1:3 , nhh muối = nNaOH = 0,4 mol
⇒ giả sử: nR1COONa = 0,1 mol , nR2COONa = 0,3 mol
Đốt muối: Muối + O2 → CO2 + H2O + Na2CO3
BT nguyên tố O ⇒ 2.nCOO- + 2.nO2 = 2.nCO2 + 3.nNa2CO3 + nH2O
⇒ nH2O = 2. 0,4 + 2.0,45 – 2. 0,4 - 3. 0,2 = 0,3 mol
BTKL: mmuối + mO2 = mCO2 + mNa2CO3 + mH2O
⇒ mmuối = 0,4.44 + 0,2. 106 + 0,3 .18 – 0,45 .32 = 29,8g
mmuối = mR1COONa + mR2COONa = 0,1.(R1 + 67) + 0,3. (R2 + 67) = 29,8
⇒ R1 + 3.R2 = 30 ⇒ Chỉ có nghiệm R2 = 1 ; R1 = 27 thỏa mãn
BTKL: mE + mNaOH = mmuối + mglixerol + mH2O
⇒ mH2O = 23,06 + 0,4. 40 – 29,8 – 3,68= 5,58 g
⇒ nX = 0,24 mol và nY = 0,07 mol
⇒ nX + 2nZ = nR2COONa ⇒ T tạo nên tử 2X và 1Y
T là: (HCOO)2-C3H5-OOC-C2H3 : 0,03 mol
Câu 79:
Chọn D.
Z gồm nCO2 = 0,15 mol ; nCO = 0,15 mol
X gồm KL: m g và O: a mol
Y gồm KL: m g và O : (a – 0,15) mol
mX = m + 16a = 34,4 (1)
T gồm NO: 0,15 mol; nN2O : 0,05 mol
Đặt nNH4+ = b mol
⇒ nH+ = 0,15 .4 + 0,05 .10 + 10b + 2.(a - 0,15) (2)
mmuối = m + 62.[0,15 .3 + 0,05 . 8 + 8b + 2(a – 0,15)] + 80b = 117,46 (3)
Từ (1), (2), (3) ⇒ a = 0,4 mol, b = 0,01 mol; m = 28g
Câu 80:
Chọn B.
Sau phản ứng thu được 2 amin đồng đẳng kể tiếp nên Y chỉ có thể là:
CH3NH3-OOC-COO-NH3C2H5 : 0,15 mol
Các muối cùng số C nên X là: CH3COOH3N-CH2-COOCH3 : 0,1 mol
⇒ Các muối: (COOK)2 : 0,15 mol
CH3COOK : 0,1 mol
H2NCH2COOK : 0,1 mol
Muối có phân tử khối lớn nhất là: (COOK)2
Xem thử Đề thi Tốt nghiệp Toán 2025 Xem thử Đề thi Tốt nghiệp Văn 2025 Xem thử Đề thi Tốt nghiệp Anh 2025 Xem thử Đề thi Tốt nghiệp Vật Lí 2025 Xem thử Đề thi Tốt nghiệp Hóa 2025 Xem thử Đề thi Tốt nghiệp Sinh 2025 Xem thử Đề thi Tốt nghiệp Sử 2025 Xem thử Đề thi Tốt nghiệp Địa 2025 Xem thử Đề thi Tốt nghiệp KTPL 2025
Xem thêm đề thi minh họa năm 2019 các môn học có đáp án hay khác:
- Đề minh họa 2019 môn Ngữ văn có đáp án
- Đề minh họa 2019 môn Tiếng Anh có đáp án
- Đề minh họa 2019 môn Sinh học có đáp án
- Đề minh họa 2019 môn Lịch sử có đáp án
- Đề minh họa 2019 môn Địa lí có đáp án
Đã có app VietJack trên điện thoại, giải bài tập SGK, SBT Soạn văn, Văn mẫu, Thi online, Bài giảng....miễn phí. Tải ngay ứng dụng trên Android và iOS.
Theo dõi chúng tôi miễn phí trên mạng xã hội facebook và youtube:Nếu thấy hay, hãy động viên và chia sẻ nhé! Các bình luận không phù hợp với nội quy bình luận trang web sẽ bị cấm bình luận vĩnh viễn.
- Giải Tiếng Anh 12 Global Success
- Giải sgk Tiếng Anh 12 Smart World
- Giải sgk Tiếng Anh 12 Friends Global
- Lớp 12 Kết nối tri thức
- Soạn văn 12 (hay nhất) - KNTT
- Soạn văn 12 (ngắn nhất) - KNTT
- Giải sgk Toán 12 - KNTT
- Giải sgk Vật Lí 12 - KNTT
- Giải sgk Hóa học 12 - KNTT
- Giải sgk Sinh học 12 - KNTT
- Giải sgk Lịch Sử 12 - KNTT
- Giải sgk Địa Lí 12 - KNTT
- Giải sgk Giáo dục KTPL 12 - KNTT
- Giải sgk Tin học 12 - KNTT
- Giải sgk Công nghệ 12 - KNTT
- Giải sgk Hoạt động trải nghiệm 12 - KNTT
- Giải sgk Giáo dục quốc phòng 12 - KNTT
- Giải sgk Âm nhạc 12 - KNTT
- Giải sgk Mĩ thuật 12 - KNTT
- Lớp 12 Chân trời sáng tạo
- Soạn văn 12 (hay nhất) - CTST
- Soạn văn 12 (ngắn nhất) - CTST
- Giải sgk Toán 12 - CTST
- Giải sgk Vật Lí 12 - CTST
- Giải sgk Hóa học 12 - CTST
- Giải sgk Sinh học 12 - CTST
- Giải sgk Lịch Sử 12 - CTST
- Giải sgk Địa Lí 12 - CTST
- Giải sgk Giáo dục KTPL 12 - CTST
- Giải sgk Tin học 12 - CTST
- Giải sgk Hoạt động trải nghiệm 12 - CTST
- Giải sgk Âm nhạc 12 - CTST
- Lớp 12 Cánh diều
- Soạn văn 12 Cánh diều (hay nhất)
- Soạn văn 12 Cánh diều (ngắn nhất)
- Giải sgk Toán 12 Cánh diều
- Giải sgk Vật Lí 12 - Cánh diều
- Giải sgk Hóa học 12 - Cánh diều
- Giải sgk Sinh học 12 - Cánh diều
- Giải sgk Lịch Sử 12 - Cánh diều
- Giải sgk Địa Lí 12 - Cánh diều
- Giải sgk Giáo dục KTPL 12 - Cánh diều
- Giải sgk Tin học 12 - Cánh diều
- Giải sgk Công nghệ 12 - Cánh diều
- Giải sgk Hoạt động trải nghiệm 12 - Cánh diều
- Giải sgk Giáo dục quốc phòng 12 - Cánh diều
- Giải sgk Âm nhạc 12 - Cánh diều


Giải bài tập SGK & SBT
Tài liệu giáo viên
Sách
Khóa học
Thi online
Hỏi đáp

