(21 dạng) Viết phương trình mặt phẳng ôn thi Tốt nghiệp (có lời giải)
Bài viết 21 dạng Viết phương trình mặt phẳng ôn thi Tốt nghiệp môn Toán với phương pháp giải chi tiết giúp học sinh ôn tập, biết cách làm bài tập Viết phương trình mặt phẳng.
- Viết phương trình mặt phẳng (P) đi qua một điểm M và song song với hai đường thẳng chéo nhau d và d’ cho trước
- Viết phương trình mặt phẳng (α) đi qua một điểm M và vuông góc với 2 mặt phẳng (P), (Q) cho trước
- Viết phương trình mặt phẳng (P) song song với mặt phẳng (Q) và cách (Q): Ax+ By + Cz + D = 0 ( hoặc điểm H) một khoảng k cho trước
- Viết phương trình mặt phẳng (P) liên quan đến mặt cầu (S)
- Khoảng cách từ một điểm đến mặt phẳng
- Viết phương trình mặt phẳng thòa mãn điều kiện T – về khoảng cách
- Vị trí tương đối giữa mặt phẳng và mặt cầu
- Xác định góc giữa hai mặt phẳng
- Viết phương trình mặt phẳng (P) chứa một đường thẳng (d) và tạo với mặt phẳng (Q): Ax+ By + Cz + D = 0 một góc Φ cho trước
(21 dạng) Viết phương trình mặt phẳng ôn thi Tốt nghiệp (có lời giải)
(199k) Xem Khóa học Toán 12 KNTTXem Khóa học Toán 12 CDXem Khóa học Toán 12 CTST
Bài giảng: Cách làm bài tập viết phương trình mặt phẳng cơ bản - Cô Nguyễn Phương Anh (Giáo viên VietJack)
Dạng 12. Viết phương trình mặt phẳng (P) đi qua một điểm M và song song với hai đường thẳng chéo nhau d và d’ cho trước
1. Phương pháp giải
• Tìm vecto chỉ phương của d và d’ là u1→; u2→
• Vecto pháp tuyến của mặt phẳng (P) là n→ = [u1→, u2→]
• Áp dụng cách viết phương trình mặt phẳng đi qua 1 điểm và có 1 vecto pháp tuyến.
2. Ví dụ minh họa
Ví dụ 1: Trong không gian với hệ tọa độ Oxyz, cho hai đường thẳng Mặt phẳng (α) đi qua A( 2; 1; 2) và đồng thời song song với cả hai đường thẳng d1; d2 có phương trình là
A. x+ 5y+ 2z – 10= 0 B. x- 2y+ z – 2= 0
C. x - 5y+ 2z – 1= 0 D. 2x- y + 2z – 7 = 0
Hướng dẫn giải:
Đường thẳng d1 đi qua M (1; 0; -2) và có vecto chỉ phương u1→( 3; 1;1)
Đường thẳng d’ đi qua N (0; -1; 2) và có vecto chỉ phương u2→(-1; 1; 3)
Ta có: [u1→, u2→] = (2; -10; 4)
Gọi n→ là VTPT của mặt phẳng (P). Ta có (P) song song với d1 và d2 nên nên n→ cùng phương với [u1→, u2→]
Chọn n→( 1; -5; 2) ta được phương trình mặt phẳng (P) là:
1.( x – 2) – 5 ( y – 1) + 2(z- 2) =0 hay x- 5y + 2z – 1 = 0
Chọn C.
Ví dụ 2: Trong không gian hệ tọa độ Oxyz, viết phương trình mặt phẳng (P) đi qua điểm B(1; -3; 2) và song song với trục Ox, Oy
A. x= 1 B. y+ 3= 0 C. z- 2= 0 D. 3x+ y= 0
Hướng dẫn giải:
Trục Ox có vecto chỉ phương u1→(1; 0; 0)
Trục Oy có vecto chỉ phương u2→(0; 1; 0)
Ta có: [u1→, u2→] = (0; 0; 1)
Gọi n→ là VTPT của mặt phẳng (P). Ta có (P) song song với Ox và Oy nên nên n→ cùng phương với [u1→, u2→]
Chọn n→(0; 0; 1) ta được phương trình mặt phẳng (P) là:
0(x- 1) + 0( y+ 3) + 1( z- 2) = 0 hay z - 2 = 0
Chọn C.
Ví dụ 3: Trong không gian hệ tọa độ Oxyz, viết phương trình mặt phẳng (P) đi qua điểm M (0; -3; 4) và song song với đường thẳng d: và trục Oz
A. 2x+ 3y- z+ 13= 0 B. 3x+ 2y+ 6= 0
C. 3y+2z + 1= 0 D. 4x- 3y – z- 5= 0
Hướng dẫn giải:
Đường thẳng d có vecto chỉ phương u1→(- 2 ;3; -1)
Trục Oz có vecto chỉ phương u2→(0; 0;1)
Ta có: [u1→, u2→] = ( 3; 2; 0)
Gọi n→ là VTPT của mặt phẳng (P). Ta có (P) song song với Oz và d nên nên n→ cùng phương với [u1→, u2→]
Chọn n→(3; 2; 0) ta được phương trình mặt phẳng (P) là:
3( x- 0) + 2( y +3) + 0( z - 4) = 0 hay 3x + 2y+ 6 = 0
Chọn B.
Ví dụ 4: Trong không gian với hệ tọa độ Oxyz; viết phương trình mặt phẳng (P) đi qua A( -1; 2; 1) và song song với đường thẳng BC và đường thẳng d:; biết điểm B( 0; 1; -3) và C( -2; 1; 0)?
A. 2x + y + 3z- 3= 0 B. 6x + 3y+ 4z - 4= 0
C. 2x - y + z + 3= 0 D. 6x - 3y + 4z + 8= 0
Hướng dẫn giải:
+ Đường thẳng d có vecto chỉ phương u→(1; 2; -3).
Đường thẳng BC có vecto chỉ phương BC→( -2; 0; 3)
Ta có: [u→, BC→] = ( 6; 3; 4)
Gọi n→ là VTPT của mặt phẳng (P). Ta có (P) song song với BC và d nên nên n→ cùng phương với [u→, BC→]
Chọn n→( 6; 3; 4) ta được phương trình mặt phẳng (P) là:
6 (x+ 1) + 3( y- 2) + 4.(z- 1) = 0 hay 6x +3y + 4z – 4= 0
Chọn B.
Dạng 13. Viết phương trình mặt phẳng (α) đi qua một điểm M và vuông góc với 2 mặt phẳng (P), (Q) cho trước
1. Phương pháp giải
• Tìm vecto pháp tuyến của (P) và (Q) là n1→ và n2→
• Vecto pháp tuyến của mặt phẳng (α) là n→ = [n1→, n2→]
• Áp dụng cách viết phương trình mặt phẳng đi qua 1 điểm và có 1 vecto pháp tuyến.
2. Ví dụ minh họa
Ví dụ 1: Trong không gian với hệ tọa độ Oxyz, cho mặt phẳng (P): x- y + z – 3 = 0 và (Q): 2x – z + 2= 0. Mặt phẳng (α) đi qua O và đồng thời vuông góc với hai mặt phẳng (P), (Q) có phương trình là
A. 2x + 6y + 4z - 1= 0 B. x+ 4y + 3z = 0
C. x- 3y + 2z = 0 D. x + 3y + 2z = 0
Hướng dẫn giải:
Vecto pháp tuyến của mặt phẳng (P) là n1→(1; -1; 1)
Vecto pháp tuyến của mặt phẳng (Q) là n2→(2; 0; -1)
Ta có: [n1→, n2→] = ( 1; 3; 2) nên mặt phẳng (α) nhận (1; 3; 2) là một vecto pháp tuyến và (P) đi qua điểm O(0; 0; 0) nên mặt phẳng (α) có phương trình:
1. (x – 0) + 3( y – 0) + 2(z – 0) = 0 hay x+ 3y + 2z = 0
Chọn D.
