(19 dạng) Viết phương trình đường thẳng ôn thi Tốt nghiệp (phần 2)
Bài viết Viết phương trình đường thẳng ôn thi Tốt nghiệp môn Toán với phương pháp giải chi tiết giúp học sinh ôn tập, biết cách làm bài tập Viết phương trình đường thẳng.
- Viết phương trình đường thẳng d song song với d’ đồng thời cắt cả hai đường thẳng d1 và d2
- Viết phương trình đường thẳng d là đường vuông góc chung của hai đường thẳng d1 và d2 chéo nhau
- Viết phương trình của đường thẳng d là hình chiếu của d’ trên mặt phẳng (P)
- Vị trí tương đối của hai đường thẳng
- Vị trí tương đối của đường thẳng và mặt phẳng
- Vị trí tương đối của đường thẳng và mặt cầu
- Hình chiếu của một điểm lên đường thẳng. Hình chiếu của một điểm lên mặt phẳng
- Khoảng cách từ một điểm đến đường thẳng. Khoảng cách giữa hai đường thẳng chéo nhau
- Góc giữa hai đường thẳng. Góc giữa đường thẳng và mặt phẳng
(19 dạng) Viết phương trình đường thẳng ôn thi Tốt nghiệp (phần 2)
(199k) Xem Khóa học Toán 12 KNTTXem Khóa học Toán 12 CDXem Khóa học Toán 12 CTST
Bài giảng: Cách viết phương trình đường thẳng cơ bản - Cô Nguyễn Phương Anh (Giáo viên VietJack)
Viết phương trình đường thẳng d song song với d’ đồng thời cắt cả hai đường thẳng d1 và d2
1. Phương pháp giải
Cách 1:
- Viết phương trình mặt phẳng (P) song song với d’ và chứa d1
- Viết phương trinh mặt phẳng (Q) song song với d’ và chứa d2
- Đường thẳng cần tìm d = (P) ∩ (Q)
Cách 2:
M = d ∩ d1; N = d ∩ d2
Vì d // d’ nên MN→ và ud→ cùng phương hay MN→ = k.ud→
2. Ví dụ minh họa
Ví dụ 1: Viết phương trình của đường thẳng d cắt hai đường thẳng d1, d2 và song song với d3 biết
Hướng dẫn giải:
+ Vecto chỉ phương của ba đường thẳng d1; d2 và d3 lần lượt là
u1→ ( 3; 4; 1) ; u2→ (1; 2; -1); u3→ (3; 2; -1)
- Mặt phẳng (P) chứa d1 và song song với d3
Ta có vectơ pháp tuyến của (P) là nP→ = [u1→; u3→] =( - 6; 6; -6)
Hay chọn 1 vectơ pháp tuyến của (P) là n→(1; -1; 1)
Một điểm thuộc d1 là điểm thuộc (P) là : (2; -2; 1)
Phương trình mặt phẳng (P) là:
1.(x – 2) – 1.(y + 2) + 1. (z – 1) = 0 hay x – y + z – 5 = 0
- Mặt phẳng (Q) chứa d2 và song song với d3
Ta có vectơ pháp tuyến của (Q) là nQ→ = [u2→; u3→] = ( 0 ; -2; -4)
Hay chọn 1 vectơ pháp tuyến của (Q) là n→(0; 1; 2)
Một điểm thuộc d2 là điểm thuộc (Q) là : (7; 3; 9)
Phương trình mặt phẳng (Q) là:
0.(x – 7) + 1.(y – 3) + 2. (z – 9) = 0 hay y + 2z – 21 = 0
- Đường thẳng cần tìm d = (P) ∩ (Q) nên
Điểm M (x; y; z) ∈ d khi tọa độ của M là nghiệm của hệ phương trình:
Đặt z = t, ta có:
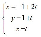
Vậy phương trình tham số của d là:
Chọn A.
Ví dụ 2: Viết phương trình đường thẳng d song song với trục Ox và cắt hai đường thẳng
Hướng dẫn giải:
+ Đường thẳng d1 và d2 có vecto chỉ phương là u1→(1; 2; 3); u2→(- 1; 3; 2)
Trục Ox có vecto chi phương uOx→ (1; 0; 0)
- Mặt phẳng (P) chứa d1 và song song với Ox
Ta có vectơ pháp tuyến của (P) là = (0; 3; -2)
Một điểm thuộc d1 là điểm thuộc (P) là : (0; 0; 1)
Phương trình mặt phẳng (P) là:
0.(x – 0) + 3.(y – 0) – 2 . (z – 1) = 0 hay 3y – 2z + 2 = 0
- Mặt phẳng (Q) chứa d2 và song song với Ox
Ta có vectơ pháp tuyến của (Q) là nQ→ = [u2→; uOx→] = (0; 2; -3)
Một điểm thuộc d2 là 1 điểm thuộc (Q) là : (2; -1; -1)
Phương trình mặt phẳng (Q) là:
0.(x – 2) + 2.(y + 1) – 3 . (z + 1) = 0 hay 2y – 3z – 1 = 0
- Đường thẳng cần tìm d = (P) ∩ (Q) nên
Điểm M (x; y; z) ∈ d khi tọa độ của M là nghiệm của hệ phương trình:
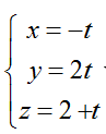
Vậy phương trình tham số của d là:
Ví dụ 3: Trong không gian với hệ tọa độ Oxyz; cho hai đường thẳng d1: . Phương trình đường thẳng song song với d:
và cắt hai đường thẳng d1; d2 là:
Hướng dẫn giải:
Gọi ∆ là đường thẳng cần tìm
Gọi giao điểm của ∆ với d1 và d2 lần lượt là A và B.
Do A thuộc d1 nên tọa độ A (- 1+ 3a; 2+ a; 1+ 2a)
Do B thuộc d2 nên tọa độ B ( 1+ b; 2b; - 1+ 3b)
Vecto AB→( b- 3a + 2; 2b- a- 2; 3b- 2a- 2) là một vecto chỉ phương của ∆.
+ Đường thẳng d có vectơ chỉ phương ud→( 0; 1; 1) .
