Công thức tính thế năng (hay, chi tiết)
Công thức tính thế năng (hay, chi tiết)
Bài viết Công thức tính thế năng hay, chi tiết Vật Lí lớp 10 hay nhất gồm 4 phần: Định nghĩa, Công thức, Kiến thức mở rộng và Bài tập minh họa áp dụng công thức trong bài có lời giải chi tiết giúp học sinh dễ học, dễ nhớ Công thức tính thế năng hay, chi tiết.
1. Khái niệm
- Thế năng tồn tại dưới dạng năng lượng dự trữ khi vật ở một độ cao so với mốc thế năng hay vật bị biến dạng và đều có khả năng sinh công.
- Có hai dạng thế năng:
+ Thế năng trọng trường (thế năng hấp dẫn): phụ thuộc vị trí tương đối của vật so với mặt đất.

Em bé ngồi trên cầu trượt, em bé có thế năng trọng trường
+ Thế năng đàn hồi: phụ thuộc độ biến dạng của vật so với trạng thái chưa biến dạng.

Thế năng đàn hồi dự trữ trong dây cung khi bị kéo căng
2. Công thức
- Khi một vật có khối lượng m đặt ở độ cao z so với mặt đất (trong trọng trường của Trái Đất) thì thế năng trọng trường của vật được định nghĩa bằng công thức:
Wt = mgz
Trong đó: m: khối lượng của vật (kg)
g: gia tốc trọng trường (m/s2).
z: Độ cao của vật so với gốc thế năng (m)

+ Thế năng ở ngay trên mặt đất bằng 0 (vì z = 0). Vì vậy, mặt đất được chọn là mốc (hay gốc) thế năng.
- Thế năng đàn hồi của một lò xo ở trạng thái có biến dạng Dℓ là:

Trong đó k: Độ cứng của lò xo (N/m)
Dℓ: Độ biến dạng của lò xo(m).
Wt: Thế năng đàn hồi (J).

3. Kiến thức mở rộng
- Từ công thức thế năng trọng trường, ta có thể tính:
+ Khối lượng của vật: 
+ Độ cao của vật so với gốc thế năng: 
- Liên hệ giữa biến thiên thế năng và công của trọng lực:
Khi một vật chuyển động trong trọng trường từ vị trí M đến vị trí N thì công của trọng lực của vật có giá trị bằng hiệu thế năng trọng trường tại M và tại N.
AMN= Wt1 – Wt2= ∆Wt = mgzM - mgzN
Trong đó: A12: công của trọng lực chuyển từ vị trí 1 sang vị trí 2
Wt1 – Wt2= : độ giảm thế năng
Chú ý: Nếu AMN > 0 thì ∆Wt > 0: thế năng của vật giảm
Nếu A12 < 0 thì ∆Wt < 0: thế năng của vật tăng

- Từ công thức thế năng đàn hồi, ta có thể tính:
+ Độ cứng của lò xo: 
+ Độ biến dạng của lò xo: 
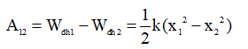
- Công của lực đàn hồi thực hiện khi lò xo biến dạng và đầu lò xo có gắn quả nặng di chuyển từ vị trí x1 đến vị trí x2bằng độ giảm thế năng đàn hồi:

Trong đó: Wđh1 là thế năng đàn hồi của lò xo tại vị trí x1 (J)
Wđh2 là thế năng đàn hồi của lò xo tại vị trí x2 (J)
A12 là công của lực đàn hồi (J)
=> Công của lực đàn hồi chỉ phụ thuộc các vị trí đầu và cuối của biến dạng. Lực đàn hồi cũng là lực thế.

Đồ thị để tính công của lực đàn hồi
4. Ví dụ minh họa
Bài 1: Hai vật có khối lượng là m và 2m đặt ở hai độ cao lần lượt là 2h và h. Tỉ số giữa thế năng trọng trường của vật thứ nhất so với vật thứ hai là?
Lời giải
Thế năng của vật 1 có giá trị là: Wt1 = m.g.2.h = 2mgh
Thế năng của vật 2 có giá trị là: Wt2 = m.g.2.h = 2mgh
=> Tỉ số giữa thế năng trọng trường của vật thứ nhất so với vật thứ hai là:

Bài 2: Một người kéo một lực kế, số chỉ của lực kế là 400N, độ cứng của lò xo lực kế là 1000N/m. Công do người thực hiện bằng bao nhiêu?
Lời giải
Lực đàn hồi cũng chính là số chỉ của lực kế: F = |k∆l| = 400N
=> Độ biến dạng của lò xo so với vị trí ban đầu:
Chọn mốc thế năng tại vị trí ban đầu (lò xo không dãn – không nén)
=> Công do người thực hiện chính bằng thế năng đàn hồi của lò xo:

Xem thêm các Công thức Vật Lí lớp 10 quan trọng hay khác:
Đã có app VietJack trên điện thoại, giải bài tập SGK, SBT Soạn văn, Văn mẫu, Thi online, Bài giảng....miễn phí. Tải ngay ứng dụng trên Android và iOS.
Theo dõi chúng tôi miễn phí trên mạng xã hội facebook và youtube:Nếu thấy hay, hãy động viên và chia sẻ nhé! Các bình luận không phù hợp với nội quy bình luận trang web sẽ bị cấm bình luận vĩnh viễn.
- Đề thi lớp 1 (các môn học)
- Đề thi lớp 2 (các môn học)
- Đề thi lớp 3 (các môn học)
- Đề thi lớp 4 (các môn học)
- Đề thi lớp 5 (các môn học)
- Đề thi lớp 6 (các môn học)
- Đề thi lớp 7 (các môn học)
- Đề thi lớp 8 (các môn học)
- Đề thi lớp 9 (các môn học)
- Đề thi lớp 10 (các môn học)
- Đề thi lớp 11 (các môn học)
- Đề thi lớp 12 (các môn học)
- Giáo án lớp 1 (các môn học)
- Giáo án lớp 2 (các môn học)
- Giáo án lớp 3 (các môn học)
- Giáo án lớp 4 (các môn học)
- Giáo án lớp 5 (các môn học)
- Giáo án lớp 6 (các môn học)
- Giáo án lớp 7 (các môn học)
- Giáo án lớp 8 (các môn học)
- Giáo án lớp 9 (các môn học)
- Giáo án lớp 10 (các môn học)
- Giáo án lớp 11 (các môn học)
- Giáo án lớp 12 (các môn học)
 
    
	                 
	                 
	                 
	                 
	                 
	                

 
 Giải bài tập SGK & SBT
		                    Giải bài tập SGK & SBT
		                 Tài liệu giáo viên
		                    Tài liệu giáo viên
		                 Sách
		                    Sách
		                 Khóa học
		                    Khóa học
		                 Thi online
		                    Thi online
		                 Hỏi đáp
		                    Hỏi đáp
		                