Ví dụ 2: Trong không gian hệ tọa độ Oxyz, viết phương trình mặt phẳng (P) đi qua điểm M(0; 1; 5), đồng thời vuông góc với cả hai mặt phẳng (Q): 3x – 2y + 2z + 1 = 0 và (R): 5x – 4y + 3z + 10 =0
A. 2x+ y - 2z + 9 = 0 B. x+ 2y- z + 3 = 0
C. 2x- y – 2z + 11 = 0 D. Đáp án khác
Hướng dẫn giải:
Vecto pháp tuyến của mặt phẳng (Q) là n1→( 3; -2; 2)
Vecto pháp tuyến của mặt phẳng (R) là n2→( 5; -4; 3)
Ta có: [n1→, n2→] = (2; 1; -2) nên mặt phẳng (P) nhận (2; 1; -2) là một vecto pháp tuyến và (P) đi qua điểm M (0; 1; 5) nên mặt phẳng (P) có phương trình:
2.(x – 0) + 1(y - 1) - 2( z - 5) = 0 hay 2x+ y – 2z + 9= 0
Chọn A.
Ví dụ 3: Trong không gian hệ tọa độ Oxyz, viết phương trình mặt phẳng (P) đi qua điểm A ( 3; 2; -1), đồng thời vuông góc với mặt phẳng Oxy và mặt phẳng (Q): x + 2y – z + 9 = 0.
A. y+ z - 1= 0 B. 2y – z – 5 = 0
C. 2x- y - 4= 0 D. x+ 2y – 7= 0
Hướng dẫn giải:
Mặt phẳng Oxy có vecto pháp tuyến n1→(0; 0; 1)
Vecto pháp tuyến của mặt phẳng (Q) là n2→( 1; 2; -1)
Ta có: [n1→, n2→] = ( - 2; 1; 0) nên mặt phẳng (P) nhận ( 2; -1; 0) là một VTPT và (P) đi qua điểm A (3; 2; -1) nên mặt phẳng (P) có phương trình:
2( x- 3) - 1( y – 2)+ 0( z+ 1)= 0 hay 2x – y – 4= 0
Chọn C.
Dạng 14: Viết phương trình mặt phẳng (P) song song với mặt phẳng (Q) và cách (Q): Ax+ By + Cz + D = 0 ( hoặc điểm H) một khoảng k cho trước.
1. Phương pháp giải
• Trên mặt phẳng (Q) chọn một điểm M
• Do mặt phẳng (P) song song với mặt phẳng (Q) nên mặt phẳng (P) có dạng: Ax+ By+ Cz + D’= 0
• Sử dụng công thức khoảng cách: d((P); (Q)) = d(M; (Q))= k để tìm D’.
2. Ví dụ minh họa
Ví dụ 1: Trong không gian hệ tọa độ Oxyz, viết phương trình mặt phẳng (P) song song với mặt phẳng (Q): x + 2y - 2z + 1 = 0 và cách (Q) một khoảng bằng 3.
A. x + 2y - 2z + 4= 0 hoặc x + 2y - 2z – 2= 0
B. x + 2y - 2z+ 3= 0 hoặc x + 2y - 2z – 3= 0
C. x + 2y - 2z – 8= 0 hoặc x + 2y - 2z + 10= 0
D. Tất cả sai
Hướng dẫn giải:
Trên mặt phẳng (Q) chọn điểm M (-1; 0;0)
Do mặt phẳng (P) song song với mặt phẳng (Q) nên phương trình mặt phẳng (P) có dạng:
x+ 2y – 2z + D = 0
Vì khoảng cách giữa 2 mặt phẳng (P) và (Q) bằng 3 nên ta có:
d(M; (P))= 3
Vậy có 2 phương trình mặt phẳng (P) thỏa mãn yêu cầu đề bài là
x+ 2y – 2z + 10 = 0 hoặc x+ 2y - 2z – 8= 0
Chọn C.
Ví dụ 2: Trong không gian hệ tọa độ Oxyz, viết phương trình mặt phẳng (P) song song với mặt phẳng (Q): 2x+ 3y – z + 3 = 0 và cách (Q) một khoảng bằng √14
A. 2x+ 3y - z + 1= 0 hoặc 2x+ 3y – z – 3= 0
B. 2x+ 3y – z – 11= 0 hoặc 2x + 3y – z + 17= 0
C. 2x+ 3y – z+ 4= 0 hoặc 2x + 3y – z - 6= 0
D. Tất cả sai
Hướng dẫn giải:
Trên mặt phẳng (Q) chọn điểm M (0; -1;0)
Do mặt phẳng (P) song song với mặt phẳng (Q) nên phương trình mặt phẳng (P) có dạng:
2x + 3y – z + D = 0
Vì khoảng cách giữa 2 mặt phẳng (P) và (Q) bằng √14 nên ta có:
Vậy có 2 phương trình mặt phẳng (P) thỏa mãn yêu cầu đề bài là :
x+ 2y – 2z + 17 = 0 hoặc x + 2y – 2z – 11= 0
Chọn B.
Ví dụ 3: Trong không gian hệ tọa độ Oxyz, gọi (α) là mặt phẳng song song với mặt phẳng
(β): 2x - 4y + 4z + 3 = 0 và cách điểm A(2; -3; 4) một khoảng bằng 3. Viết phương trình mặt phẳng (α)?
A. 2x- 4y + 4z – 14= 0 hoặc 2x – 4y+ 4z – 50 = 0
B. 2x- 4y+ 4z + 12= 0 hoặc 2x- 4y + 4z – 50 = 0
C. 2x- 4y+ 4z – 14= 0 hoặc 2x- 4y + 4z + 16= 0
D. Đáp án khác
Hướng dẫn giải:
Mặt phẳng (α) song song với mặt phẳng (β) nên phương trình mặt phẳng (α) có dạng:
2x - 4y + 4z + D = 0 (D ≠ 3)
Vì d(A; (P))= 3
Vậy có 2 phương trình mặt phẳng (P) thỏa mãn yêu cầu đề bài là
2x - 4y+ 4z – 14= 0 và 2x – 4y + 4z – 50 = 0
Chọn A.
Ví dụ 4: Trong không gian hệ tọa độ Oxyz, cho 3 điểm A(1; 0; 0), B(0; -2; 0); C(0; 0; 4). Viết phương trình mặt phẳng (P) song song với mặt phẳng (ABC) và cách điểm M(2; -1; -1) một khoảng bằng √21
A. 4x- 2y+ z- 20= 0 hoặc 4x- 2y + z + 10= 0
B. 4x+ 2y + z – 17= 0 hoặc 4x+ 2y + z + 10= 0
C. 4x- 2y+ z+ 12= 0 hoặc 4x- 2y + z – 30 = 0
D. 4x+ 2y + z- 10= 0 hoặc 4x + 2y + z+ 8= 0
Hướng dẫn giải:
Phương trình mặt phẳng (ABC) là: x/1 + y/(-2) + z/4 = 1 hay 4x - 2y + z – 4= 0
Mặt phẳng (P) song song với mặt phẳng (ABC) nên phương trình mặt phẳng (P) có dạng:
4x – 2y + z + D = 0 ( D ≠ -4 )
Do khoảng cách từ M đến mặt phẳng (P) bằng √21 nên ta có:
Vậy có 2 phương trình mặt phẳng (P) thỏa mãn yêu cầu đề bài là
4x – 2y + z – 30 = 0 và 4x – 2y + z + 12= 0
Chọn C.
Ví dụ 5: Trong không gian với hệ tọa độ Oxyz; cho ba điểm A(1; 0; 2); B( -1;2; 1) và C( 0; 2; 3). Gọi (P) là mặt phẳng song song với mặt phẳng ( ABC) và cách điểm M( 2; 1;-2) một khoảng là √29. Viết phương trình mặt phẳng ( P) ?
A. 4x+ 3y – 2z+ 1= 0 hoặc 4x + 3y – 2z – 10= 0
B. 4x+ 3y – 2z - 44 = 0 hoặc 4x + 3y – 2z + 14= 0
C. 4x- 3y – 2z + 10= 0 hoặc 4x - 3y – 2z – 16= 0
D. 4x- 3y – 2z + 18= 0 hoặc 4x – 3y – 2z – 24= 0
Hướng dẫn giải:
+ Viết phương trình mặt phẳng (ABC) : AB→(-2; 2; -1); AC→(-1; 2; 1)
=> [AB→, AC→] = ( 4; 3; -2)
Măt phẳng ( ABC) đi qua điểm A(1; 0; 2) và nhận vecto n→( 4; 3; -2) làm VTPT.