+ Do đường thẳng d//∆ nên haii vecto AB→; ud→ cùng phương
=> có một số k thỏa mãn AB→= k.ud→
=> Tọa độ A( 2; 3; 3) và B(2; 2; 2)
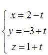
+ Đường thẳng ∆ đi qua điểm A( 2; 3; 3) và có vectơ chỉ phương AB→(0; -1; -1)
Vậy phương trình của ∆ là
Chọn D.
Ví dụ 4: Trong không gian với hệ tọa độ Oxyz; cho hai đường thẳng . Cho hai điểm M( 1;1;1 ) và N(0; -2 ; 3). Viết phương trình đường thẳng d cắt hai đường thẳng d1 và d2; song song với đường thẳng MN.
Hướng dẫn giải:
+ Gọi giao điểm của đường thẳng d với 2 đường thẳng d1 và d2 lần lượt là A và B.
+ Điểm A thuộc d1 nên A( a; 3- 2a; 1- a)
+ Điểm B thuộc d2 nên B( 1- b;2+ 2b; - 2) .
=> Vectơ AB→( 1- b- a; 2b+ 2a- 1; a- 3) là một vecto chỉ phươn của đường thẳng d
+ Đường thẳng MN nhận vecto MN→( -1; - 3; 2) làm vecto chỉ phương
+ Do đường thẳng d// MN nên 1 vecto chỉ phương của đường thẳng d là ( -1; - 3; 2)
=> Hai vecto AB→, MN→ cùng phương nên tồn tại số thực k khác 0 sao cho: AB→ = k.MN→
=> Tọa độ của A (13/5; -11/5; -8/5); B (14/5; -8/5; -2)
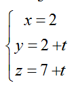
Đường thẳng d đi qua A và nhận vecto AB→(1/5; 3/5; -2/5) = 1/5(1;3-2) làm vecto chỉ phương
=> Phương trình đường thẳng d:
Chọn B
Dạng 12. Viết phương trình đường thẳng d là đường vuông góc chung của hai đường thẳng d1 và d2 chéo nhau.
1. Phương pháp giải
Cách 1:
- Viết PT mặt phẳng (P) chứa d1 và song song với d2
- Viết PT mặt phẳng (Q) chứa d1 và vuông góc với (P)
- Tìm giao điểm M = d1 ∩ (Q), pt đường thẳng vuông góc chung là đường thẳng đi qua M và vuông góc với (P)
Cách 2:
Gọi M = d ∩ d1; N = d ∩ d2
Vì d là đường vuông góc chung nên
2. Ví dụ minh họa
Ví dụ 1: Viết phương trình đường vuông góc chung của hai đường thẳng chéo nhau sau:
Hướng dẫn giải:
- Mặt phẳng (P) chứa d1 và song song với d2 có nP→ = [u1→; u2→]= (-12; -10; 8)
Chọn 1 vectơ pháp tuyến của (P) là (6; 5; -4)
- Mặt phẳng (Q) chứa d1 và vuông góc với (P) có nQ→ = [u1→; nP→] = ( -2; 24; 27)
Một điểm thuộc d1 cũng thuộc (Q) là: (2; -1; 0)
Phương trình mặt phẳng (Q) là:
– 2.(x – 2) + 24.(y + 1) + 27.(z – 0) = 0 hay – 2x + 24y + 27z + 28 = 0
- Giao điểm M = d2 ∩ (Q) có tọa độ là (t; 2t + 1; 4t – 1) thỏa mãn:
– 2.t + 24(2t + 1) + 27(4t – 1) + 28 = 0 => t = -25/154
=> M(-25/154; 52/77; -127/77)
Đường thẳng vuông góc chung là đường thẳng d đi qua M và vuông góc với (P) nên có vectơ chỉ phương là vectơ pháp tuyến của (P) : (6; 5; -4)
Vậy phương trình đường thẳng cần tìm là:
Chọn B.
Ví dụ 2: Viết phương trình đường vuông góc chung của hai đường thẳng chéo nhau sau:
Hướng dẫn giải:
Gọi d là đường vuông góc chung của hai đường thẳng chéo nhau đã cho
M = d ∩ d1 => M (t; 5-2t; 14-3t)
N = d ∩ d2 => N (9-4t’; 3+t’; -1+5t’)
=> MN→( 9- 4t’ – t; - 2+ t’+ 2t; -15 + 5t’ + 3t)
Ta có :
Chọn 1 vectơ chỉ phương của đường vuông góc chung d là (1; -1; 1)
Vậy phương trình của d là:
Chọn A.
Ví dụ 3: Trong không gian với hệ tọa độ Oxyz, cho hai đường thẳng . Phương trình đường vuông góc chung của hai đường thẳng d1; d2 là.
Hướng dẫn giải:
Gọi d là đường thẳng cần tìm
Gọi A = d ∩ d1; B = d ∩ d2
+ Do A thuộc d1 nên A( 2+a; 1- a; 2-a)
+ Do B thuộc d2 nên B( b; 3; - 2+ b)
AB→( - a+ b – 2; a + 2; a+ b - 4)
+ Đường thẳng d1 có vectơ chỉ phương u1→( 1; -1; -1)
+ Đường thẳng d2 có vectơ chỉ phương u2→(1; 0; 1)
+ Ta có:
=> A( 2; 1; 2) và B( 3; 3; 1)
+ Đường thẳng d đi qua điểm A ( 2; 1; 2) và có vectơ chỉ phương AB→( 1; 2; -1)
Vậy phương trình của d là
Chọn C.
Ví dụ 4: Trong không gian với hệ tọa độ Oxyz; cho A( -1;1;0); B( 1;3;3); C( 1; 2; 1) và D( 1; 1; 1). Đường thẳng d là đường vuông góc chung của AC và BD cắt AC và BD lần lượt tại M và N. Tìm M?
