Đáp án Đề minh họa năm 2019 môn Vật Lí (có giải chi tiết)
Đáp án Đề minh họa năm 2019 môn Vật lí
Xem thử Đề thi Tốt nghiệp Toán 2025 Xem thử Đề thi Tốt nghiệp Văn 2025 Xem thử Đề thi Tốt nghiệp Anh 2025 Xem thử Đề thi Tốt nghiệp Vật Lí 2025 Xem thử Đề thi Tốt nghiệp Hóa 2025 Xem thử Đề thi Tốt nghiệp Sinh 2025 Xem thử Đề thi Tốt nghiệp Sử 2025 Xem thử Đề thi Tốt nghiệp Địa 2025 Xem thử Đề thi Tốt nghiệp KTPL 2025
Chỉ từ 300k mua trọn bộ đề thi Tốt nghiệp THPT năm 2025 các môn học theo cấu trúc mới bản word có lời giải chi tiết:
- B1: gửi phí vào tk:
1133836868- CT TNHH DAU TU VA DV GD VIETJACK - Ngân hàng MB (QR) - B2: Nhắn tin tới Zalo VietJack Official - nhấn vào đây để thông báo và nhận đề thi
Xem: Đề minh họa năm 2019 môn Vật lí
Đáp án:
| 1 - C | 2 - A | 3 - D | 4 - A | 5 - B | 6 - D |
| 7 - A | 8 - C | 9 - C | 10 - C | 11 - C | 12 - D |
| 13 - A | 14 - C | 15 - A | 16 - C | 17 - B | 18 - A |
| 19 - B | 20 - B | 21 - A | 22 - A | 23 - A | 24 - B |
| 25 - B | 26 - D | 27 - A | 28 - B | 29 - A | 30 - D |
| 31 - C | 32 - D | 33 - A | 34 - A | 35 - C | 36 - C |
| 37 - B | 38 - C | 39 - B | 40 - C |
Hướng dẫn giải chi tiết:
Câu 1:
Chọn C.
Dao động điều hòa: là dao động được mô tả theo định luật hình sin (hoặc cosin) theo thời gian, phương trình có dạng: x = Acos(ωt + φ)
Trong đó:
x: tọa độ (hay vị trí ), li độ (độ lệch của vật so với vị trí cân bằng)
A: Biên độ dao động, là li độ cực đại, luôn là hằng số dương
ω: Tần số góc (đo bằng rad/s), luôn là hằng số dương
(ωt + φ): Pha dao động (đo bằng rad), cho phép ta xác định trạng thái dao động của vật tại thời điểm t.
φ: Pha ban đầu, là hằng số dương hoặc âm phụ thuộc vào cách ta chọn mốc thời gian (t = t0)
Câu 2:
Chọn A.
+ Hợp lực F tác dụng lên vật dao động điều hòa, còn gọi là lực hồi phục hay lực kéo về là lực gây ra dao động điều hòa, có biểu thức:
F = ma = -mω2x = m.ω2Acos(ωt + φ + π)
+ Lực này cũng biến thiên điều hòa với tần số f , có chiều luôn hướng về vị trí cân bằng, trái dấu (-), tỷ lệ (ω2) và ngược pha với li độ x (như gia tốc a).
+ Với con lắc lò xo dao động điều hòa thì F = - k.x
Câu 3:
Chọn D.
Biên độ sóng tại mỗi điểm là biên độ dao động của phần tử sóng tại điểm đó → A = 2 mm.
Câu 4:
Chọn A.
Độ cao của âm là đặc trưng liên quan đến tần số của âm. Âm càng cao khi tần số càng lớn.
Câu 5:
Chọn B.
u = U0.cos(ωt + φ) (V), trong đó U0 là biên độ hay giá trị cựa đại của hiệu điện thế u
→ điện áp u = 120cos(100πt + π/12) (V) có giá trị cực đại là: U0 = 120V
Câu 6:
Chọn D.
Nếu máy biến áp lí tưởng (bỏ qua điện trở của các cuộn dây r1 = r2 = 0 và bỏ qua mọi hao phí) thì điện áp hiệu dụng ở hai đầu mỗi cuộn dây tỉ lệ với số vòng dây:
Câu 7:
Chọn A.
Trong sơ đồ khối máy phát thanh vô tuyến đơn giản không có bộ phận “mạch tách sóng”, bộ phận này chỉ có ở máy thu.
Câu 8:
Chọn C.
Quang phổ liên tục là dải màu biến thiên liên tục (không nhất thiết phải đủ từ đỏ đến tím!).