Phương trình mặt phẳng ( P):
4( x- 1) + 3( y- 0) -2( z- 2) = 0 hay 4x+ 3y – 2z = 0.
+ Mặt phẳng (P) song song với mặt phẳng (ABC) nên phương trình mặt phẳng (P) có dạng:
4x + 3y – 2z + D = 0 (D ≠ 0)
Do khoảng cách từ M đến mặt phẳng (P) bằng √29 nên ta có:
Vậy có 2 phương trình mặt phẳng (P) thỏa mãn yêu cầu đề bài là
4x + 3y – 2z - 44 = 0 và 4x + 3y – 2z + 14 = 0
Chọn B.
Dạng 15. Viết phương trình mặt phẳng (P) liên quan đến mặt cầu (S).
1. Phương pháp giải
• Tìm tọa độ tâm I và tính bán kính của mặt cầu (S)
• Nếu mặt phẳng (P) tiếp xúc với mặt cầu (S) tại M ∈ (S) thì mặt phẳng (P) đi qua điểm M và có vecto pháp tuyến là MI→.
• Khi bài toán không cho tiếp điểm thì ta phải sử dụng các dữ kiện của bài toán để tìm VTPT của mặt phẳng và viết phương trình mặt phẳng: Ax+ By+ Cz +D = 0 (D chưa biết)
Sử dụng điều kiện khoảng cách để tìm D
2. Ví dụ minh họa
Ví dụ 1: Trong không gian hệ tọa độ Oxyz, gọi (P) là mặt phẳng song song với mặt phẳng Oxz và cắt mặt cầu (S): (x - 1)2 + ( y+ 2)2 + z2 = 12 theo đường tròn có chu vi lớn nhất. Phương trình của mặt phẳng (P) là:
A. x+ 12= 0 B. y+ z= 0 C. y - 4= 0 D. y+ 2= 0
Hướng dẫn giải:
Mặt cầu (S) có tâm I(1; -2; 0) và bán kính R = 2√3 .
Mặt phẳng Oxz có phương trình y= 0
Mặt phẳng (P) song song với mặt phẳng Oxz nên phương trình mặt phẳng (P) có dạng:
y + D = 0 (D ≠ 0)
Mặt phẳng (P) cắt mặt cầu (S) theo đường tròn có chu vi lớn nhất nên mặt phẳng (P) đi qua tâm I của mặt cầu.
Thay tọa độ tâm I vào phương trình mặt phẳng (P) ta được : - 2+ D = 0 nên D = 2
Phương trình mặt phẳng (P) là: y+ 2= 0
Chọn D.
Ví dụ 2: Trong không gian với hệ trục toạ độ Oxyz,cho mặt cầu (S): (x-1)2 +(y- 2)2 +(z- 3)2 = 9, điểm A( 0; 0; 2) . Mặt phẳng ( P) đi qua A và cắt mặt cầu ( S) theo hình tròn (C) có diện tích nhỏ nhất. Tìm một vecto pháp tuyến của (P) ?
A. n→(1;2;3). B. n→(1;2;1). C.n→(1;2;0) . D. n→(1;-2;1).
Hướng dẫn giải:
Mặt cầu (S) có tâm I(1; 2; 3) và bán kính R= 3.
Ta có nên điểm A nằm trong mặt cầu.
Ta có :
Diện tích hình tròn (C) là: S= 4πr2 nên diện tích hình tròn ( C) nhỏ nhất khi và chỉ khi r nhỏ nhất ⇔ d(I,(P)) lớn nhất.
Do d(I,(P)) ≤ IA nên maxd(I; (P)) = IA
Khi đó mặt phẳng (P) đi qua A và nhận IA→(-1;-2;-1) làm vecto pháp tuyến.
Mà vecto n→(1; 2; 1) cùng phương với vecto IA→ nên n→(1; 2; 1) là vecto pháp tuyến của (P).
Chọn B.
Ví dụ 3: Trong không gian với hệ trục tọa độ Oxyz, mặt phẳng (P) : 2x – 2y – 2z + 18= 0 và mặt cầu (S): x2 + y2 + z2 – 2x + 2y – 4z – 3= 0.Tiếp diện của (S) song song với (P) có phương trình ?
Hướng dẫn giải:
Vì mp (Q) // (P) nên mặt phẳng (Q) có dạng: 2x – y – 2z + m = 0 .
Mặt cầu (S) có tâm I( 1; -1; 2) và bán kính R = 3.
Mà (Q) là tiếp diện của mặt cầu (S) nên d(I; (Q)) = R
Vậy phương trình mặt phẳng (Q) cần tìm là: 2x- y – 2z – 8= 0 hoặc 2x – y - 2z + 10 = 0
Chọn D.
Ví dụ 4: Trong không gian với hệ trục tọa độ Oxyz, mặt phẳng (P): 2x + 2y + z - 15 = 0 và mặt cầu (S): x2 + y2 + z2 – 2x – 4y + 4z - 16 = 0. Mặt phẳng (Q) song song với (P) và cắt mặt cầu (S) theo giao tuyến là đường tròn có diện tích 16π. Khi đó (Q) có phương trình là
A.(Q): 2x + 2y + z+ 5 = 0 hoặc 2x+ 2y + z – 13 = 0
B.(Q): 2x + 2y + z -19 = 0 hoặc 2x+ 2y + z+ 1= 0
C.(Q): 2x + 2y + z – 3= 0 hoặc 2x + 2y + z +15 = 0
D.(Q): 2x + 2y + z – 7 = 0 hoặc 2x + 2y + z + 11 = 0
Hướng dẫn giải:
+ Vì mặt phẳng (Q) song song với mặt phẳng (P) nên mặt phẳng (Q) có dạng :
(Q) : 2x+ 2y + z + m = 0 (m ≠ -15)
+ Mặt cầu ( S) có tâm I( 1 ; 2 ; -2) và bán kính R= 5.
Gọi r là bán kính đường tròn giao tuyến, khi đó :
Vậy phương trình mặt phẳng ( Q) : 2x+ 2y + z+ 5= 0 hoặc 2x+ 2y +z – 13= 0
Chọn A
Ví dụ 5: Trong không gian với hệ trục tọa độ Oxyz; cho mặt cầu (S):(x - 2)2 + ( y - 1)2 + z2 = 16. Mặt phẳng (P): 2x+ 2y- z = 0 cắt mặt cầu theo một đường tròn ( C) có bán kính r. Tính r?
A. 2 B. 3 C. 2√3 D. √3
Hướng dẫn giải:
+ Mặt cầu (S) có tâm I( 2; 1; 0) và bán kính R= 4.
+ Khoảng cách từ tâm I đến mặt phẳng (P):
Suy ra, mặt phẳng ( P) cắt mặt cầu (S) theo một đường tròn (C) có bán kính:
Chọn C.
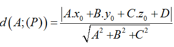
Dạng 16. Khoảng cách từ một điểm đến mặt phẳng
1. Phương pháp giải
Trong không gian Oxyz, cho điểm A(xo; yo;zo) và mặt phẳng (P): Ax+ By + Cz + D = 0
+ Khi đó, khoảng cách từ điểm A đến mặt phẳng (P) được tính theo công thức:
+ Nếu đường thẳng d song song với mặt phẳng (P) thì khoảng cách giữa đường thẳng d và mặt phẳng (P) bằng khoảng cách từ một điểm bất kì của đường thẳng d đến mặt phẳng (P).
+ Nếu hai mặt phẳng (P) và (Q) song song với nhau thì khoảng cách hai mặt phẳng này bằng khoảng cách từ một điểm bất kì thuộc mặt phẳng này đến mặt phẳng kia.