A. ( -3; 0; -1) B. ( 1; 0; 1) C. ( -1; 0; 2) D. Đáp án khác
Hướng dẫn giải:
+ Đường thẳng AC : Đi qua A( -1 ; 1 ; 0) và nhận vecto AC→( 2 ; 1 ;1) làm vecto chỉ phương nên có phương trình
+ Đường thẳng BD : đi qua B( 1 ; 3 ; 3) và nhận vecto BD→( 0 ; -2 ; -2) làm vecto chỉ phương nên có phương trình
+ M thuộc AC nên M( -1+ 2m;1+ m;m)
+ N thuộc BD nên N( 1; 3- 2n; 3- 2n)
=> MN→ ( 2+ 2m; 2-2n – m; 3- 2n- m)
+ Ta có đường thẳng MN vuông góc với AC và BD nên :
=> đường thẳng d cắt AC tại M( - 3; 0;-1)
Chọn A.
Dạng 13. Viết phương trình của đường thẳng d là hình chiếu của d’ trên mặt phẳng (P).
1. Phương pháp giải
1. Phương pháp giải
- Viết phương trình mặt phẳng (Q) chứa d’ và vuông góc với mặt phẳng (P)
- Hình chiếu cần tìm d = (P) ∩ (Q)
2. Ví dụ minh họa
Ví dụ 1: Viết phương trình đường thẳng d là hình chiếu của d’ trên (P) biết:
Hướng dẫn giải:
+ Đường thẳng d’ có vecto chỉ phương ud'→( -1; 2; -1)
Mặt phẳng ( P) có vecto pháp tuyến là nP→(1; -1; 1)
- Mặt phẳng (Q) chứa d’ và vuông góc với (P) có nQ→ = [ud'→;nP→] = ( 1; 0; -1)
Một điểm thuộc d’ cũng thuộc (Q) là: (1; 2; -1)
Phương trình mặt phẳng (Q) là:
1.(x – 1) + 0.(y - 2) – 1.(z + 1) = 0 hay x – z – 2 = 0
- Hình chiếu cần tìm d = (P) ∩ (Q)
Tọa độ của điểm M (x; y; z) thuộc d thỏa mãn:
Chọn x = t
Vậy phương trình của d là
Chọn A.
Ví dụ 2: : Viết phương trình đường thẳng là hình chiếu của d trên (Oxy) biết
Hướng dẫn giải:
Mỗi điểm M (x; y; z) thuộc d có hình chiếu trên (Oxy) là điểm M’ (x; y; 0) thuộc d’ với d’ là hình chiếu của d trên (Oxy)
Vậy d’ có phương trình tham số là:
Chọn C.
Ví dụ 3: Trong không gian với hệ tọa độ Oxyz; cho đường thẳng d: và mặt thẳng (P): 3x+ 5y – z- 2= 0 . Gọi d’ là hình chiếu của d lên (P). Phương trình tham số của d’ là
Hướng dẫn giải:
+ Gọi mặt phẳng (Q) chứa d và vuông góc với (P).
Đường thẳng d đi qua điểm B( 12; 9; 1) và có vectơ chỉ phương ud→( 4; 3; 1).
Mặt phẳng (P) có vectơ pháp tuyến nP→( 3; 5; -1)
=> Mặt phẳng (Q) qua B( 12; 9; 1) có vectơ pháp tuyến n→ = [ud→; nP→] = ( -8;7; 11)
=> Phuong trình (Q): - 8( x- 12) + 7( y- 9) + 11(z- 1) = 0
Hay – 8x + 7y + 11z + 22= 0
+ Đường thẳng d’ cần tìm là giao tuyến của (P) và (Q).
Tìm một điểm thuộc d’, bằng cách cho y= 0
Ta có hệ
=> M( 0; 0; - 2)
+ Đường thẳng d’ đi qua điểm M( 0; 0; - 2) và có VTCP ud→= [nP→; nQ→] = ( 62; -25; 61)
Vậy phương trình tham số của d’ là:
Chọn B.
Ví dụ 4: Trong không gian với hệ tọa độ Oxyz; cho hai điểm A(1; 1; -2) và B(0; 2; -2). Cho mặt phẳng ( P): x+ y- 2z- 6= 0. Viết phương trình đường thẳng d là hình chiếu của đường thẳng AB lên mặt phẳng ( P)?
Hướng dẫn giải:
+ Thay tọa độ điểm A và B vào phương trình mặt phẳng ( P) ta được :
1+ 1- 2.(-2) – 6 = 0 ( thỏa mãn).
Và 0+ 2- 2( -2) – 6= 0 ( thỏa mãn) .
=> Hai điểm A và B cùng thuộc mặt phẳng (P).
Suy ra; mặt phẳng (P) chứa đường thẳng AB.
=> Hình chiếu của đường thẳng AB lên mặt phẳng (P) là chính nó.
+ Đường thẳng AB: đi qua A( 1; 1; -2) và nhận vecto AB→( -1; 1; 0)
=> Phương trình AB:
Chọn C.
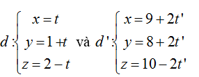
Dạng 14. Vị trí tương đối của hai đường thẳng
1. Phương pháp giải
Vị trí tương đối giữa đường thẳng d (đi qua Mo và có vectơ chỉ phương u→) và đường thẳng d’ (đi qua Mo' và có vectơ chỉ phương u'→)
- d và d’ cùng nằm trong một mặt phẳng ⇔ [u→; u'→].MoM'o→ = 0
- d và d’ chéo nhau [u→; u'→].MoM'o→ ≠ 0
- d ⊥ d' ⇔ u→.u'→ = 0
2. Ví dụ minh họa
Ví dụ 1: Xét vị trí tương đối của các cặp đường thẳng d và d’:
A. Song song B. Trùng nhau C. Cắt nhau D. Chéo nhau
Hướng dẫn giải:
Đường thẳng d có ud→(1; 2; 3) và đi qua Mo ( -1; 1; -2)
Đường thẳng d’ có u'd→(3; 2; 2) và đi qua Mo' ( 1; 5; 4)
=> MoMo'→ (2; 4; 6) và [ud→;u'd→] = (-2; 7; - 4) ≠ 0→
Ta có: [ud→;u'd→].MoM'o→ = -2. 2+ 7.4 - 4.6 = 0
Vậy d và d’ cắt nhau..
Chọn C.