+ Do các vật được nung nóng ở trạng thái rắn, lỏng hoặc khí có tỷ khối lớn phát ra.
+ Có cường độ và bề rộng không phụ thuộc vào cấu tạo hóa học của vật phát mà chỉ phụ thuộc vào nhiệt độ của nguồn. Nhiệt độ càng lớn cường độ sáng tăng về phía bước sóng ngắn
Câu 9:
Chọn C.
+ Tia X có bản chất là các bức xạ điện từ có bước sóng nhỏ hơn bước sóng của tia tử ngoại. (10-8 m ≥ λ ≥ 10-11 m).
+ Tia X cứng có bước sóng nhỏ, tần số và năng lượng lớn, đâm xuyên tốt. Tia X mềm thì ngược lại.
Câu 10:
Chọn C.
+ Trong hiện tượng quang phát quang, ánh sáng phát quang có bước sóng lớn hơn bước sóng của ánh sáng kích thích (λphát > λkích thích).
+ Vì ánh sáng phát quang có màu chàm, nên ánh sáng kích thích phải có bước sóng ngắn hơn màu chàm → ánh sáng kích thích thỏa mãn là màu tím.
Câu 11:
Chọn C.
Phản ứng phân hạch là hiện tượng một hạt nhân nặng sau khi hấp thụ một nơtron chậm sẽ vỡ thành hai hai hạt nhân trung bình cùng với vài nơtron.
Câu 12:
Chọn D.
+ Tia alpha (α): thực chất là hạt nhân nguyên tử
+ Tia Bêta (β): Gồm β+ và β-
- β- lệch về bản (+) của tụ điện, thực chất là chùm electron, có điện tích -e.
- β+ thực chất là electron dương hay pôzitrôn có điện tích +e.
+ Tia gammar (γ)
- Có bản chất là sóng điện từ bước sóng rất ngắn (λ < 0,01nm), là chùm phôtôn năng lượng cao.
- Không bị lệch trong điện trường, từ trường.
- Có các tính chất như tia Rơnghen.
Câu 13:
Chọn A.
Lực tương tác điện giữa hai điện tích đặt trong chân không là lực tương tác Cu-lông có biểu thức:
Như vậy lực tương tác F tỉ lệ nghịch với bình phương khoảng cách → khi khoảng cách giữa hai điện tích là 3r (tăng 3 lần) thì lực tương tác giảm 9 lần: F’ = F/9
Câu 14:
Chọn C.
Suất điện động tự cảm:
L là hệ số tự cảm (H). Dấu (-) biểu thị định luật Len-xơ
→ Suất điện động tự cảm có độ lớn tỉ lệ với tốc độ biến thiên cường độ dòng điện trong mạch.
Câu 15:
Chọn A.
Ta có:
Câu 16:
Chọn C.
Trong sóng dừng khoảng cách ngắn nhất từ một nút đến 1 bụng là:
λ/4 = 30/4 = 7,5 cm.
Câu 17:
Chọn B.
Ta có:
Trong mạch có cộng hưởng điện nên
Câu 18:
Chọn A.
Vì mạch chỉ chứa R nên công suất của đoạn mạch là:
Câu 19:
Chọn B.
q = 6√2 cos106πt(μC)
→ giá trị của q tại thời điểm t = 2,5.10-7 s là: q = 6√2 cos(106π.2,5.10-7)(μC) = 6μC
Câu 20:
Chọn B.
Bước sóng của bức xạ đơn sắc có tần số f = 3.1014 Hz là:
Vì λ > λđỏ = 0,75 μm nên bức xạ ở đây là bức xạ hồng ngoại.
Câu 21:
Chọn A.
Công thoát kim loại kẽm: A = 3,55 eV = 3,55.1,6.10-19 = 5,68.10-19 J
→ bước sóng giới hạn quang điện của kẽm là:
Câu 22:
Chọn A.
Năng lượng của phôtôn là: ε = E2 – E1 = -3,4 – (-13,6) = 10,2 eV
Câu 23:
Chọn A.
Năng lượng liên kết của hạt nhân:
∆E = ∆m.c2 = 0,21u.c2 = 0,21.931,5 = 195,615 MeV
Câu 24:
Chọn B.
Phương pháp: Hiện tưởng cộng hưởng trong dao động cơ
+ Con lắc M khi dao động sẽ tạo ra ngoại lực biến thiên điều hòa lên các con lắc còn lại.
+ Ngoại lực này có tần số bằng tần số dao động của con lắc M:
Trong đó lM là chiều dài của con lắc M
+ Ngoại lực này sẽ gây ra dao động cưỡng bức lên các con lắc còn lại, làm cho các con lắc dao động với tần số bằng tần số ngoại lực fngl.