2. Ví dụ minh họa
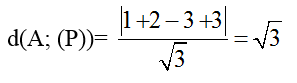
Ví dụ 1: Trong không gian tọa độ Oxyz, khoảng cách từ điểm A(1; 1;2) đến mặt phẳng : x+ 2y- 2z – 2= 0 bằng:
A. 3 B. 1 C. 13/3 D. 1/3
Hướng dẫn giải:
Khoảng cách từ A đến mặt phẳng (α) là:
Chọn B
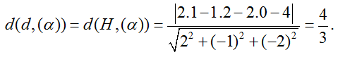
Ví dụ 2: Tính khoảng cách giữa hai mặt phẳng song song (α): 2x – y - 2z – 4= 0 và (β): 2x – y – 2z + 2 =0
A. 2. B. 6. C. 10/3 D. 4/3
Hướng dẫn giải:
Khoảng cách giữa hai mặt phẳng song song bằng khoảng cách từ một điểm bất kỳ của mặt phẳng này đến mặt phẳng kia.
Ta lấy điểm H(2; 0;0) thuộc (α) .
Khi đó
Chọn A.
Ví dụ 3: Tính khoảng cách giữa mặt phẳng (α): 2x- y – 2z – 4= 0 và đường thẳng d:
A. 1/3 B. 4/3 C. 0. D. 2.
Hướng dẫn giải:
Đường thẳng d có vecto chỉ phương u→(1; 4; -1) mặt phẳng (α) có vecto pháp tuyến n→(2; -1; -2)
=> Tích vô hướng u→.n→ = 1. 2+ 4.(-1) + (-1) . (-2) = 0
=> Đường thẳng d song song với mặt phẳng (α).
Khoảng cách giữa đường thẳng và mặt phẳng song song bằng khoảng cách từ một điểm bất kỳ của đường thẳng đến mặt phẳng.
Ta lấy điểm H(1;2;0) thuộc đường thẳng d. Khi đó:
Chọn B.
Ví dụ 4: Trong không gian với hệ tọa độ Oxyz, cho mặt phẳng (α): x+ 2y + 2z + m = 0 và điểm A(1; 1;1). Tìm m để khoảng cách từ điểm A đến mặt phẳng (α) bằng 1?
A. - 2 B. -8. C. - 2 hoặc - 8 . D. 3.
Hướng dẫn giải:
Khoảng cách từ A đến mặt phẳng (α) là:
Chọn C
Ví dụ 5: Trong không gian với hệ tọa độ Oxyz, mặt phẳng (α) cắt các trục Ox; Oy; Oz lần lượt tại 3 điểm A(4; 0; 0); B(0; 3;0) và C(-2;0; 0). Khi đó khoảng cách từ gốc tọa độ O đến mặt phẳng (ABC) là
Hướng dẫn giải:
Phương trình mặt phẳng (ABC) theo đoạn chắn: x/4 + y/3 + z/(-2) = 1
Hay 3x + 4y – 6z – 12=0
Khoảng cách từ O đến mặt phẳng ( ABC) là:
Chọn C.
Dạng 17. Viết phương trình mặt phẳng thòa mãn điều kiện T – về khoảng cách
1. Phương pháp giải
+ Khoảng cách từ điểm A( xo; yo; zo ) đến mặt phẳng ( P): Ax+ By+ Cz+ D = 0 là:
+ Muốn viết được phương trình mặt phẳng(P) cần xác định được vecto pháp tuyến n→(A; B; C) và điểm M ( x0; y0;z0 ) thuộc mặt phẳng. Khi đó; phương trình mặt phẳng cần tìm là:
A ( x- xo) + B( y- yo)+ C( z- zo) =0
+ Để xác định được vecto pháp tuyến của mặt phẳng (P) ta áp dụng cách viết phương trình mặt phẳng đã được học.
2. Ví dụ minh họa
Ví dụ 1: Trong không gian với hệ toạ độ Oxyz, viết phương trình mặt phẳng (P) qua O, vuông góc với mặt phẳng (Q): x+ y+ z- 10= 0 và cách điểm M(1; 2; –1) một khoảng bằng √2
Hướng dẫn giải:
+ Phương trình mặt phẳng (P) qua O nên có dạng: Ax+ By + Cz = 0(với A2 + B2 + C2 > 0)
Mặt phẳng này có vecto pháp tuyến n→(A;B; C)
+ Mặt phẳng (Q) có vecto pháp tuyến nQ→(1; 1;1)
+ Vì (P) ⊥(Q) nên: 1. A+ 1.B+ 1. C= 0 do đó; C = -A- B (1)
+ Ta có:
⇔ ( A+ 2B – C)2 =2(A2 + B2 +C2 ) (2)
Từ (1) và (2) ta được: 8AB + 5B2 = 0 ⇔ B = 0 hoặc 8A + 5B = 0
+ Nếu B = 0 => C = –A. Chọn A = 1, C = –1.
Khi đó phương trình mặt phẳng (P): x- z= 0
+Nếu: 8A + 5B = 0. Chọn A = 5, B = –8 => C = 3.
Khi đó phương trình mặt phẳng ( P) là: 5x- 8y+3z=0
Chọn D
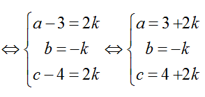
Ví dụ 2: Trong không gian với hệ trục tọa độ Oxyz, cho đường thẳng Δ : và điểm M(0; –2; 0). Viết phương trình mặt phẳng (P) đi qua điểm M, song song với đường thẳng Δ, đồng thời khoảng cách d giữa đường thẳng Δ và mặt phẳng (P) bằng 4.
Hướng dẫn giải:
+ Phương trình mp (P) đi qua M(0; –2; 0) và có vecto pháp tuyến n→(a;b;c) ≠ 0 là:
a (x- 0) + b(y+ 2) + c( z-0) = 0 hay ax+ by + cz + 2b= 0
+ Đường thẳng Δ đi qua điểm A(1; 3; 0) và có một VTCP u→(1;1;4) .
Ta có đường thăng ∆ // (P) nên 1.a+ 1.b+ 4.c= 0 nên b= - a- 4c
+ Khoảng cách d giữa đường thẳng Δ và mặt phẳng (P) bằng 4 nên khoảng cách từ điểm A đến mặt phẳng (P) là 4
⇔ a2+ 10ac+ 25c2 = 2a2 + 17c2 + 8ac
⇔ a2 – 2ac – 8c2= 0
⇔ a = 4c hoặc a = -2c
+ Với a= 4c. Chọn a= 4; c= 1 thì b= - 8
Phương trình (P): 4x – 8y + z – 16 = 0.
+ Với a= -2c. Chọn a= 2; c= - 1thì b= 2
Phương trình (P): 2x+ 2y – z + 4= 0.
Chọn B.
Ví dụ 3: Trong không gian với hệ toạ độ Oxyz, cho đường thẳng (d): và điểm A( -1; 2; 3). Mặt phẳng (P) chứa đường thẳng (d) sao cho khoảng cách từ điểm A đến mặt phẳng (P) bằng 3 có vecto pháp tuyến là:
A . n→(2;1;-3) B . n→(2;1;2) C . n→(2;-1;-2) D . n→(4;-2;2)
Hướng dẫn giải:
+ Đường thẳng (d) đi qua điểm M(0; -1; 1) và có VTCT u→(1;2;0) .
Mặt phẳng (P) đi qua M(0; -1; 1) và có vecto pháp tuyến n→(a; b; c) ( với a2+ b2+ c2 > 0)
Có phương trình là: a( x- 0) + b( y+1)+ c( z - 1) = 0 hay ax+ by + cz + b- c= 0 (1).
+ Do (P) chứa (d) nên: u→.n→ hay a+ 2b = 0 ⇔ a= - 2b (2)
+ Khoảng cách từ A đến ( P) là 3 nên ta có :
⇔ ( 5 b+ c)2 = 9(5b2 + c2 ) ⇔ 4b2 - 4bc + c2 = 0
⇔ (2b – c)2 = 0 ⇔ c= 2b (3)
+ Từ (2) và (3), chọn b= -1 => c= -2 và a= 2
=> PT mặt phẳng (P): 2x- y- 2z+ 1= 0 .