Ví dụ 2: Xác định vị trí tương đối của hai đường thẳng
A. Cắt nhau B. Trùng nhau C. Chéo nhau D. Song song
Hướng dẫn giải:
Đường thẳng d có vecto chỉ phương ud→(1; 1; -1) và đi qua Mo (0; 1; 2)
Đường thẳng d’ có vecto chỉ phương u'd→(2; 2; -2)
Nên hai đường thẳng d và d’ song song.
Chọn D.
Ví dụ 3: Tìm a để hai đường thẳng sau đây song song:
A. a= 2 B. a= -3 C. a= -2 D. a= 4
Hướng dẫn giải:
Đường thẳng d và d’ có vecto chỉ phương lần lượt là ( 1; a; -1) và (2; 4; -2)
Để d // d’ thì 1/2 = a/4 = -1/-2 => a = 2
Khi đó đường thẳng d’ đi qua điểm N (1; 2; 2) và điểm N không thuộc d.
Vậy d // d’ khi và chỉ khi a = 2
Chọn A.
Ví dụ 4: Xét vị trí tương đối của d và d’ biết và d’ là giao tuyến của hai mặt phẳng: (P) : 2x – 3y – 3z – 9 = 0 và (P’): x – 2y + z + 3 = 0
A. Trùng nhau B.Song song C. Cắt nhau D. Chéo nhau
Hướng dẫn giải:
- Trước hết viết phương trình đường thẳng d’:
Lây điểm M’ (x; y; z) thuộc d’ có tọa độ thỏa mãn hệ:
Chọn z = 0 ta được 1 điểm M’ thuộc d’ là (27; 15; 0)
Vectơ chỉ phương của d’ là ud'→ = [nP→; nP'→] = ( -9; -5; -1)
- đường thẳng d có vecto chỉ phương ud→( 9; 5; 1) => [ud→;ud'→] = 0→ (1)
Lại có: M' ∈ d (2)
Từ (1) và (2) suy ra, d ≡ d’
Chọn A.
Ví dụ 5: Trong không gian với hệ trục tọa độ Oxyz; cho đường thẳng d1: . Khi đó, giá trị của m bằng bao nhiêu thì d1 cắt d2?
A. m= 0 B. m= 1 C. m= -2 D.Đáp án khác
Hướng dẫn giải:
+ Đường thẳng d1: đi qua A(1; 0; 1) và nhận vecto u1→( 3; 1; 2) làm vecto chỉ phương
+ Đường thẳng d2: đi qua B(0; -2; -m) và nhận vecto u2→(1; 2; 1) làm vecto chỉ phương
=> [u1→; u2→] = (-3; -1; 5) và AB→(-1; -2; - m- 1 )
+ Để hai đường thẳng d1 và d2 cắt nhau thì: [u1→; u2→]. AB→ = 0
⇔ - 3.( -1) – 1( - 2) + 5( - m- 1) =0
⇔ 3+ 2- 5m- 5= 0 ⇔ 5m= 0 ⇔ m= 0
Chọn A.
Dạng 15.Vị trí tương đối của đường thẳng và mặt phẳng
1. Phương pháp giải
Cho đường thẳng d đi qua Mo(xo; yo; zo) và có vectơ chỉ phương (a; b;c) , cho mặt phẳng (P) có phương trình tổng quát là: Ax + By + Cz + D = 0
Gọi là vectơ pháp tuyến của (P). Để xét vị trí tương đối giữa đường thẳng d và mặt phẳng (P) ta có cách sau:
Cách 1:
Xét tích vô hướng n→.u→ và thay tọa độ điểm Mo vào phương trình của (P) để kiểm tra, ta có các
trường hợp sau:
- n→.u→ = 0 và Mo ∉ (P) nên d song song với (P)
- n→.u→ = 0 và Mo ∈ (P) thì d nằm trong mp(P)
- n→.u→ ≠ 0 thì d cắt (P)
- n→ = k.u→ thì d vuông góc với (P)
Cách 2:
Viết phương trình tham số của đường thẳng d:
Thay x, y, z ở phương trình tham số trên vào phương trình tổng quát của mặt phẳng (P):
Ax + By + Cz + D = 0 ta được:
A(xo + at) + B.(yo+ bt) + C. (zo+ ct) + D = 0 hay mt + n = 0 ( 1)
Xét số nghiệm t của phương trình (1) ta có các trường hợp sau:
- (1) vô nghiệm ⇔ d song song với (P)
- (1) có một nghiệm t = to khi d cắt (P) tại điểm Mo( xo+ a. to; yo+ bto; zo+ to. c)
- (1) có vô số nghiệm ⇔ d nằm trong (P)
- (A; B; C) = k (a; b; c) ⇔ d vuông góc với (P)
2. Ví dụ minh họa
Ví dụ 1: Xét vị trí tương đối của đường thẳng d: với mặt phẳng (P): x + y + z + 2 = 0
A. Cắt nhau B. (P) chứa d C. Song song D. Vuông góc
Hướng dẫn giải:
Đường thẳng d đi qua Mo(1; 2; 3) và có vectơ chỉ phương u→(2; 4; 1)
Mặt phẳng (P) có vectơ pháp tuyến là n→(1; 1; 1)
Ta có n→.u→ = 2.1+ 4.1+1.1 = 7
Vậy d cắt (P).
Chọn A.
Ví dụ 2: Xét vị trí tương đối của đường thẳng d: với mặt phẳng (P): x+ 2z – 7 = 0?
A. Cắt nhau B. Song song C. (P) chứa d D.Vuông góc
Hướng dẫn giải:
+ đường thẳng d đi qua điểm A( 1; 0; -1) và có vecto chỉ phương u→(2; 1; -1)
+ Mặt phẳng (P) c vecto pháp tuyến n→(1; 0; 2)
=> u→. n→ = 2. 1+ 0.1- 1.2= 0 và điểm A không thuộc mặt phẳng (P)
=> Đường thẳng d song song với mặt phẳng (P)
Chọn B.
Ví dụ 3: Trong không gian Oxyz, cho mặt phẳng (P): x- 2y+ 3z – 4= 0 và đường thẳng d: . Với giá trị nào của m thì giao điểm của đường thẳng d và mặt phẳng (P) thuộc mặt phẳng (Oyz) .
