(19 dạng) Viết phương trình đường thẳng ôn thi Tốt nghiệp (có lời giải)
19 dạng bài Viết phương trình đường thẳng ôn thi Tốt nghiệp môn Toán với phương pháp giải chi tiết giúp học sinh ôn tập, biết cách làm bài tập Viết phương trình đường thẳng.
- Viết phương trình tham số và phương trình chính tắc của đường thẳng d biết d đi qua điểm M và có vectơ chỉ phương u→ = (a; b; c)
- Viết phương trình đường thẳng d là giao tuyến của hai mặt phẳng cắt nhau (P) và (Q) hoặc đường thẳng d đi qua M và song song với 2 mặt phẳng cắt nhau (P) và (Q)
- Viết phương trình đường thẳng d đi qua điểm M, song song với mặt phẳng (P) và vuông góc với đường thẳng d’ (d’ không vuông góc với (P))
- Viết phương trình đường thẳng d đi qua một điểm M; nằm trong mặt phẳng (P) và vuông góc với đường thẳng ∆ (hoặc song song với mặt phẳng (Q) )
- Viết phương trình đường thẳng ∆ đi qua A; cắt d và song song với mặt phẳng (P)
- Viết phương trình đường thẳng d đi qua điểm M và vuông góc với hai đường thẳng d1 và d2 (d1 và d2 là hai đường thẳng chéo nhau)
- Viết phương trình đường thẳng d đi qua điểm M đồng thời cắt cả hai đường thẳng d1 và d2
- Viết phương trình đường thẳng d đi qua điểm A, vuông góc với đường thẳng d1 và cắt đường thẳng d2
- Viết phương trình đường thẳng d đi qua điểm A, vuông góc với đường thẳng d1 và cắt đường thẳng d1
- Viết phương trình đường thẳng d nằm trong mp (P) đồng thời cắt cả hai đường thẳng d1 và d2
(19 dạng) Viết phương trình đường thẳng ôn thi Tốt nghiệp (có lời giải)
(199k) Xem Khóa học Toán 12 KNTTXem Khóa học Toán 12 CDXem Khóa học Toán 12 CTST
Bài giảng: Cách viết phương trình đường thẳng cơ bản - Cô Nguyễn Phương Anh (Giáo viên VietJack)
Viết phương trình tham số và phương trình chính tắc của đường thẳng d biết d đi qua điểm M và có vectơ chỉ phương u→ = (a; b; c)
1. Phương pháp giải
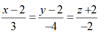
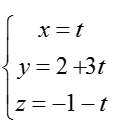
Nếu đường thẳng d đi qua điểm M(xo; yo; zo) và vecto chỉ phương u→ ( a; b; c) thì
+ Phương trình tham số của đường thẳng d:
+ Phương trình chính tắc của đường thẳng d ( với a.b.c ≠ 0 ) là:
* Chú ý:
+ Nếu đường thẳng d đi qua điểm M và vuông góc với mặt phẳng (α) thì vectơ chỉ phương của đường thẳng d cùng phương với vectơ pháp tuyến của mặt phẳng (α) vì d ⊥(α)
+ Nếu đường thẳng d// ∆ thì đường thẳng d nhận vecto ud→ = uΔ→ làm vecto chỉ phương .
2. Ví dụ minh họa
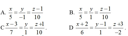
Ví dụ 1: Cho đường thẳng ∆ biết ∆ đi qua A (2 ; 1 ; 5) và có vectơ chỉ phương u→=(1;1;2). Tìm mệnh đề đúng
A. Phương trình chính tắc của đường thẳng d:
B. Phương trình tham số của đường thẳng d:
C. Phương trình tham số của đường thẳng d:
D. Phương trình chính tắc của đường thẳng d:
Hướng dẫn giải:
Phương trình tham số của đường thẳng ∆ là:
Trong đó t là tham số
Phương trình chính tắc của đường thẳng ∆ là:
Chọn B.
Ví dụ 2: Trong không gian với hệ trục tọa độ Oxyz; cho đường thẳng ∆ đi qua A(1;0; -1) và vuông góc với mặt phẳng (P): 2x - y + z + 9 = 0. Tìm mệnh đề đúng?