Vậy một vecto pháp tuyến của (P) là ( 2; -1; -2)
Chọn C
Ví dụ 4: Trong không gian với hệ toạ độ Oxyz, cho các điểm M(-1; 1; 0); N( 0;0;- 2) và I( 1; 1; 1). Mặt phẳng (P) qua M và N, đồng thời khoảng cách từ I đến (P) bằng √3 có vecto pháp tuyến là:
Hướng dẫn giải:
+ Phương trình mặt phẳng (P) nhận vecto n→(a;b;c) làm VTPT và đi qua điểm N(0; 0; -2):
ax+ by+ c( z+ 2) = 0 hay ax+ by+ cz + 2c= 0
+ Mặt phẳng ( P) đi qua điểm M(-1; 1; 0)
=> -a+ b+ 2c= 0
Suy ra: a= b+ 2c
+ Khoảng cách từ I (1; 1; 1) đến (P) bằng √3 nên :
⇔ 4b2+ 20 bc+ 25c2= 6b2+ 15c2+ 12bc
⇔ 2b2 – 8bc- 10c2 = 0
⇔ b = 5c hoặc b = -c
+ Nếu b= 5c; chọn c= 1=> b= 5; a= 7
=> Phương trình mặt phẳng (P): 7x+ 5y+ z + 2= 0 có vecto pháp tuyến ( 7; 5; 1)
+ Nếu b= - c chọn b= 1; c= -1; a= - 1
=> Phương trình (P): - x+ y- z- 2 = 0 hay x- y+ z+ 2= 0 có vecto pháp tuyến ( 1; -1; 1)
Chọn A.
Ví dụ 5: Trong không gian với hệ toạ độ Oxyz, cho tứ diện ABCD với A(1; -1; 2), B(1; 3; 0) , C(-3;4;1) và D(1;2;1). Mặt phẳng (P) đi qua A, B sao cho khoảng cách từ C đến (P) bằng khoảng cách từ D đến (P) có vecto pháp tuyến là:
Hướng dẫn giải:
+ Phương trình mặt phẳng (P) nhận vecto n→(a;b;c) ≠ 0→ làm VTPT và đi qua điểm A(1; -1; 2):
a(x-1)+ b(y+1)+ c( z -2) = 0 hay ax+ by+ cz – a+ b – 2c= 0
+ Mặt phẳng ( P) đi qua điểm B(1; 3; 0)
=> a+ 3b – a+ b – 2c= 0 hay 4b – 2c= 0
Suy ra: c= 2b
+ Khoảng cách từ C( -3; 4; 1) đến (P) bằng khoảng cách từ D(1; 2;1) đến (P) nên :
⇔ | - 4a + 5b – c| = | 3b – c |
⇔ | -4a + 5b- 2b| = | 3b – 2b |
⇔ | - 4a + 3b| = | b |
⇔ 16a2 – 24 ab+ 9b2 = b2
⇔ 16a2 – 24ab + 8b2 = 0
+ Với b= a; chọn a= l=> b =1; c= 2
Phương trình mặt phẳng (P) : x+ y+ 2z - 4= 0 có vecto pháp tuyến (1; 1; 2)
+ Với chọn b=2; a= 1 => c = 4
=> Phương trình mặt phẳng (P) là : x+ 2y+ 4z - 7= 0 có vecto pháp tuyến là( 1; 2; 4)
Chọn A.
Dạng 18.Vị trí tương đối của hai mặt phẳng
1. Phương pháp giải
Trong không gian Oxyz, cho hai mặt phẳng (α): A1x+ B1y+ C1z + D1 = 0 và (β):
A2x+ B2y+ C2z + D2= 0
2. Ví dụ minh họa
Ví dụ 1: Trong không gian Oxyz, cho mặt phẳng (P): x- 3y + 2z + 11 = 0 và (Q): ( 2m - 1)x + m(1– 2m)y + (2m – 4)z - 9= 0 .Với giá trị nào của m thì (P) và (Q) vuông góc với nhau
A. m= 1 hoặc m= 2 B. m= 1 hoặc m = -3/2
C. m= -1 hoặc m= 3/2 D . m= 2 hoặc m = 1/2
Hướng dẫn giải:
Mặt phẳng (P) có vecto pháp tuyến n1→( 1; -3; 2)
Mặt phẳng (Q) có vecto pháp tuyến n2→(2m- 1; m(1- 2m); 2m- 4)
Mặt phẳng (P) và (Q) vuông góc với nhau khi và chỉ khi:
n1→.n2→ = 0
⇔ 1.(2m- 1) -3m(1 – 2m)+ 2(2m – 4) = 0
⇔ 6m2 + 3m – 9 = 0
⇔ m = 1 hoặc m = -3/2
Chọn B
Ví dụ 2: Trong không gian với hệ tọa độ Oxyz; cho mặt phẳng (P): x+ 2y- 4z+ 1= 0 và mặt phẳng (Q) đi qua ba điểm A(1; 0; 0); B(0; 3; 0) và C(0; 0; -4). Xác định vị trí tương đối của hai mặt phẳng (P) và (Q)?
A. Song song B. Cắt nhau nhưng vuông góc
C. Trùng nhau D. Cắt nhau nhưng không vuông góc
Hướng dẫn giải:
+ Phương trình mặt phẳng (Q): x/1 + y/3 + z/(-4) = 1 hay 12 x+ 4y – 3z – 12= 0
+ Ta có: 1/12 ≠ 2/4 nên hai mặt phẳng này cắt nhau.
Hai mặt phẳng (P) và (Q) có hai vecto pháp tuyến lần lượt là n1→(1; 2; -4); n2→( 12; 4; -3)
Tích vô hướng: n1→.n2→ = 1. 12+ 2. 4 + (-4). (-3)= 32
=> Hai mặt phẳng đã cho cắt nhau nhưng không vuông góc
Chọn D.
Ví dụ 3: Trong không gian Oxyz, mặt phẳng (P) đi qua điểm M (0; 1; 2) và song song với mặt phẳng (Q): 2x – 4y + 12= 0. Mặt phẳng (R) có phương trình: 4x- 8y+ 10z - 9= 0. Xác định vị trí tương đối của mặt phẳng (P) và (R)
A. Cắt nhau nhưng vuông góc B. Trùng nhau
C. Cắt nhau nhưng không vuông góc D. Song song
Hướng dẫn giải:
Mặt phẳng (P) song song với mặt phẳng (Q) nên VTPT của mặt phẳng (Q) là n→(2; -4; 0)
Mặt phẳng (P) đi qua điểm M(0; 1; 2) và có VTPT n→(2; -4; 0) nên có phương trình là:
2( x- 0) – 4( y- 1) + 0(z – 2) = 0
⇔ 2x – 4y + 4= 0 hay x- 2y + 2 = 0
+ Ta có: 1/4 ≠ 0/10 nên hai mặt phẳng (P) và (R) cắt nhau.
Hai mặt phẳng (P) và (R) có hai vecto pháp tuyến lần lượt là n1→(1; -2; 0) và n2→( 4; - 8; 10)
Tích vô hướng n1→. n2→= 1.4 + (-2).(-8) + 0.10 = 20
=> Hai mặt phẳng đã cho cắt nhau nhưng không vuông góc
Chọn C.
Ví dụ 4: Trong không gian với hệ trục tọa độ Oxyz; cho hai mặt phẳng (P): x+ 2y- z+ 10= 0 và (Q): 2x+ my – nz+ 20= 0. Xác định m và n để hai mặt phẳng (P) và (Q) trùng nhau?
A. m= 2 và n= 1 B. m= -4 và n= 2
C. m= 2 và n= 2 D. m= 4 và n= 2
Hướng dẫn giải:
+ Để hai mặt phẳng (P) và (Q) trùng nhau thì:
Chọn D.
Ví dụ 5: Trong không gian với hệ trục tọa độ Oxyz; cho hai mặt phẳng (P): 2x- y+ 3z -9= 0 và (Q): 6x + my – nz + 12= 0. Tìm m và n để hai mặt phẳng (P) và (Q) song song với nhau
A. m= 3; n= -9 B. m= -3; n = -9
C. m= -3; n= 9 D. Đáp án khác
Hướng dẫn giải:
Để hai mặt phẳng (P) và (Q) song song với nhau thì:
Chọn B.
Dạng 19. Vị trí tương đối giữa mặt phẳng và mặt cầu
1. Phương pháp giải
Trong không gian Oxyz, cho mặt phẳng (P): Ax + By + Cz + D = 0 và mặt cầu
(S): (x- a)2 + (y – b)2 + (z- c)2 = R2
Để xét vị trí tương đối của (P) và (S) ta làm như sau:
Bước 1: Tính khoảng cách d từ tâm I của (S) đến mặt phẳng (P)
Bước 2:
+ Nếu d > R thì (P) không cắt (S).
