Đề kiểm tra Toán 9 Kết nối tri thức Chương 2 (có lời giải)
Đề kiểm tra Toán 9 Kết nối tri thức Chương 2: Phương trình và bất phương trình bậc nhất một ẩn có đáp án chi tiết theo cấu trúc mới với bài tập đa dạng đầy đủ các mức độ sẽ giúp học sinh lớp 9 ôn luyện Toán 9.
Đề kiểm tra Toán 9 Kết nối tri thức Chương 2 (có lời giải)
Chỉ từ 250k mua trọn bộ Bài tập ôn tập + Đề kiểm tra Toán 9 Kết nối tri thức theo Chương theo cấu trúc mới bản word có lời giải chi tiết, trình bày đẹp mắt, dễ dàng chỉnh sửa:
- B1: gửi phí vào tk:
1133836868- CT TNHH DAU TU VA DV GD VIETJACK - Ngân hàng MB (QR) - B2: Nhắn tin tới Zalo VietJack Official - nhấn vào đây để thông báo và nhận đề thi
Phần 1. Trắc nghiệm nhiều phương án lựa chọn
Mỗi câu hỏi thí sinh chỉ chọn một phương án.
Câu 1. Phương trình nào sau đây là phương trình tích?
A. .
B. .
C. .
D. .
Câu 2.Bạn An sau khi thực hiện các bước giải phương trình nhận được kết quả là và Khi đó, kết luận bạn An cần viết là
A. Vậy nghiệm của phương trình đã cho là .
B. Vậy nghiệm của phương trình đã cho là .
C. Vậy nghiệm của phương trình đã cho là .
D. Vậy phương trình vô nghiệm.
Câu 3. Với hai số thực khi thì ta nói
A. cùng dương.
B. cùng âm.
C. cùng dấu.
D. trái dấu.
Câu 4.Cho Khẳng định nào sau đây là đúng?
A.
B.
C.
D.
Câu 5. Với giá trị nào của thì biểu thức là số âm?
A.
B.
C.
D.
Câu 6.Bạn Minh có 200 000 đồng. Bạn Minh mua một cây thước kẻ giá 6 000 đồng và một số quyển vở với giá 9 000 đồng. Giả sử là số quyển vở bạn Minh đã mua thì phải thỏa mãn bất phương trình nào sau đây?
A.
B.
C.
D.
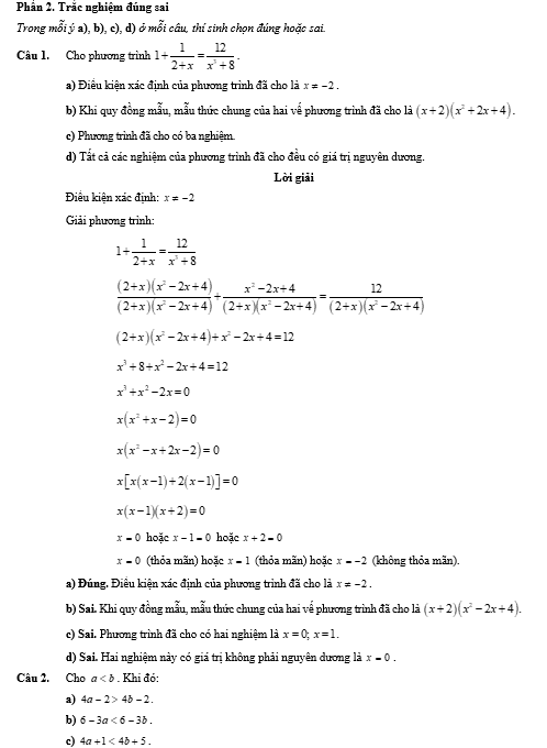
Phần 2. Trắc nghiệm đúng sai
Trong mỗi ý a), b), c), d) ở mỗi câu, thí sinh chọn đúng hoặc sai.