Do vậy, trong 4 con lắc còn lại, con lắc nào có tần số dao động riêng gần bằng nhất với tần số ngoại lực fngl thì sẽ dao động mạnh nhất (có biên độ lớn nhất).
Ta thấy con lắc (1) có chiều dài gần bằng với con lắc M nhất nên có tần số gần bằng fngl nhất → con lắc (1) dao động mạnh nhất.
Câu 25:
Chọn B.
Phương pháp: Định luật Ohm cho toàn mạch.
Số chỉ ampe kế chính là cường độ dòng điện mạch chính I.
Áp dụng định luật Ohm cho toàn mạch ta được:
Câu 26:
Chọn D.
Phương pháp: Sử dụng công thức thấu kính:
Trong đó f là tiêu cự của thấu kính: Thấu kính hội tụ thì f > 0, phân kỳ f < 0
+ d là giá trị đại số của khoảng cách từ vật đến thấu kính: d > 0 nếu vật là vật thật, d < 0 nếu là vật ảo.
+ d’ là giá trị đại số của khoảng cách từ vật đến thấu kính: d’ > 0 nếu ảnh là ảnh thật, d’ < 0 nếu là ảnh ảo.
Ta có: thấu kính hội tụ nên f = 30 cm. Vật thật nên d > 0, ảnh ảo nên d’ < 0 và ảnh ảo nằm xa thấu kính hơn vật |d’| > d
→ Khoảng cách của vật và ảnh là: D = |d’| - d = 40 cm
→ - d’ – d = 40 → d’ = - (d + 40)
Thay vào (*)
→ d = 20cm (loại nghiệm âm)
Chọn đáp án có giá trị gần nhất: D
Câu 27:
Chọn A.
Phương pháp: Sử dụng ứng dụng số phức trong dđ điều hòa.
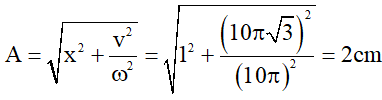
Ta bấm máy tính để tìm biên độ tổng hợp:
Đưa máy sang chế độ CMPLX và đơn vị Radian:
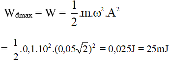
→ Biên độ dao động của vật: A = 5√2 cm = 0,05√2 cm
Động năng cực đại của vật bằng cơ năng của vật:
Câu 28:
Chọn B.
λ = 0,6μm, a = 0,3mm; D = 2m
→ khoảng vân:
Khoảng giữa vân sáng bậc 3 và vân sáng bậc 5 ở hai phía so với vân trung tâm:
d = 3i – (-5i) = 8.i = 8.4 = 32mm
Câu 29:
Chọn A.
Công suất chiếu sáng vào tấm pin là: P = n. ε
Trong đó n là số phôtôn đập vào tấm pin trong 1s, ε là năng lượng của 1 phôtôn có tần số f: ε = h.f
Câu 30:
Chọn D.
Hạt nhân có (7 – 3) = 4 nơtron
→ Số hạt nơ tron có trong 1,5 mol là: Nn = 4.1,5.6,02.1023 = 3,612.1024 hạt.
Câu 31:
Chọn C.
Điều kiện có cực tiểu tại điểm C trên đoạn AM là: d2C – d1C = (k + 0,5).λ (k Є Z)
Vì C thuộc đoạn AM nên C phải thỏa mãn điều kiện hình học:
MB – MA ≤ (k + 0,5).λ ≤ AB – AA = AB - 0
↔ 0 ≤ (k + 0,5).λ ≤ AB ↔ 0 ≤ (k + 0,5).4 ≤ 19
↔ - 0,5 ≤ k ≤ 4,25
Vì k nguyên nên k = 0; 1; 2; 3; 4. Vậy có 5 giá trị của k ứng với 5 điểm C cần tìm trên đoạn AM.
Câu 32:
Chọn D.
Bước sóng của sóng điện từ: λ = c/f = 3.108/(5.106) = 60m
Chu kỳ sóng: T = 1/f = 2.10 - 7s = 200ns
→ Độ lệch pha của sóng tại M và N là:
Vì sóng truyền từ M đến N nên Sóng tại M sớm pha hơn sóng tại N một góc là: 3π/2 rad.
Phương pháp: Sử dụng vòng tròn
Sử dụng vòng tròn biểu diễn điện trường biến thiên điều hòa tại M và N ứng với các thời điểm t, t1, t2. Ta nhận thấy điện trường tại N bằng 0 vào các thời điểm t1 và t2
→ t12 = t + T/4 + k.T/2 = t + 200/4 + k.200/2 = t + 50 + k.100 (ns)
(k là số nguyên, k = 0, 1, 2…)
Đáp án D: t + 250 ns là thỏa mãn.