+ Nếu d = R thì (P) tiếp xúc với (S) tại H, khi đó H được gọi là tiếp điểm, là hình chiếu vuông góc của I lên mặt phẳng (P), mặt phẳng (P) được gọi là tiếp diện.
+ Nếu d < R thì (P) cắt (S) theo đường tròn có phương trình:
Bán kính của (C) là
Tâm J của (C) là hình chiếu vuông góc của I trên (P)
2. Ví dụ minh họa
Ví dụ 1: Cho mặt phẳng (P): 2x – y + 2z - 5 = 0 và (S): (x- 3)2 + y2 + ( z- 4)2 = 9. Tìm mệnh đề đúng
A. Mặt phẳng và mặt cầu cắt nhau
B. Mặt phẳng và mặt cầu tiếp xúc nhau và tọa độ tiếp điểm là (1; 1; 2)
C. Mặt phẳng và mặt cầu không cắt nhau
D. Mặt phẳng và mặt cầu tiếp xúc nhau tại điểm (2; -1; 2)
Hướng dẫn giải:
Mặt cầu (S) có tâm I (3; 0; 4) và bán kính R = 3.
Mặt phẳng (P) có vecto pháp tuyến n→(2; -1; 2)
Khoảng cách từ tâm I đến mặt phẳng (P) là:
Do đó, mặt phẳng (P) và mặt cầu (S) tiếp xúc với nhau.
Gọi M(a; b; c) là tọa độ tiếp điểm của (P) và (S)
=> IM→( a- 3; b; c - 4)
Do IM vuông góc với mặt phẳng (P) nên ta có: IM→ = k.n→
Lại có M thuộc mặt phẳng (P) nên ta có:
2(2k+ 3) – (- k)+ 2.( 4+ 2k) -5 = 0 hay 9k+ 9 = 0⇔ k= -1
Khi đó, M( 1, 1, 2)
Vậy tọa độ tiếp điểm là (1; 1; 2)
Chọn B.
Ví dụ 2: Trong không gian với hệ trục tọa độ Oxyz; cho mặt phẳng (P). x- 2y- 3z+ 11= 0 và mặt cầu ( S): x2+ y2 + z2 – 4x+ 4y - 2z + m= 0. Tìm m để mặt phẳng (P) tiếp xúc với mặt cầu (S)
A. m= 1 B. m = -3 C. m= - 5 D. m = 3
Hướng dẫn giải:
+ Mặt cầu (S) có tâm I(2; -2; 1) và bán kính
( điều kiện m < 9)
+ Khoảng cách từ tâm I đến mặt phẳng (P):
+ Để mặt phẳng (P) tiếp xúc với mặt cầu thì:
⇔ 14= 9- m nên m= -5
Chọn C.
Ví dụ 3: Trong không gian với hệ trục tọa độ Oxyz; cho mặt phẳng (P): 4x- 2y- 4z + 6= 0 và mặt cầu (S): (x-2)2+ ( y+ 2)2 + z2 = 25. Tìm mệnh đề đúng?
A. Mặt phẳng (P) tiếp xúc với mặt cầu tại điểm (2; -3; 1)
B. Mặt phẳng (P) cắt đường tròn theo một đường tròn có tâm (0; 1; 2)
C. Mặt phẳng (P) tiếp xúc với mặt cầu tại điểm (0; -1; 3)
D. Mặt phẳng (P) cắt đường tròn theo một đường tròn có tâm ( 0; -1; 2)
Hướng dẫn giải:
+ Mặt cầu (S): có tâm I(2; -2; 0) và bán kính R= 5
+ Mặt phẳng (P) có vecto pháp tuyến n→( 4; -2; - 4)
+ Khoảng cách từ tâm I đến mặt phẳng (P):
=> Mặt phẳng (P) và mặt cầu (S) cắt nhau theo một đường tròn
Gọi J (a; b; c) là tọa độ tâm của đường tròn (C)
Ta có: IJ→( a - 2; b+2; c)
Do IJ vuông góc với mặt phẳng (P) nên IJ→ = kn→
Lại có J thuộc mặt phẳng (P)
=> 4( 4k+ 2) – 2.(- 2- 2k) – 4 ( -4k) + 6= 0
⇔ 16k + 8 + 4 + 4k + 16k + 6= 0
⇔ 36k+ 18= 0 ⇔ k = -1/2
Vậy tâm J(0; - 1; 2)
Chọn D.
Ví dụ 4: Trong không gian với hệ trục tọa độ Oxyz; cho mặt phẳng (P): 2x- y- 2z+ 10= 0 và mặt cầu (S): (x- 1)2 + ( y- 2)2 + ( z+ 1)2 = R2. Biết mặt phẳng (P) cắt mặt cầu (S) theo đường tròn có bán kính r = 2. Tìm R
A. 2√5 B. 5 C. 2√15 D. 3√5
Hướng dẫn giải:
+ Mặt cầu (S) có tâm I( 1;2; -1) và bán kính R.
+ Khoảng cách từ tâm I đến mặt phẳng (P):
+ Để mặt phẳng (P) cắt mặt cầu ( S) theo đường tròn có bán kính r= 2 thì:
R2 = d2 + r2 = 42 + 22 = 20
=> R= 2√5
Chọn A.
Ví dụ 5: Trong không gian với hệ tọa độ Oxyz; cho mặt phẳng (P): - 2x + y- 6z+ m= 0 và mặt cầu ( S) : (x- 1)2 +( y+ 2)2 + (z+ 3)2 = 41. Tìm điều kiện của m để mặt phẳng (P) và mặt cầu ( S) có điểm chung
A. – 55 < m < 27 B. -55 ≤ m ≤ 27
C. m < -55; m > 27 D. m ≤ -55; m ≥ 27
Hướng dẫn giải:
+ Mặt cầu ( S) có tâm I(1; -2; -3) và bán kính R= √41
+ Khoảng cách từ tâm I đến mặt phẳng (P):
+ Để mặt phẳng (P) và mặt cầu (S) có điểm chung thì:
⇔ |14+ m| ⇔ 196 + 28m + m2 ≤ 1681
⇔ m2 + 28m – 1485 ≤ 0 ⇔ - 55 ≤ m ≤ 27
Chọn B
Dạng 20. Xác định góc giữa hai mặt phẳng
1. Phương pháp giải
Trong không gian Oxyz, cho hai mặt phẳng (P): A1x + B1y + C1z+D1 = 0 và (Q): A2x + B2y +C2z +D2 = 0. Góc giữa hai mặt phẳng (P) và (Q) bằng hoặc bù với góc giữa hai vecto pháp tuyến nP→ và nQ→
2. Ví dụ minh họa
Ví dụ 1: Trong không gian với hệ toạ độ Oxz, tính góc hợp bởi mặt phẳng (α): √2x+ y – 5= 0 và mặt phẳng (Oxy)
A. 30o B. 90o C. 45o D. 60o
Hướng dẫn giải:
Mặt phẳng (α) có vecto pháp tuyến n1→(√2;1;0)
Mặt phẳng (Oxy) có phương trình z = 0 nên có vecto pháp tuyến n2→(0; 0; 1)
Góc giữa hai mặt phẳng (α) và (Oxy) là:
Vậy góc giữa mặt phẳng (α) và (Oxy) là 90o.
Chọn B.
Ví dụ 2: Trong không gian hệ tọa độ Oxyz, gọi (P) là mặt phẳng chứa trục Oy và tạo với mặt phẳng (Q): y + z + 1= 0 góc 60o. Phương trình mặt phẳng (P) là:
A. x- y= 0 hoặc y= 0 B. x- z= 0 hoặc x+ z= 0
C. y+ z= 0 hoặc x+ y= 0 D. x- z= 0 hoặc x- y= 0
Hướng dẫn giải:
Giả sử phương trình mặt phẳng (P) có dạng: Ax+ By + Cz + D = 0
Đường thẳng Oy đi qua điểm O(0; 0; 0) và có vecto chỉ phương u→(0; 1; 0)
Mặt phẳng (Q) có vecto pháp tuyến nQ→(0;1; 1)
Mặt phẳng (P) chứa đường thẳng (d) nên u→.nQ→ = 0 ⇔ B = 0
Lại có mặt phẳng (P) tạo với mặt phẳng (Q) một góc bằng 60o nên ta có:
Chọn C= 1 , ta có A = ±1
Khi đó, phương trình mặt phẳng (P) đi qua O(0; 0; 0) và có vecto pháp tuyến nP→(A;B;C) là x+ z = 0 hoặc –x + z= 0
Chọn B.