A. m = 2 B. m= -1 C.m= 1 D.m= 3
Hướng dẫn giải:
Ta có: d ∩ (P) = A( x; y; z) .
A thuộc mặt phẳng (Oyz) nên x= 0 => A( 0; y;z)
Lại có; A thuộc ( P) nên: 0- 2y+ 3z- 4= 0
y = 3/2z - 2 nên A(0;3/2z -2 ;z)
+ Do A ∈ d nên:
Chọn A.
Ví dụ 4: Trong không gian Oxyz, cho mặt phẳng (P): 2x+ my – 3z + m- 2= 0 và đường thẳng d: . Với giá trị nào của m thì d cắt (P)
A. m ≠ 1/2. B. m= 1 C. m = 1/2 . D. m ≠ -1
Hướng dẫn giải:
Mặt phẳng (P) có vecto pháp tuyến n→( 2; m; - 3)
Đường thẳng d có vecto chỉ phương u→( 4; -1;3)
Đường thẳng d cắt (P) ⇔ n→. u→ ≠ 0
⇔ 2. 4+ m.(- 1) – 3.3 ≠ 0 ⇔ -m-1 ≠ 0 ⇔ m ≠ -1
Chọn D
Ví dụ 5: Trong không gian Oxyz, cho đường thẳng d: và mặt phẳng (P): m2x- 2my + (6- 3m) z- 5= 0. Tìm m để d// (P)
Hướng dẫn giải:
Ta có đường thẳng d đi qua M( 2; -3; 1) và có vecto chỉ phương u→(-1; 1; 1)
Mặt phẳng (P) có vecto pháp tuyến n→( m2; -2m; 6- 3m)
Để d song song với (P) thì m2x- 2my + (6- 3m) z- 5= 0.
Chọn A.
Dạng 16.Vị trí tương đối của đường thẳng và mặt cầu
1. Phương pháp giải
Xét vị trí tương đối của đường thẳng d: và mặt cầu (S) tâm I(a’; b’; c’) bán kính R. Gọi d= d( I; d) thì:
d > R thì d không cắt (S).
d=R thì d tiếp xúc (S). Để tìm tọa độ giao điểm của đường thẳng và mặt cầu ( S) ta làm như sau:
Thay x= xo+ at; y= yo + bt; z= zo + ct vào phương trình mặt cầu
=> t= .... => Tọa độ giao điểm.
d < R thì d cắt ( S) tại hai điểm A và B. Để tìm được tọa độ giao điểm ta làm như trên.
* Chú ý: đường thẳng d đí qua A và có vecto chỉ phương u→. Khi đó; khoảng cách từ điểm I đến đường thẳng d là:
2. Ví dụ minh họa
Ví dụ 1: Cho mặt cầu (S): x2+ y2 + z2- 2x + 4z+ 1= 0 và đường thẳng d: . Biết có hai giá trị thực của tham số m để d cắt (S) tại hai điểm phân biệt A; B và các mặt phẳng tiếp diện của ( S) tại A và tại B luôn vuông góc với nhau . Tích của hai giá trị đó bằng
A. 16 B. 12 C.14 D. 10
Hướng dẫn giải:
+ Mặt cầu ( S) có tâm I( 1; 0; -2) và bán kính R= 2
Đường thẳng d qua M(- 1; 0; m) và vtcp u→( 2;0; 2)
+ Đường thẳng d cắt mặt cầu tại hai điểm phân biệt A và B nên IA= IB = R= 2.
Lại có các mặt phẳng tiếp diện của (S) tại A và B vuông góc với nhau nên IA vuông IB.
> Tam giác IAB vuông cân tại I.
Suy ra d( I; d)= IA.cos45o = 2.√2/2 = √2
+ Mà IM→(-2; 0; m+ 2); [IM→; u→] =(0; 2m+ 8; 0)
Suy ra m= -2 hoặc m= - 6 và tích cần tìm là ( -2). ( - 6) = 12.
Chọn B.
Ví dụ 2: Trong không gian Oxyz, cho đường thẳng và và mặt cầu ( S): x2+ y2 + z2 – 2x+ 4z + 1= 0. Số điểm chung của Δ và ( S) là
A.0 B.1 C.2. D. 3
Hướng dẫn giải:
Đường thẳng Δ đi qua M( 0; 1; 2) và có VTCP u→(2;1;-1)
Mặt cầu (S) có tâm I (1; 0; -2) và bán kính R= 2.
Ta có MI→(1;-1;-4) và [u→;MI→] = (-5;7;-3)
Vì d(I,Δ) > R nên Δ không cắt mặt cầu (S) .
Chọn A.
Ví dụ 3: Trong không gian Oxyz, cho đường thẳng và mặt cầu ( S): (x-1)2+ ( y+3)2 + ( z- 2)2= 1. Giá trị của m để đường thẳng không cắt mặt cầu ( S) là:
Hướng dẫn giải:
Giao điểm nếu có của đường thẳng ∆ và mặt cầu (S) là nghiệm hệ phương trình :
Thay (1); ( 2) và (3) vào ( *) ta được:
⇔ ( t+ 1)2 + ( mt+ 4)2+ ( 2t+ 2)2 = 1
⇔ t2 + 2t+ 1+ m2t2 + 8mt+ 16 + 4t2 + 8t+ 4- 1= 0
⇔ (m2 + 5)t2 + 2( 5+ 4m)t+ 20 = 0 ( **)
Để ∆ không cắt mặt cầu ( S) thì (**) vô nghiệm, hay (**) có ∆’ < 0
⇔ ( 5+ 4m)2 – 20( m2 + 5) < 0
⇔ 25+ 40m+ 16m2 – 20m2 – 100 < 0
⇔ - 4m2 + 40m – 75 < 0
⇔ m > 15/2 hoặc m < 5/2
Chọn A.