A. Vậy phương trình tham số của ∆ là
B. Phương trình chính tắc của ∆ là
C. Vậy phương trình tham số của ∆ là:
D. Phương trình chính tắc của ∆ là
Hướng dẫn giải:
Vì đường thẳng ∆ vuông góc với mặt phẳng (α) nên vectơ chỉ phương của ∆ là:
u∆→ = nα→ = (2; -1;1)
Vậy phương trình tham số của ∆ là
Phương trình chính tắc của ∆ là
Chọn A.
Ví dụ 3: Trong không gian với hệ trục tọa độ Oxyz cho đường thẳng d biết d đi qua A (1; 2; 3) và song song với (d’): . Tìm mệnh đề sai
A. Một vecto chỉ phương của đường thẳng d là u→ ( -4; 4; 2)
B. Vậy phương trình tham số của d là
C. Phương trình chính tắc của d là
D. đường thẳng d không có phương trình chính tắc
Hướng dẫn giải:
Vì đường thẳng d // d’ nên vectơ chỉ phương của d là: ud→ = ud'→ = ( 2; -2; -1)
Vậy phương trình tham số của d là
Phương trình chính tắc của d là
Chọn D.
Ví dụ 4: Trong không gian với hệ trục tọa độ Oxyz; cho đường thẳng d biết d đi qua A (0; 2; -1) và song song với (d’): . Tìm mệnh đề sai ?
A. Điểm M(2; 8; - 3) thuộc đường thẳng d.
B. Phương trình tham số của đường thẳng d:
C. Đường thẳng d song song với mặt phẳng (P) : x+ 3y- z+ 10= 0
D. Phương trình chính tắc của đường thẳng d:
Hướng dẫn giải:
Vì đường thẳng d // d’ nên vectơ chỉ phương của d là: ud→ = ud'→ = ( 1; 3; -1)
Vậy phương trình tham số của d là
Cho t= 2 ta được điểm M ( 2; 8; -3) thuộc đường thẳng d
Phương trình chính tắc của d là:
Mặt phẳng (P): x+ 3y – z+ 10= 0 có vecto pháp tuyến n→( 1; 3; -1)
=> Vecto chỉ phương của đường thẳng d là vecto pháp tuyến của măt phẳng (P)
=> đường thẳng d vuông góc với mặt phẳng (P).
=> C sai
Chọn C.
Dạng 2.Viết phương trình đường thẳng d là giao tuyến của hai mặt phẳng cắt nhau (P) và (Q) hoặc đường thẳng d đi qua M và song song với 2 mặt phẳng cắt nhau (P) và (Q).
1. Phương pháp giải
Cách 1:
+ Cả hai trường hợp đều suy ra ud→⊥nP→ và ud→⊥nQ→
Mà (P) và (Q) cắt nhau nên VTCP của d là ud→⊥ [nP→; nQ→]
+ Tìm một điểm M thuộc đường thẳng d.
+ Đường thẳng d đi qua M và nhận vecto ud→⊥ [nP→; nQ→] làm vecto chỉ phương
=> phương trình tham số và phương trình chính tắc của đường thẳng
Cách 2:
Nếu d là giao tuyến của hai mặt phẳng cắt nhau (P) và (Q) thì với mỗi điểm
M ( x; y;z) thuộc d là nghiệm của hệ phương trình:
phương trình (P) và Phương trình (Q) (*)
Đặt x= t ( hoặc y = t hoặc z = t) thay vào hệ (*) rồi rút y; z theo t
Từ đó suy ra phương trình của đường thẳng d.
2. Ví dụ minh họa
Ví dụ 1: Trong không gian với hệ tọa độ Oxyz; gọi d là giao tuyến của hai mặt phẳng (α): x- 3y + z = 0 và (α’): x+y – z +4 = 0. Viết phương trình tham số của đường thẳng d
Hướng dẫn giải:
Ta tìm một điểm thuộc đường thẳng d bằng cách cho y = 0 trong hệ (*)
Ta có hệ
Vậy điểm Mo( -2; 0; 2) thuộc đường thẳng d.
Do uα→ ( 1;-3; 1); n'α→( 1; 1; -1)
Vectơ chỉ phương của đường thẳng d là u→(1;1;2)
Chọn 1 vectơ chỉ phương của đường thẳng d là u→(1; 1;2)
Vậy phương trình tham số của d là:
Chọn C.