Ví dụ 3: Trong không gian với hệ tọa độ Oxyz; cho mặt phẳng (P): x+ y- 10= 0 và mặt phẳng ( Q): x + mz +19= 0. Xác định m để góc giữa hai mặt phẳng (P) và (Q) bằng 45o?
A. m= 0 B. m = 1 C. m = -2 D. m= 3
Hướng dẫn giải:
+ Mặt phẳng (P) có vecto pháp tuyến là n→(1;1;0)
+ Mặt phẳng (Q) có vecto pháp tuyến là n'→(1;0;m)
+ Để góc giữa hai mặt phẳng (P) và (Q) bẳng 45o thì:
Chọn A.
Ví dụ 4: Trong không gian Oxyz, mặt phẳng (P) đi qua ba điểm A(1; -2; 0), B(1; 1; 1) và C(0; 1; -2). Mặt phẳng (Q) có phương trình: 2x+ y- 4z+ m=0 . Xác định cosin góc tạo bởi hai mặt phẳng (P) và (Q)
Hướng dẫn giải:
+ Xác định vecto pháp tuyến của mặt phẳng (P):
Ta có: AB→(0; -3; 1); AC→( -1; - 3; -2)
[AB→;AC→] = ( 9; -1; -3)
Gọi n→ là một VTPT của mặt phẳng (P) ta có nên n→ cùng phương với [AB→;AC→]
Chọn n→( 9; -1; -3) ta được vecto pháp tuyến của mặt phẳng (P)
+ Vecto pháp tuyến của mặt phẳng (Q) là n'→(2; 1;- 4).
+ Cosin góc tạo bởi hai mặt phẳng (P) và ( Q) là
Chọn D.
Ví dụ 5: Trong không gian hệ tọa độ Oxyz, gọi mặt phẳng (P) chứa đường thẳng d: và vuông góc với mặt phẳng (Q): x+ 2y – z + 1 = 0. Mặt phẳng (R) có phương trình: 2x+ my+ z – 9= 0 . Xác định m để cos( (P); (R))= 3/√12
A.m = ±2 B. m = ±1 C. m = ±3 D. m= 0
Hướng dẫn giải:
+ Xác định vecto pháp tuyến của mặt phẳng (P):
Đường thẳng d đi qua điểm A (0; -1; 2) và có vecto chỉ phương u→( -1; 2; 1)
Mặt phẳng (Q) có vecto pháp tuyến nQ→(1; 2; -1)
Mặt phẳng (P) chứa đường thẳng d và vuông góc với (Q) nên (P) có một vecto pháp tuyến là
[u→;nQ→] = ( - 4; 0; -4) chọn nP→(1; 0; 1)
+ Mặt phẳng (R) có vecto pháp tuyến là: nR→( 2 ;m;1)
Theo đầu bài ta có; cos( (P); (R)) = 3/√12
⇔ 5+ m2 = 6
⇔ m2 = 1 nên m= 1 hoặc m = -1
Chọn B.
Dạng 21. Viết phương trình mặt phẳng (P) chứa một đường thẳng (d) và tạo với mặt phẳng (Q): Ax+ By + Cz + D = 0 một góc Φ cho trước.
1. Phương pháp giải
• Tìm vecto pháp tuyến của (Q) là nQ→, vecto chỉ phương của (d) là u→
• Gọi vecto pháp tuyến của (P) là nP→
Dùng phương pháp vô định giải hệ
• Áp dụng cách viết phương trình đi qua một điểm và có 1 vecto pháp tuyến.
2. Ví dụ minh họa
Ví dụ 1: Trong không gian hệ tọa độ Oxyz, cho mặt phẳng (Q): x+ 2y + z - 3= 0 và đường thẳng d: . Viết phương trình mặt phẳng (P) chứa (d) và hợp với mặt phẳng (Q) một góc α thỏa mãn cosα = √3/6
A. y- z+ 3= 0 B. 5x- 3y + 8z- 10= 0
C. 2x- 3y+ 5z- 10= 0 D. Đáp án khác
Hướng dẫn giải:
Giả sử phương trình mặt phẳng (P) có dạng: Ax+ By + Cz + D = 0 (A2 + B2 + C2 > 0) nhận vectơ n→( A;B; C) làm vecto pháp tuyến.
Đường thẳng d đi qua điểm M(-1; 2; -3) và có vecto chỉ phương u→(1; -1; -1)
Mặt phẳng (Q) có vecto pháp tuyến nQ→(1; 2; 1)
Mặt phẳng (P) chứa đường thẳng (d) nên u→.nQ→ = 0
⇔ A- B – C= 0 ⇔ C = A – B
Lại có mặt phẳng (P) tạo với mặt phẳng (Q) một góc góc α thỏa mãn cosα = √3/6
⇔ A2+ B2 - AB = 4A2+ 4AB + B2
⇔ 3A2 + 5AB = 0
+ Với A = 0, chọn B = 1 thì C= - 1
Mặt phẳng (P) đi qua M(-1; 2; -3) và nhận vecto ( 0; 1; -1) làm vecto pháp tuyến
=> Phương trình mp (P): 0( x+ 1) + 1( y - 2) – 1( z+ 3) = 0 hay y - z – 5= 0
+ Với 3A = - 5B; chọn B = - 3 => A= 5; C= 8
Khi đó, phương trình mặt phẳng (P) đi qua M(-1; 2; -3) và có VTPT nP→(5; -3; 8) là:
5( x+ 1) – 3( y- 2) + 8( z+ 3) = 0 hay 5x – 3y + 8z + 35= 0
Chọn D.
Ví dụ 2: Trong không gian hệ tọa độ Oxyz, cho đường thẳng d có phương trình (d): và mặt phẳng (Q): x + 2y + z – 5= 0 . Viết phương trình mặt phẳng (P) chứa (d) và hợp với (Q) một góc 30o.
A. x+ y- 2= 0 hoặc x+ z – 2= 0
B. x+ y - 2= 0 hoặc y+ z - 2= 0
C. y+ z - 2= 0 hoặc x – z - 2= 0
D. Đáp án khác
Hướng dẫn giải:
Giả sử phương trình mặt phẳng (P) có dạng: Ax+ By + Cz + D = 0 nhận vecto nP→(A; B; C) làm vecto pháp tuyến.
Đường thẳng (d) đi qua điểm M(0; 2; 0) và có vecto chỉ phương u→(1; -1; 1)
Mặt phẳng (Q) có vecto pháp tuyến nQ→(1 ; 2;1)
Mặt phẳng (P) chứa đường thẳng (d) nên u→.nP→ = 0
→ A- B+ C = 0 ⇔ C = B - A
Lại có mặt phẳng (P) tạo với mặt phẳng (Q) một góc bằng 30o nên ta có:
⇔ A2 + B2 – AB= B2
→ A2 – AB = 0
+ Với A = 0, chọn B = 1; C = 1.
Mặt phẳng ( P) đi qua M(0; 2; 0) và nhận vecto (0;1; 1) làm vecto pháp tuyến:
0(x - 0) + 1( y - 2) +1.( z - 0) = 0 hay y+ z - 2 = 0
+ Với A = B , chọn A= B = 1 C = 0
Khi đó, phương trình mặt phẳng (P) đi qua M(0; 2; 0) và có VTPT nP→(1; 1;0) là:
1( x- 0) + 1( y-2) + 0( z- 0) = 0 hay x+ y- 2= 0
Chọn B
Ví dụ 3: Cho mặt phẳng (α): 3x- 2y + 2z – 5= 0. Điểm A( 1; -2; 2). Có bao nhiêu mặt phẳng đi qua A và tạo với mặt phẳng (α) một góc 45o
A. Vô số. B. 1. C. 2. D. 4.
Hướng dẫn giải:
Gọi nβ→(a; b;c) là vectơ pháp tuyến của mặt phẳng (β) cần lập.