Ví dụ 4: Trong không gian Oxyz, cho mặt cầu ( S): x2 +( y+1)2 + (z- 1)2 = 4 và đường thẳng d: . Giá trị của m để đường thẳng d cắt mặt cầu ( S) tại hai điểm phân biệt là:
A. m < 2 hoặc m > 5. B. m > - 2 hoặc m - 5
C. m= 2 hoặc m = - 5 D. Không có giá trị nào của m thỏa mãn.
Hướng dẫn giải:
Giao điểm nếu có của đường thẳng d và mặt cầu ( S) là nghiệm hệ phương trình :
Thay (1); (2) ; (3) vào (*) ta được:
22 + ( 1- t+ 1)2 + ( mt- 1)2 =4
⇔ 4+ 4 – 4t+ t2+ t + m2t2 - 2mt+ 1- 4= 0
⇔ ( m2+ 1)t2 – ( 3+ 2m)t+ 5=0 ( **)
Để đường thẳng d cắt mặt cầu (S) tại hai điểm phân biệt khi và chỉ khi phương trình (**) có hai nghiệm phân biệt
⇔ ∆ > 0 ⇔ ( 3+ 2m)2 – 4. 5.( m2 +1) > 0
⇔ 9+ 12m + 4m2 – 20m2 – 20 > 0
⇔ - 16m2 + 12m- 11 > 0 ( vô lí - vì – 16m2 + 12m- 11 < 0 với mọi m)
Chọn D.
Dạng 17. Hình chiếu của một điểm lên đường thẳng. Hình chiếu của một điểm lên mặt phẳng
1. Phương pháp giải
Cách xác định hình chiếu của 1 điểm A lên đường thẳng d
- Viết phương trình mặt phẳng (P) chứa điểm A và vuông góc với d
- Tìm H là giao điểm của d và (P) => H là giao điểm của A trên d
Cách xác định hình chiếu của 1 điểm A lên mặt phẳng (P)
- Viết phương trình đường thẳng đi qua A và vuông góc với (P)
- Tìm H là giao điểm của d và (P) => H là giao điểm của A trên (P)
2. Ví dụ minh họa
Ví dụ 1: Tìm hình chiếu vuông góc của A(1; 2; 1) trên đường thẳng d:
Hướng dẫn giải:
+ Đường thẳng d có vecto chi phương u→(1;2; -2).
+ Gọi mặt phẳng (P) chứa điểm A và vuông góc với d nhận vectơ chỉ phương của d làm vectơ pháp tuyến nên ta có phương trình của (P) là:
1(x – 1) + 2. (y – 2) – 2.(z – 1) = 0 hay x + 2y – 2z – 3 = 0
+ Tìm H là giao điểm của d và (P)
Tọa độ H( t – 2; 2t + 1; -2t – 1) thỏa mãn :
(t-2) + 2(2t+1) – 2(-2t-1) – 3 = 0 ⇔ 9t – 1= 0 ⇔ t = 1/9
Vậy H là hình chiếu của A trên d và H(-17/9; 11/9; -11/9)
Chọn A.
Ví dụ 2: Cho M(1; -1; 2) và mặt phẳng (P): 2x – y + 2z +2 = 0. Tìm tọa độ hình chiếu vuông góc H của M trên mặt phẳng (P)
A. ( 2; 1; 0) B. ( - 2;0; 1) C.(-1; 0; 0) D. ( 0; 2; 1)
Hướng dẫn giải:
+ Mặt phẳng (P) có vecto pháp tuyến n→(2 ;- 1; 2).
Đường thẳng d đi qua M và vuông góc với (P) nhận vectơ pháp tuyến của (P) làm vectơ chỉ phương.
Suy ra phương trình của d là
+ Tìm H là giao điểm của d và (P)
Tọa độ của H(1+2t, -1-t; 2+2t) thỏa mãn:
2(1+2t) – (-1-t) + 2(2+2t) + 2 = 0
⇔ 2+ 4t + 1+ t + 4 + 4t + 2 = 0
⇔ 9t + 9= 0 ⇔ t = - 1 nên H ( - 1; 0; 0)
Chọn C.
Ví dụ 3: Cho điểm M (2; -1; 8) và đường thẳng d: .Tìm tọa độ H là hình chiếu vuông góc của điểm M trên d.
A. ( 1; 2; 1) B.( 5; - 3; 4) C. ( -2; 1;3) D. ( 1;1;3)
Hướng dẫn giải:
Phương trình tham số của d là:
Xét điểm H(1+2t; -t-1; 2t) thuộc d => MH→( 2t – 1; - t; 2t – 8)
Đường thẳng d có vecto chỉ phương ud→( 2; -1; 2)
H là hình chiếu vuông góc của M trên d khi và chỉ khi MH→.ud→ = 0
⇔ 2(2t-1) – 1(-t) + 2(2t-8) = 0
⇔ 4t- 2+ t + 4t – 16 = 0
⇔ 9t – 18= 0 nên t= 2
=> Hình chiếu vuông góc của M lên d là H(5; - 3; 4)
Chọn B.
Ví dụ 4: Trong không gian với hệ tọa độ Oxyz; cho đường thẳng d: và điểm M(1; 1; 1). Xác định điểm M’ đối xứng với M qua d?
A.( 1; 0; - 2) B. ( -2; 1; 1) C. ( 1; 2; 3) D. (- 1; 0; 6)
Hướng dẫn giải:
+ Đường thẳng d đi qua A(0; 0; 2) và có vecto chỉ phương u→( -1; 2; 1)
+ Gọi (P) là mặt phẳng qua M và vuông góc với đường thẳng d nên mặt phẳng (P) nhận vecto chỉ phương của đường thẳng d làm vecto pháp tuyến
=> Phương trình mặt phẳng (P):
-1( x- 1) + 2( y-1) + 1( z- 1) = 0 hay – x + 2y + z – 2= 0
+ Gọi H là hình chiếu vuông góc của điểm M lên d khi đó H chính là giao điểm của đường thẳng d và mặt phẳng (P)
+ Điểm H thuộc đường thẳng d nên H(- t; 2t; 2+ t). Thay tọa độ H vào phương trình mặt phẳng (P) ta được:
- ( - t) + 2. 2t+ 2+ t- 2= 0 ⇔ 6t = 0 ⇔ t= 0
=> Hình chiếu của M lên d là H ( 0; 0; 2)
+ Do M’ đối xứng với M qua d nên H là trung điểm của MM’.
=> Tọa độ điểm M’( - 1; 0; 6 )
Chọn D.