Câu 33:
Chọn A.
Ta có: ω = 2π.f = 10π (rad/s)
Áp dụng công thức độc lập tại vị trí: x = -∆l0 = -1cm và v = 10π√3 cm/s ta tìm được biên độ dao động:
Sử dụng vòng tròn biểu diễn dao động điều hòa ta tìm được vùng mà lực đàn hồi ngược chiều với lực phục hồi (lực kéo về) là cung C(1)D và cung N(2)M.
Vì ∆l0 = 1cm = A/2 nên góc COD = 30o = góc NOM → Thời gian trong một chu kỳ mà lực đàn hồi ngược chiều với lực phục hồi (lực kéo về) là:
Câu 34:
Chọn A.
Từ đồ thị ta thấy pha dao động của 2 điểm sáng phụ thuộc thời gian theo hàm bậc nhất có dạng: α = a.t + b. Căn cứ vào các điểm xác định trên đồ thị ta tìm được:
→ phương trình dao động của mỗi điểm sáng:
Hai điểm sáng gặp nhau khi x1 = x2
→ Thời điểm đầu gặp nhau ứng với k = 0 → t = 0,15s
Câu 35:
Chọn C.
Vì M, N dao động đồng pha với nguồn O nên để trên OM, ON lần lượt có 5 điểm, 3 điểm ngược pha với O thì OM = 5λ và ON = 3λ.
Mặt khác để trên đoạn MN có 3 điểm ngược pha với nguồn O thì OH = 2,5λ
Câu 36:
Chọn C.
Ta có: ∆φ = φu(AB) – φu(MB) = (φu(AB) – φi) – (φu(MB) – φi) = φAB – φMB
Áp dụng Bất đẳng thức Cô-si ta được:
→ ∆φ đạt cực đại khi
Khi đó:
Câu 37:
Chọn B.
Gọi U là điện áp tại cuộn sơ cấp của máy biến áp
U1 là điện áp cuộn thứ cấp ứng với trường hợp hệ số tăng áp k = k1 = 10
U2 là điện áp cuộn thứ cấp ứng với trường hợp hệ số tăng áp k = k2
Máy biến áp lý tưởng nên: U1 = 10U; U2 = k2.U
Công suất truyền đi trong 2 trường hợp không đổi và bằng P, công suất tại nơi tiêu thụ trong 2 trường hợp tương ứng là: Pt1 và Pt2.
Ta có: công suất hao phí trong hai trường hợp:
Và
và 11.∆P1 = 21.∆P2
Câu 38:
Chọn C.
Khi L = L1 thì trong mạch có cộng hưởng
Khi L = L2 thì
Vậy đồ thị biểu diễn sự phụ thuộc của ∆L vào R là đường Parabol
Từ đồ thị ta chọn điểm có tọa độ: R1 = 200Ω ứng với ∆L1 = 20mH
Câu 39:
Chọn B.
Ta giả sử λ2 > λ1
Điều kiện hai vân sáng của 2 bức xạ trùng nhau là: k1.i1 = k2.i2 (k1, k2 nguyên dương)
(Ở đây phân số b/c phải tối giản, tức là ƯCLN (b, c) = 1)
Vì λ1, λ2 có giá trị trong khoảng từ 400nm đến 750nm và λ2 > λ1 nên:
(Ở đây phân số b/c phải tối giản, tức là ƯCLN (b, c) = 1)
Trong khoảng giữa hai vị trí có vân sáng trùng nhau liên tiếp thì có số vị trí mà chỉ có 1 bức xạ cho vân sáng là: N = b – 1 + c – 1 = b + c – 2 (chú ý b > c > 0)
(Ở đây phân số b/c phải tối giản, tức là ƯCLN (b, c) = 1)
Ta xét các trường hợp:
Nếu c = 2 → 2 < N < 3,75 → N = 3 → b = 3 (thỏa mãn vì b/c tối giãn)
Nếu c = 3 → 4 < N < 6,625 → N = 5 hoặc N = 6 → b = 4 hoặc b = 5 (đều thỏa mãn vì b/c tối giãn)
Nếu c = 4 → 6 < N < 9,5 → N = 7; 8; 9 → b = 5; 6; 7
Ta thấy b = 7 hoặc 9 đều thỏa mãn vì b/c tối giãn,
b = 6 không thỏa mãn → N không thể = 8
Câu 40:
Chọn C.