=> 2( 3a – 2b + 2c)2 = 17 (a2 + b2+ c2)
⇔ a2 - 9b2 – 9c2 - 12ab – 8bc + 12ac = 0
Phương trình trên có vô số nghiệm.
Suy ra có vô số vectơ nβ→(a; b; c) là véc tơ pháp tuyến của (β)
Suy ra có vô số mặt phẳng (β) thỏa mãn điều kiện bài toán
Chọn A.
Ví dụ 4: Trong không gian với hệ tọa độ Oxyz cho điểm M(1; 0;0) và N(0; 0; -1).Mặt phẳng (P) qua điểm M; N và tạo với mặt phẳng (Q): x- y- 4= 0 một góc bằng 45o. Phương trình mặt phẳng (P) là
Hướng dẫn giải:
+ Mặt phẳng (Q) có vecto pháp tuyến là nQ→(1; -1; 0)
+ Mặt phẳng (P) đi qua M(1; 0; 0) và vectơ pháp tuyến n→(a; b; c) với a2+ b2 +c2 > 0 có phương trình là:
a( x - 1) + b(y - 0) + c( z - 0) = 0 hay ax + by+ cz – a= 0
+ Mặt phẳng (P) đi qua điểm N( 0; 0; -1) nên :
a.0+ b.0+ c.(-1) - a= 0 hay –c - a= 0 ⇔ c = -a
+ Hai mặt phẳng (P) và (Q) hợp nhau góc 45o nên :
+ Với a= 0 => c= 0; chọn b= 1
Mặt phẳng (P)đi qua M( 1; 0; 0 ) vecto pháp tuyến (0; 1; 0) nên phương trình (P): y= 0
+ Với a= -2b chọn b= -1 suy ra a= 2
mặt phẳng đi qua M( 1; 0; 0) và vecto pháp tuyến ( 2; -1;-2)
=> Phương trình ( P): 2( x - 1) – 1( y - 0) – 2( z - 0) = 0 hay 2x – y - 2z - 2= 0
Vậy có hai mặt phẳng thỏa mãn là : z = 0 và 2x- y- 2z – 2= 0
Chọn A.
Ví dụ 5: Trong không gian với hệ trục toạ độ Oxyz; cho điểm M( 0; -1; 2) ; N( -1; 1; 3). Gọi (P) là mặt phẳng đi qua M; N và tạo với mặt phẳng (Q): 2x – y – 2z – 2= 0 góc có số đo nhỏ nhất. Điểm A( 1;2; 3) cách mp (P) một khoảng là
Hướng dẫn giải:
+ Mặt phẳng (Q) có vecto pháp tuyến là : nQ→(2; -1; -2)
+ Gọi vecto pháp tuyến của mặt phẳng (P) là : nP→(a; b;c) ( a2+ b2+ c2 > 0)
+ Mặt phẳng (P) có VTPT n→ vuông góc với MN→(-1; 2; 1) nên
-1.a+ 2b+ 1.c= 0 ⇔ a= 2b+ c
=> Vecto pháp tuyến của mặt phẳng ( P) là : nP→(2b+c; b;c)
+ Gọi α là góc tạo bởi (P) và ( Q) , α nhỏ nhất khi cosα lớn nhất.
Ta có
+ Nếu b=0 thì cosα= 0
Khi đó, cos α lớn nhất khi và chỉ khi 2(c/b + 1)2 +3 nhỏ nhất
=> c/b = -1 chọn b = 1=> c= -1 và a= 2b+ c= 1
Vậy mặt phẳng (P) đi qua M( 0; -1; 2) vecto pháp tuyến ( 1; 1; -1) có phương trình là
1( x- 0) +1(y+ 1) - 1(z- 2) = 0 hay x+ y- z + 3= 0.
Do đó
Chọn A.
Bài giảng: Cách viết phương trình mặt phẳng nâng cao - Cô Nguyễn Phương Anh (Giáo viên VietJack)
(199k) Xem Khóa học Toán 12 KNTTXem Khóa học Toán 12 CDXem Khóa học Toán 12 CTST
Xem thêm các dạng bài tập Toán lớp 12 ôn thi Tốt nghiệp có lời giải hay khác:
- 4 dạng bài tập về Hệ tọa độ trong không gian ôn thi Tốt nghiệp (có lời giải)
- 21 dạng bài tập Viết phương trình mặt phẳng ôn thi Tốt nghiệp (có lời giải)
- 19 dạng bài tập Viết phương trình đường thẳng ôn thi Tốt nghiệp (có lời giải)
- 19 dạng bài tập Viết phương trình đường thẳng ôn thi Tốt nghiệp có lời giải (phần 2)
- 4 dạng bài tập Viết phương trình mặt cầu ôn thi Tốt nghiệp (có lời giải)
Đã có app VietJack trên điện thoại, giải bài tập SGK, SBT Soạn văn, Văn mẫu, Thi online, Bài giảng....miễn phí. Tải ngay ứng dụng trên Android và iOS.
Theo dõi chúng tôi miễn phí trên mạng xã hội facebook và youtube:Nếu thấy hay, hãy động viên và chia sẻ nhé! Các bình luận không phù hợp với nội quy bình luận trang web sẽ bị cấm bình luận vĩnh viễn.
- Giải Tiếng Anh 12 Global Success
- Giải sgk Tiếng Anh 12 Smart World
- Giải sgk Tiếng Anh 12 Friends Global
- Lớp 12 Kết nối tri thức
- Soạn văn 12 (hay nhất) - KNTT
- Soạn văn 12 (ngắn nhất) - KNTT
- Giải sgk Toán 12 - KNTT
- Giải sgk Vật Lí 12 - KNTT
- Giải sgk Hóa học 12 - KNTT
- Giải sgk Sinh học 12 - KNTT
- Giải sgk Lịch Sử 12 - KNTT
- Giải sgk Địa Lí 12 - KNTT
- Giải sgk Giáo dục KTPL 12 - KNTT
- Giải sgk Tin học 12 - KNTT
- Giải sgk Công nghệ 12 - KNTT
- Giải sgk Hoạt động trải nghiệm 12 - KNTT
- Giải sgk Giáo dục quốc phòng 12 - KNTT
- Giải sgk Âm nhạc 12 - KNTT
- Giải sgk Mĩ thuật 12 - KNTT
- Lớp 12 Chân trời sáng tạo
- Soạn văn 12 (hay nhất) - CTST
- Soạn văn 12 (ngắn nhất) - CTST
- Giải sgk Toán 12 - CTST
- Giải sgk Vật Lí 12 - CTST
- Giải sgk Hóa học 12 - CTST
- Giải sgk Sinh học 12 - CTST
- Giải sgk Lịch Sử 12 - CTST
- Giải sgk Địa Lí 12 - CTST
- Giải sgk Giáo dục KTPL 12 - CTST
- Giải sgk Tin học 12 - CTST
- Giải sgk Hoạt động trải nghiệm 12 - CTST
- Giải sgk Âm nhạc 12 - CTST
- Lớp 12 Cánh diều
- Soạn văn 12 Cánh diều (hay nhất)
- Soạn văn 12 Cánh diều (ngắn nhất)
- Giải sgk Toán 12 Cánh diều
- Giải sgk Vật Lí 12 - Cánh diều
- Giải sgk Hóa học 12 - Cánh diều
- Giải sgk Sinh học 12 - Cánh diều
- Giải sgk Lịch Sử 12 - Cánh diều
- Giải sgk Địa Lí 12 - Cánh diều
- Giải sgk Giáo dục KTPL 12 - Cánh diều
- Giải sgk Tin học 12 - Cánh diều
- Giải sgk Công nghệ 12 - Cánh diều
- Giải sgk Hoạt động trải nghiệm 12 - Cánh diều
- Giải sgk Giáo dục quốc phòng 12 - Cánh diều
- Giải sgk Âm nhạc 12 - Cánh diều


Giải bài tập SGK & SBT
Tài liệu giáo viên
Sách
Khóa học
Thi online
Hỏi đáp