Dạng 18.Khoảng cách từ một điểm đến đường thẳng. Khoảng cách giữa hai đường thẳng chéo nhau
1. Phương pháp giải
- Muốn tìm khoảng cách từ một điểm M đến đường thẳng d: có 2 cách sau:
+ Cách 1. Tìm hình chiếu H của điểm đó đến d => MH là khoảng cách từ A đến d
+ Cách 2. Công thức (với u→ là vectơ chỉ phương của d và Mo là một điểm thuộc d)
- Muốn tìm khoảng cách giữa hai đường thẳng chéo nhau d ( u→ là vectơ chỉ phương của d và d đi qua Mo) và d’ ( u'→ là vectơ chỉ phương của d’ và d’ đi qua M'o) ta làm như sau:
+ Viết phương trình mặt phẳng (P) chứa d và song song d’
+ Khoảng cách giữa d và d’ chính là khoảng cách từ điểm M'o đến mặt phẳng (P)
d( d,d’) = d(M'o; (P))
+ Hoặc dùng công thức:
2. Ví dụ minh họa
Ví dụ 1: Tìm khoảng cách của A(-2; 1; 3) đến đường thẳng
A. 4√5/3 B. 5√5/2 C. 3√5 D.2√5
Hướng dẫn giải:
Đường thẳng d đi qua B( 0; 1; -1) và có vectơ chỉ phương u→( 1; 2; -2)
Ta có: AB→(2; 0; -4); [AB→;u→] = ( 8;0; 4)
Vậy
Chọn B.
Ví dụ 2: Cho mặt phẳng (P): 3x – 2y – z + 5 = 0 và đường thẳng d: Tính khoảng cách giữa d và (P)
Hướng dẫn giải:
Mặt phẳng (P) có vecto pháp tuyến nP→( 3; -2; -1)
Đường thẳng d có vecto chỉ phương ud→(2; 1; 4) và đi qua điểm Mo (1; 7; 3)
Ta có: nP→. ud→ = 3.2 -2.1 – 1. 4 = 0 và Mo ∉ (1; 7; 3) (P)
Vậy d // (P)
Chọn D.
Ví dụ 3: Tính khoảng cách giữa hai đường thẳng
Hướng dẫn giải:
Đường thẳng d có vecto chỉ phương là ud→( 2; -1; 0)
Đường thẳng d’ có vecto chỉ phương là u'd→( -1; 1; 1).
- Gọi (P) là mặt phẳng chứa d và song song với d’. (P) nhận VTPT là nP→ = [ud→; u'd→] = (-1;-2; 1)
Điểm Mo (1; -1; 1) thuộc d cũng thuộc (P) nên phương trình mặt phẳng (P) là:
- 1(x-1) – 2(y+1) + 1(z-1) = 0 hay x + 2y – z + 2 = 0
- d’ đi qua M'o (2; -2; 3)
Vậy
Ví dụ 4: Trong không gian với hệ tọa độ Oxyz; cho hai đường thẳng . Xác định khoảng cách giữa hai đường thẳng đã cho?
Hướng dẫn giải:
+ Đường thẳng d đi qua A( 1;0; - 2) và có vecto chỉ phương u1→( 2;-1; 1)
+ Đường thẳng d’ đi qua B( 2; -1; 2) và có vecto chỉ phương u2→(0;1; 2)
=> AB→(1; -1; 4); [u1→; u2→] =( -3; -4; 2)
Khoảng cách giữa hai đường thẳng đã cho là:
Chọn B.
Ví dụ 5: Trong không gian với hệ tọa độ Oxyz; cho điểm A(-1; 0;2) và đường thẳng d: . Tìm m để khoảng cách từ A đến d là √2 ?
A. m= -1 hoặc m = -2/3 B. m= - 1 hoặc m = 1/7
C. m = 1 hoặc m= - 1 D. m = 1 hoặc m = 1/7
Hướng dẫn giải:
+ Đường thẳng d đi qua M( 2; 1; 2) và có vecto chỉ phương u→(-1; m; 0)
+ Ta có: AM→(3; 1; 0) và [AM→; u→] = ( 0; 0; 3m+ 1)
+ Theo đầu bài ta có: d( A; d) = √2
Chọn B.
Dạng 19. Góc giữa hai đường thẳng. Góc giữa đường thẳng và mặt phẳng
1. Phương pháp giải
- Cho hai đường thẳng d, d’ có vectơ chỉ phương u→(a; b; c) và u'→(a’; b’; c’)
Góc Φ giữa hai đường thẳng được tính theo công thức:
- Cho đường thẳng d có vectơ chỉ phương u→(a,b,c) và mặt phẳng (P) có VTPT n→(A; B;C)
Góc φ giữa đường thẳng d và mặt phẳng (P) được tính theo công thức:
2. Ví dụ minh họa
Ví dụ 1: Tính góc giữa và d’ là giao tuyến của hai mặt phẳng (P): x + 2y – z + 1 = 0 và (Q): 2x + 3z – 2 = 0?
A. 30o B. 45o C. 60o D. 90o
Hướng dẫn giải:
Hai mặt phẳng (P) và (Q) có vecto pháp tuyến là nP→(1; 2; -1) và nQ→(2; 0; 3)
d' là giao tuyến của (P) và (Q) nên vectơ chỉ phương của d’ là ud'→ = ( 6; -5; -4)
Đường thẳng d có vecto chỉ phương n→(3; 2;2)
Cosin góc giữa d và d’ là:
Suy ra, góc giữa d và d’ bằng 90o.
Chọn D.
Ví dụ 2: Tính sin góc giữa đường thẳng d và mặt phẳng (P) biết d: và (P): 2x – y + 2z – 1 = 0?
A. √14/42 B. √14/22 C. √7/42 D. Đáp án khác
Hướng dẫn giải:
Đường thẳng d có vecto chỉ phương ud→(2; 3; -1)
Mặt phẳng (P) có vecto pháp tuyến nP→(2; -1; 2) nên sin góc giữa d và (P) là:
Chọn A.