Ví dụ 2: Trong không gian với hệ tọa độ Oxyz; gọi d là giao tuyến của mặt phẳng (P): y – 2z + 3 = 0 và mặt phẳng tọa độ (Oyz).
Hướng dẫn giải:
Mặt phẳng (Oyz) có phương trình x= 0
Điểm M (x; y; z)∈ d khi tọa độ của M là nghiệm của hệ phương trình:
Đặt z= t ta được: là phương trình đường thẳng d
Chọn A.
Ví dụ 3: Viết phương trình đường thẳng d đi qua A (1; 2; - 1) và song song với đường thẳng giao tuyến của hai mặt phẳng (α):x+ y - z + 3= 0 và (α’): 2x – y+ 5z – 4= 0
Hướng dẫn giải:
Vecto pháp tuyến của hai mặt phẳng là: nα→(1; 1; -1); nα'→(2; -1; 5)
Vectơ chỉ phương của đường thẳng d là
Vậy phương trình đường thẳng d là
Chọn A.
Ví dụ 4: Viết phương trình đường thẳng d là giao tuyến của hai mặt phẳng (α): 2x+ y + 1= 0 và (β): x- y + z – 1 = 0
Hướng dẫn giải:
Vecto pháp tuyến của hai mặt phẳng nα→(2; 1; 0) và nβ→(1; -1; 1)
Vectơ chỉ phương của đường thẳng d là
Điểm M (x; y; z) ∈ d khi đó tọa độ của M là nghiệm của hệ phương trình:
Ta tìm một điểm thuộc đường thẳng d bằng cách cho x = 0 trong hệ (*)
Ta có hệ
Vậy điểm Mo (0; -1; 0) thuộc đường thẳng d.
Vậy phương trình đường thẳng d là
Chọn C.
Ví dụ 5: Trong không gian với hệ tọa độ Oxyz; cho đường thẳng ∆ là giao tuyến của hai mặt phẳng (α): x - 2y – z + 10= 0 và (β): 2x+2y – 3z – 40= 0 . Phương trình đường thẳng d đi qua điểm M(2; 3; 1) và song song với đường thẳng ∆ là
Hướng dẫn giải:
Mặt phẳng (α) có vec tơ pháp tuyến nα→(1; -2; -1)
Mặt phẳng (β) có vec tơ pháp tuyến nβ→(2; 2; -3)
Đường thẳng d đi qua điểm M và có vectơ chỉ phương là ud→ = [nα→;nα→] =( 8;1; 6)
Vậy phương trình của d là:
Chọn D.
Dạng 3. Viết phương trình đường thẳng d đi qua điểm M, song song với mặt phẳng (P) và vuông góc với đường thẳng d’ (d’ không vuông góc với (P)).
1. Phương pháp giải
Do đường thẳng song song với mặt phẳng ( P) và vuông góc với đường thẳng d’ nên
Suy ra ud→⊥nP→ và ud→⊥ ud'→
Mà d’ không vuông góc với (P)
Nên VTCP của d là ud→ = [nP→;ud'→]
+ Đường thẳng d đi qua điểm M( đã biết) và nhận vecto ud→ làm vecto chỉ phương
=> phương trình tham số và phương trình chính tắc của đường thẳng d.
2. Ví dụ minh họa
Ví dụ 1: Viết phương trình đường thẳng d đi qua điểm M (1; 2; -1), song song với mặt phẳng (P): x + y – z = 3 và vuông góc với đường thẳng d’:
Hướng dẫn giải:
Vecto pháp tuyến của mặt phẳng (P) là nP→(1; 1; -1)
Vecto chỉ phương của đường thẳng d’ là: ud'→(1; 3; 2)
Do đường thẳng d song song với mặt phẳng (P) và vuông góc với đường thẳng d’ nên một vecto chỉ phương của đường thẳng d là: u→ = [nP→; ud'→] =( 5; -3; 2)
d đi qua điểm M (1; 2; -1)
Vậy phương trình đường thẳng d là
Chọn B.
Ví dụ 2: Viết phương trình đường thẳng d đi qua điểm M (0; 1; 2), song song với mặt phẳng (Oxy) và vuông góc với đường thẳng
Hướng dẫn giải:
Phương trình mặt phẳng (Oxy) là: z= 0; vecto pháp tuyến của mặt phẳng này là nOxy→(0; 0; 1)
Vecto chỉ phương của đường thẳng d’ là ud'→(1; -2; 1)
Do đường thẳng d song song với mặt phẳng (Oxy) và vuông góc với đường thẳng d’ nên một vecto chỉ phương của đường thẳng d là: u→ = [ud'→;nOxy→] = ( 2; 1; 0)
d đi qua điểm M (0; 1; 2)
Vậy phương trình đường thẳng d là
Chọn C.