Câu 1. Cho phương trình .
a) Điều kiện xác định của phương trình đã cho là .
b) Khi quy đồng mẫu, mẫu thức chung của hai vế phương trình đã cho là .
c) Phương trình đã cho có ba nghiệm.
d) Tất cả các nghiệm của phương trình đã cho đều có giá trị nguyên dương.
Câu 2. Cho . Khi đó:
a)
b) .
c) .
d) .
Phần 3. Trắc nghiệm trả lời ngắn
Trong mỗi câu hỏi, thí sinh viết câu trả lời/ đáp án vào bài làm mà không cần trình bày lời giải chi tiết.
Câu 1. Một doanh nghiệp sử dụng than để sản xuất. Doanh nghiệp đó lập kế hoạch tài chính cho viẹc loại bỏ chất ô nhiễm trong khí thải theo dự kiến sau: Để loại bỏ chất ô nhiễm trong khí thải thì chi phí (triệu đồng) được tính theo công thức , với .
Với chi phí là 420 triệu đồng thì doanh nghiệp loại bỏ được bao nhiêu phầm trăm chất gây ô nhiễm trong khí thải (làm tròn kết quả đến hàng phần mười).
Câu 2. Số nguyên nhỏ nhất thỏa mãn bất phương trình .
Câu 3. Một hãng taxi có giá mở cửa là đồng và giá đồng cho mỗi ki-lô-mét tiếp theo. Hỏi với đồng thì hành khách có thể di chuyển được tối đa là bao nhiêu ki-lô-mét (làm tròn kết quả đến hàng đơn vị)?
-------------------
Đáp án
................................
................................
................................
Xem thêm đề kiểm tra Toán lớp 9 Kết nối tri thức có đáp án hay khác:
Xem thêm các tài liệu học tốt lớp 9 hay khác:
- Giải sgk Toán 9 Kết nối tri thức
- Giải SBT Toán 9 Kết nối tri thức
- Giải lớp 9 Kết nối tri thức (các môn học)
- Giải lớp 9 Chân trời sáng tạo (các môn học)
- Giải lớp 9 Cánh diều (các môn học)
Tủ sách VIETJACK luyện thi vào 10 cho 2k11 (2026):
Đã có app VietJack trên điện thoại, giải bài tập SGK, SBT Soạn văn, Văn mẫu, Thi online, Bài giảng....miễn phí. Tải ngay ứng dụng trên Android và iOS.
Theo dõi chúng tôi miễn phí trên mạng xã hội facebook và youtube:Loạt bài Giải sgk Toán 9 Tập 1 & Tập 2 của chúng tôi được biên soạn bám sát nội dung sgk Toán 9 Kết nối tri thức (NXB Giáo dục).
Nếu thấy hay, hãy động viên và chia sẻ nhé! Các bình luận không phù hợp với nội quy bình luận trang web sẽ bị cấm bình luận vĩnh viễn.
- Soạn văn 9 (hay nhất) - KNTT
- Soạn văn 9 (ngắn nhất) - KNTT
- Giải sgk Toán 9 - KNTT
- Giải Tiếng Anh 9 Global Success
- Giải sgk Tiếng Anh 9 Smart World
- Giải sgk Tiếng Anh 9 Friends plus
- Giải sgk Khoa học tự nhiên 9 - KNTT
- Giải sgk Lịch Sử 9 - KNTT
- Giải sgk Địa Lí 9 - KNTT
- Giải sgk Giáo dục công dân 9 - KNTT
- Giải sgk Tin học 9 - KNTT
- Giải sgk Công nghệ 9 - KNTT
- Giải sgk Hoạt động trải nghiệm 9 - KNTT
- Giải sgk Âm nhạc 9 - KNTT
- Giải sgk Mĩ thuật 9 - KNTT


Giải bài tập SGK & SBT
Tài liệu giáo viên
Sách
Khóa học
Thi online
Hỏi đáp