Ví dụ 3: Cho bốn điểm A( 1; 0;1) ; B( -1; 2; 1); C( -1; 2; 1) và D( 0; 4; 2). Xác định cosin góc giữa hai đường thẳng AB và CD?
Hướng dẫn giải:
+ Đường thẳng AB có vecto chỉ phương AB→(-2;2;0)
+ Đường thẳng CD có vecto chỉ phương CD→(1;2;1).
=> Cosin góc giữa hai đường thẳng AB và CD là:
Chọn C.
Ví dụ 4: Cho đường thẳng . Xác định m để cosin góc giữa hai đường thẳng đã cho là √5/5
A. m = 2 B. m = - 4 C. m = -1/2 D. m = 1/4
Hướng dẫn giải:
Đường thẳng d1 có vecto chỉ phương u1→(0; - 1; 2)
Đường thẳng d2 có vecto chỉ phương u2→(1; m; -1)
Cosin góc tạo bởi hai đường thẳng đã cho là:
Để cosin góc giữa hai đường thẳng đã cho là
⇔ m2 + 4m+ 4 = m2 + 2 ⇔ 4m = - 2 ⇔ m =-1/2
Chọn C.
Ví dụ 5: Cho đường thẳng d: và mặt phẳng (P): x+ my- z+ 100= 0. Xác định m để cosin góc giữa đường thẳng d và mặt phẳng (P) là 1/3√3 ?
A. m= ±1 B.m= ±2 C. m= 0 D. m = ±3
Hướng dẫn giải:
Đường thẳng d có vecto chỉ phương u→(-2; 1; - 2)
Mặt phẳng (P) có vecto pháp tuyến n→(1; m;-1)
Do đó, sin góc tạo bởi đường thẳng d và mặt phẳng (P) là:
Theo giả thiết ta có:
⇔ 3m2= m2 + 2 ⇔ 2m2 = 2 ⇔ m2 = 1 ⇔ m= ±1
Chọn A.
Bài giảng: Cách viết phương trình đường thẳng nâng cao - Cô Nguyễn Phương Anh (Giáo viên VietJack)
(199k) Xem Khóa học Toán 12 KNTTXem Khóa học Toán 12 CDXem Khóa học Toán 12 CTST
Xem thêm các dạng bài tập Toán lớp 12 ôn thi Tốt nghiệp có lời giải hay khác:
- 4 dạng bài tập về Hệ tọa độ trong không gian ôn thi Tốt nghiệp (có lời giải)
- 21 dạng bài tập Viết phương trình mặt phẳng ôn thi Tốt nghiệp (có lời giải)
- 21 dạng bài tập Viết phương trình mặt phẳng ôn thi Tốt nghiệp có lời giải (Phần 2)
- 19 dạng bài tập Viết phương trình đường thẳng ôn thi Tốt nghiệp (có lời giải)
- 4 dạng bài tập Viết phương trình mặt cầu ôn thi Tốt nghiệp (có lời giải)
Đã có app VietJack trên điện thoại, giải bài tập SGK, SBT Soạn văn, Văn mẫu, Thi online, Bài giảng....miễn phí. Tải ngay ứng dụng trên Android và iOS.
Theo dõi chúng tôi miễn phí trên mạng xã hội facebook và youtube:Nếu thấy hay, hãy động viên và chia sẻ nhé! Các bình luận không phù hợp với nội quy bình luận trang web sẽ bị cấm bình luận vĩnh viễn.
- Giải Tiếng Anh 12 Global Success
- Giải sgk Tiếng Anh 12 Smart World
- Giải sgk Tiếng Anh 12 Friends Global
- Lớp 12 Kết nối tri thức
- Soạn văn 12 (hay nhất) - KNTT
- Soạn văn 12 (ngắn nhất) - KNTT
- Giải sgk Toán 12 - KNTT
- Giải sgk Vật Lí 12 - KNTT
- Giải sgk Hóa học 12 - KNTT
- Giải sgk Sinh học 12 - KNTT
- Giải sgk Lịch Sử 12 - KNTT
- Giải sgk Địa Lí 12 - KNTT
- Giải sgk Giáo dục KTPL 12 - KNTT
- Giải sgk Tin học 12 - KNTT
- Giải sgk Công nghệ 12 - KNTT
- Giải sgk Hoạt động trải nghiệm 12 - KNTT
- Giải sgk Giáo dục quốc phòng 12 - KNTT
- Giải sgk Âm nhạc 12 - KNTT
- Giải sgk Mĩ thuật 12 - KNTT
- Lớp 12 Chân trời sáng tạo
- Soạn văn 12 (hay nhất) - CTST
- Soạn văn 12 (ngắn nhất) - CTST
- Giải sgk Toán 12 - CTST
- Giải sgk Vật Lí 12 - CTST
- Giải sgk Hóa học 12 - CTST
- Giải sgk Sinh học 12 - CTST
- Giải sgk Lịch Sử 12 - CTST
- Giải sgk Địa Lí 12 - CTST
- Giải sgk Giáo dục KTPL 12 - CTST
- Giải sgk Tin học 12 - CTST
- Giải sgk Hoạt động trải nghiệm 12 - CTST
- Giải sgk Âm nhạc 12 - CTST
- Lớp 12 Cánh diều
- Soạn văn 12 Cánh diều (hay nhất)
- Soạn văn 12 Cánh diều (ngắn nhất)
- Giải sgk Toán 12 Cánh diều
- Giải sgk Vật Lí 12 - Cánh diều
- Giải sgk Hóa học 12 - Cánh diều
- Giải sgk Sinh học 12 - Cánh diều
- Giải sgk Lịch Sử 12 - Cánh diều
- Giải sgk Địa Lí 12 - Cánh diều
- Giải sgk Giáo dục KTPL 12 - Cánh diều
- Giải sgk Tin học 12 - Cánh diều
- Giải sgk Công nghệ 12 - Cánh diều
- Giải sgk Hoạt động trải nghiệm 12 - Cánh diều
- Giải sgk Giáo dục quốc phòng 12 - Cánh diều
- Giải sgk Âm nhạc 12 - Cánh diều


Giải bài tập SGK & SBT
Tài liệu giáo viên
Sách
Khóa học
Thi online
Hỏi đáp