Ví dụ 3: Trong không gian với hệ tọa độ Oxyz ; cho mặt phẳng (P) : y- 2z- 1= 0 và đường thẳng ∆ : . Phương trình chính tắc đường thẳng d đi qua điểm B( 2 ; 2 ; - 2) song song với (P) và vuông góc với ∆ là
Hướng dẫn giải:
Dường thẳng ∆ có vectơ chỉ phương u∆→(2 ; 1 ;1)
Mặt phẳng (P) có vectơ pháp tuyến nP→(0 ; 1 ; - 2).
Gọi ud→ là vectơ chỉ phương của d.
Do đường thẳng d song song với mặt phẳng (P) và vuông góc với đường thẳng ∆ nên một vecto chỉ phương của đường thẳng d là: ud→= [nP→; uΔ→] = ( 3;-4; -2)
Vậy phương trình chính tắc của d là:
Chọn D.
Ví dụ 4: Trong không gian với hệ tọa độ Oxyz; cho mặt phẳng (P): x- 2y+ 2z- 5= 0 và hai điểm A(0; 0; 1); B( 1; -1; 3). Trong các đường thẳng đi qua A và song song với (P), đường thẳng mà khoảng cách từ B đến đường thẳng đó là nhỏ nhất có phương trình là.
Hướng dẫn giải:
Gọi d là đường thẳng cần tìm
+ Gọi mặt phẳng (Q) qua A( -3; 0;1) và song song với (P).
Khi đó: (Q) có dạng: x- 2y+ 2z + D= 0
Thay tọa độ điểm A vào phương trình ( Q) ta được : -3- 2.0+ 2.1+ D= 0
=> D = 1
Vậy phương trình ( Q): x- 2y + 2z +1= 0
+ Gọi K; H lần lượt là hình chiếu của B lên d; (Q).
Ta có: d( B; d) = BK ≥BH
Do đó AH là đường thẳng cần tìm.
+ Mặt phẳng ( Q) có vectơ pháp tuyến nQ→(1; -2; 2)
BH qua B và có vectơ chỉ phương uBH→ = nQ→(1; -2; 2)
=> Phương trình đường thẳng BH là:
Do H ∈ BH nên H( 1+ t; - 1- 2t; 3+ 2t). Do H thuộc mp (P) nên
1+ t – 2(- 1- 2t) + 2( 3+ 2t ) – 5= 0 => t= -4/9
Do đó H(5/9; -1/9; 19/9)
+ Đường thẳng d đi qua điểm A(0; 0; 1) và có vectơ chỉ phương
ud→ = AH→ = 1/9(5;-1;10)
Vậy phương trình của d là
Chọn A.
Ví dụ 5: Trong không gian với hệ tọa độ Oxyz; cho mặt phẳng (P): x- 2y+ 2z- 5= 0; điểm A(2;1; 1); B( -1; 2; 3) . Mặt phẳng (Q) song song với mặt phẳng (P) và đi qua A. Viết phương trình đường thẳng d đi qua M(1;0; 0) đồng thời song song với (P) và vuông góc với đường thẳng OB?
Hướng dẫn giải:
+ Mặt phẳng (Q) qua A(2; 1;1) và song song với (P).
Khi đó (Q) có dạng: x- 2y+ 2z + D= 0
Thay tọa độ điểm A vào phương trình ( Q) ta đưọc: 2- 2.1 + 2.1+ D= 0
=> D = - 2
Vậy phương trình ( Q): x- 2y +2z - 2= 0
Mặt phẳng ( Q) có vecto pháp tuyến n→(1; -2; 2)
+ Đường thẳng OB có vecto chỉ phương là OB→( -1; 2; 3)
+ Đường thẳng d đi qua điểm M(1;0 ; 0) và có vectơ chỉ phương là :
u→ = [n→; OB→] = ( -10; 5; 0) = - 5( 2; -1; 0)
Vậy phương trình của d là
Chọn C.