Ta có phương trình phản ứng:
Phản ứng thu năng lượng nên ta có:
∆E = -1,21MeV = KX + Kp - Kα → KX + Kp = -1,21 + 4,01 = 2,8 MeV
Mặt khác:
→ KX = 0,533MeV
Xem thử Đề thi Tốt nghiệp Toán 2025 Xem thử Đề thi Tốt nghiệp Văn 2025 Xem thử Đề thi Tốt nghiệp Anh 2025 Xem thử Đề thi Tốt nghiệp Vật Lí 2025 Xem thử Đề thi Tốt nghiệp Hóa 2025 Xem thử Đề thi Tốt nghiệp Sinh 2025 Xem thử Đề thi Tốt nghiệp Sử 2025 Xem thử Đề thi Tốt nghiệp Địa 2025 Xem thử Đề thi Tốt nghiệp KTPL 2025
Xem thêm đề thi minh họa năm 2019 các môn học có đáp án hay khác:
- Đề minh họa 2019 môn Hóa học có đáp án
- Đề minh họa 2019 môn Ngữ văn có đáp án
- Đề minh họa 2019 môn Tiếng Anh có đáp án
- Đề minh họa 2019 môn Sinh học có đáp án
- Đề minh họa 2019 môn Lịch sử có đáp án
Đã có app VietJack trên điện thoại, giải bài tập SGK, SBT Soạn văn, Văn mẫu, Thi online, Bài giảng....miễn phí. Tải ngay ứng dụng trên Android và iOS.
Theo dõi chúng tôi miễn phí trên mạng xã hội facebook và youtube:Nếu thấy hay, hãy động viên và chia sẻ nhé! Các bình luận không phù hợp với nội quy bình luận trang web sẽ bị cấm bình luận vĩnh viễn.
- Giải Tiếng Anh 12 Global Success
- Giải sgk Tiếng Anh 12 Smart World
- Giải sgk Tiếng Anh 12 Friends Global
- Lớp 12 Kết nối tri thức
- Soạn văn 12 (hay nhất) - KNTT
- Soạn văn 12 (ngắn nhất) - KNTT
- Giải sgk Toán 12 - KNTT
- Giải sgk Vật Lí 12 - KNTT
- Giải sgk Hóa học 12 - KNTT
- Giải sgk Sinh học 12 - KNTT
- Giải sgk Lịch Sử 12 - KNTT
- Giải sgk Địa Lí 12 - KNTT
- Giải sgk Giáo dục KTPL 12 - KNTT
- Giải sgk Tin học 12 - KNTT
- Giải sgk Công nghệ 12 - KNTT
- Giải sgk Hoạt động trải nghiệm 12 - KNTT
- Giải sgk Giáo dục quốc phòng 12 - KNTT
- Giải sgk Âm nhạc 12 - KNTT
- Giải sgk Mĩ thuật 12 - KNTT
- Lớp 12 Chân trời sáng tạo
- Soạn văn 12 (hay nhất) - CTST
- Soạn văn 12 (ngắn nhất) - CTST
- Giải sgk Toán 12 - CTST
- Giải sgk Vật Lí 12 - CTST
- Giải sgk Hóa học 12 - CTST
- Giải sgk Sinh học 12 - CTST
- Giải sgk Lịch Sử 12 - CTST
- Giải sgk Địa Lí 12 - CTST
- Giải sgk Giáo dục KTPL 12 - CTST
- Giải sgk Tin học 12 - CTST
- Giải sgk Hoạt động trải nghiệm 12 - CTST
- Giải sgk Âm nhạc 12 - CTST
- Lớp 12 Cánh diều
- Soạn văn 12 Cánh diều (hay nhất)
- Soạn văn 12 Cánh diều (ngắn nhất)
- Giải sgk Toán 12 Cánh diều
- Giải sgk Vật Lí 12 - Cánh diều
- Giải sgk Hóa học 12 - Cánh diều
- Giải sgk Sinh học 12 - Cánh diều
- Giải sgk Lịch Sử 12 - Cánh diều
- Giải sgk Địa Lí 12 - Cánh diều
- Giải sgk Giáo dục KTPL 12 - Cánh diều
- Giải sgk Tin học 12 - Cánh diều
- Giải sgk Công nghệ 12 - Cánh diều
- Giải sgk Hoạt động trải nghiệm 12 - Cánh diều
- Giải sgk Giáo dục quốc phòng 12 - Cánh diều
- Giải sgk Âm nhạc 12 - Cánh diều


Giải bài tập SGK & SBT
Tài liệu giáo viên
Sách
Khóa học
Thi online
Hỏi đáp