Dạng 4. Viết phương trình đường thẳng d đi qua một điểm M; nằm trong mặt phẳng (P) và vuông góc với đường thẳng ∆ (hoặc song song với mặt phẳng (Q) ).
1. Phương pháp giải
+ Tìm vecto chỉ phương của đường thẳng ∆: u∆→
+ Tìm vecto pháp tuyến của mặt phẳng (P) và (Q): nP→; nQ→
+ Trong cả hai trường hợp ta đều có một vecto chỉ phương của đường thẳng d là:
u→ = [u∆→; nP→] hoặc [nP→; nQ→]
+ Khi đó; đường thẳng d: đi qua điểm M và có vecto chỉ phương u→
=> phương trình đường thẳng d:
2. Ví dụ minh họa
Ví dụ 1: Trong không gian với hệ tọa độ Oxyz; cho đường thẳng ∆: và mặt phẳng (P): x- 2y+ 3z+ 10 = 0. Viết phương trình đường thẳng d đi qua M( 1; -1; 1); nằm trong mặt phẳng (P) và vuông góc với đường thẳng ∆?
Hướng dẫn giải:
+ Đường thẳng ∆ có vecto chỉ phương u∆→( 1; 2; -1)
Mặt phẳng ( P) có vecto pháp tuyến n→( 1; -2; 3).
+ Do đường thẳng d nằm trong mặt phẳng (P) và vuông góc với đường thẳng ∆ nên một vecto chỉ phương của đường thẳng d là:
u→ = [u∆→; n→] = ( 4; - 4; - 4) chọn ( 1; -1; -1) .
=> Phương trình đường thẳng d cần tìm
Chọn B.
Ví dụ 2: Trong không gian với hệ tọa độ Oxyz; cho đường thẳng ∆ : và mặt (P): x+ 2y – 3z+ 4= 0. Phương trình tham số của đường thẳng d nằm trong (P) , cắt và vuông góc đường thẳng ∆ là:
Hướng dẫn giải:
+ Tìm giao điểm M của ∆ và mặt phẳng ( P):
Điểm M( - 2+ t; 2+ t;- t) thuộc ∆.
Thay tọa độ M vào phương trình (P) ta được:
- 2+ t+ 2(2+ t) – 3( - t) + 4= 0 ⇔ - 2+ t + 4 + 2t + 3t + 4= 0
⇔ 6t+ 6= 0 nên t= -1 => M ( - 3; 1; 1)
+ Mặt phẳng (P) có vectơ pháp tuyến uP→( 1; 2;-3)
+ Đường thẳng ∆ có vectơ chỉ phương u∆→( 1; 1; -1)
+ Do đường thẳng d nằm trong mặt phẳng (P)và vuông góc với đường thẳng ∆ nên một vecto chỉ phương của đường thẳng d là : u→=[nP→;u∆→] = (1; -2; -1)
+ Đường thẳng d đi qua điểm M( -3; 1; 1) và có vectơ chỉ phương là u→ = (1; -2; -1)
Vậy phương trình tham số của d là:
Chọn B.
Ví dụ 3: Trong không gian với hệ tọa độ Oxyz; cho đường thẳng d: và mặt phẳng (P): 2x+ y- 2z + 9= 0. Gọi A là giao điểm của d và (P). Phương trình tham số của đường thẳng ∆ nằm trong (P), đi qua điểm A và vuông góc với d là
Hướng dẫn giải:
+ Điểm A là giao điểm của đường thẳng d và (P).
=> Tọa độ A( 1- t; - 3+ 2t; 3+ t)
Thay tọa độ điểm A vào phương trình mặt phẳng (P) ta được :
2( 1- t) + ( -3+ 2t) – 2( 3+ t) + 9= 0
⇔ 2- 2t- 3+ 2t – 6 – 2t + 9= 0 ⇔ - 2t+ 2= 0
⇔ t= 1 nên A(0; -1; 4)
+ Mặt phẳng ( P) có vectơ pháp tuyến nP→( 2; 1; - 2)
+ Đường thẳng d có vectơ chỉ phương ud→( -1;2; 1)
+ Do đường thẳng ∆ nằm trong (P) và vuông góc với d nên một vecto chỉ phương của ∆ là:
u→ = [nP→;ud→] = (5; 0; 5) chọn ( 1; 0;1)
+ Đường thẳng ∆ đi qua điểm A(0; - 1; 4) và có vectơ chỉ phương là ( 1; 0;1)
Vậy phương trình tham số của ∆
Chọn C.
Ví dụ 4: Trong không gian với hệ tọa độ Oxyz; cho hai điểm A( -1; -1; -1) và B(1;2;0). Mặt phẳng (P): 3x- 2y+ z- 10= 0 . Đường thẳng d đi qua M( -1; 2;2) nằm trong mặt phẳng (P) và vuông góc với đường thẳng AB. Trong các đường thẳng sau đường thẳng nào song song với đường thẳng d?
Hướng dẫn giải:
+ Đường thẳng AB có vecto chỉ phương AB→( 2; 3; 1)
+ Mặt phẳng (P) có vecto pháp tuyến n→(3; -2; 1) .
+ Do đường thẳng d nằm trong mặt phẳng (P) và vuông góc với đường thẳng AB nên một vecto chỉ phương của đường thẳng d là [AB→; n→] = (5; 1; -13)
=> Phương trình đường thẳng d:
=> Đường thẳng d’: song song với đường thẳng d( có cùng vecto chỉ phương và điểm M không thuộc đường thẳng d’) .
Chọn A.
Dạng 5. Viết phương trình đường thẳng ∆ đi qua A; cắt d và song song với mặt phẳng (P)
1. Phương pháp giải
+ Gọi giao điểm của đường thẳng d và ∆ là M
=> Tọa độ của M( ..) ( theo tham số t; dựa vào phương trình đường thẳng d) .
=> Đường thẳng ∆ nhận vecto AM→( ....) làm vecto chỉ phương.
+ Mặt phẳng (P) có vecto pháp tuyến n→
+ Do đường thẳng ∆ song song với mặt phẳng (P) nên ta có; n→.u→ = 0 => Phương trình ẩn t
=> t=...=> tọa độ điểm M
2. Ví dụ minh họa
Ví dụ 1: Trong không gian với hệ tọa độ Oxyz; cho điểm A(1; 2; -1) và đường thẳng d: . Phương trình đường thẳng đi qua điểm A, cắt d và song song với mặt phẳng (Q): x+ y- z+ 3= 0 là:
Hướng dẫn giải:
Gọi ∆ là đường thẳng cần tìm
+ Gọi giao điểm của hai đường thẳng d và ∆ là B .
Do B thuộc d nên B( 3+ t; 3+ 3t; 2t) => AB→( 2+ t;1+ 3t; 2t+ 1)
+ Mặt phẳng ( Q) có vectơ pháp tuyến nQ→( 1; 1; -1)
+ Do đường thẳng ∆ song song với mặt phẳng (Q) nên AB→⊥nQ→
=> AB→. nQ→ ⇔ 1( 2+ t)+ 1( 1+ 3t)- 1( 2t+ 1) = 0
⇔ 2+ t+1+ 3t – 2t- 1= 0 ⇔ 2t + 2= 0
⇔ t= - 1
+ Đường thẳng ∆ đi qua A( 1; 2; -1) và nhận vecto AB→(1; - 2; - 1) làm vecto chỉ phương nên phương trình của ∆ là:
Chọn A.
Ví dụ 2: Cho hai điểm A( 1;1;0) và B( 2; -1; 2). Viết phương trình đường thẳng d đi qua M(1;0;0) cắt đường thẳng AB và song song với mặt phẳng (P): 2x+ y+ z- 1= 0.
Hướng dẫn giải:
+ Đường thẳng AB: đi qua A( 1; 1;0); nhận vectơ AB→(1; -2; 2) làm vecto chỉ phương
=> Phương trình AB:
+ Gọi giao điểm của đường thẳng d và AB là H(1+ t; 1-2t;2t)
+ đường thẳng d nhận vecto MH→( t; 1- 2t; 2t ) làm vecto chỉ phương .
+ Mặt phẳng (P) nhận vecto n→( 2; 1;1) làm vecto pháp tuyến.
+ Do đường thẳng d song song với mặt phẳng (P) nên MH→.n→ = 0 ⇔ 2t + 1( 1- 2t) + 1.2t= 0
⇔ 2t+ 1= 0 ⇔ t= 1/2 => H(3/2;0;1)
+ Đường thẳng d đi qua M( 1; 0;0) và nhận vecto MH→(1/2;0;1) làm vecto chỉ phương; chọn vecto ( 1; 0; 2)
=> Phương trình đường thẳng d:
Chọn D.
Ví dụ 3: Cho đường thẳng d: ba điểm A(1;1;1); B( -2; 1; -1) và C( 1; 0;2). Viết phương trình đường thẳng ∆ qua O cắt d và song song với mặt phẳng (ABC)
Hướng dẫn giải:
+ Ta có: AB→(-3; 0; -2); BC→(3; -1; 3)
Mặt phẳng (ABC) nhận vecto n→[AB→;BC→] = ( -2; 3;3) làm vecto pháp tuyến.
+ Gọi giao điểm của đường thẳng d và ∆ là M( 1-t; 2t; 2+ t)
Đường thẳng ∆ nhận vecto OM→( 1-t; 2t; 2+t) làm vecto chỉ phương
+ Do đường thẳng d song song với mặt phẳng (ABC) nên: n→. OM→ = 0
⇔ -2(1- t) + 3.2t + 3.( 2+ t) = 0 ⇔ - 2+ 2t+ 6t+ 6+ 3t = 0
⇔ 11t+ 4= 0 ⇔ t = -4/11
+ Đường thẳng OM: qua O nhận vecto OM→(15/11; -8/11; 18/11) làm VTCP chọn n→(15; - 8;18)
=> Phương trình OM:
Chọn B.
Ví dụ 4: Cho đường thẳng d: và mặt phẳng (P): 2x- 3y- 1= 0. Viết phương trình đường thẳng ∆ đi qua M( -2; 1; 3) cắt đường thẳng d và song song với mặt phẳng (P).
Hướng dẫn giải:
+ Mặt phẳng (P) có vecto pháp tuyến n→(2; -3; 0).
+ Gọi giao điểm của đường thẳng d và ∆ là A( 1+2t; - 2+ t;1- t).
+ Đường thẳng ∆ nhận vecto MA→( 3+ 2t; - 3+ t; -2- t) làm vecto chỉ phương.
Do đường thẳng ∆ song song với mặt phẳng (P) nên MA→.n→ = 0
⇔ 2( 3+ 2t) – 3( - 3+ t) + 0( - 2- t) = 0
⇔ 6+ 4t+ 9 – 3t = 0 ⇔t= -15
+ Đường thẳng ∆: đi qua M( -2; 1; 3) và nhận vecto MA→(- 27; -18; 13) làm vecto chỉ phương nên phương trình
Chọn A.
Ví dụ 5: Cho mặt phẳng (P) chứa đường thẳng d1 : và song song với d2:
. Đường thẳng d có phương trình:
. Gọi đường thẳng ∆ đi qua M( 0; -1; 1); cắt d và song song với (P). Tìm giao điểm của đường thẳng d và ∆?
A. ( - 4; 2; -6) B. (1; 2; - 1) C. ( 0; 2; - 2) D. (6; 2; 4)
Hướng dẫn giải:
+ Đường thẳng d1 có vecto chỉ phương u1→(-1; 2; 2) và đi qua A(-1; 2; 2)
+ Đường thẳng d2 có vecto chỉ phương u2→(1; -1; 1)
=> Mặt phẳng (P) có vecto pháp tuyến n→= [u1→; u2→] = ( 4; 3; -1).
+ Gọi giao điểm của d và ∆ là H( 3- t; 2; 1- t )
Đường thẳng ∆ nhận vecto MH→(3- t; 3; - t ) làm vecto chỉ phương.
+ Do đường thẳng ∆ song song với (P) nên: n→. MH→ = 0
⇔ 4(3- t)+ 3. 3 – 1( -t) = 0
⇔ 12- 4t +9 + t= 0 ⇔ 21- 3t= 0 ⇔t= 7
=> Giao điểm của đường thẳng d và ∆ là H( - 4; 2; - 6)
Chọn A.
Dạng 6. Viết phương trình đường thẳng d đi qua điểm M và vuông góc với hai đường thẳng d1 và d2 (d1 và d2 là hai đường thẳng chéo nhau).
1. Phương pháp giải
+ Gọi ud→; ud1→; ud2→ lần lượt là vecto chỉ phương của đườg thẳng d; d1 và d2
+ Do đường thẳng d vuông góc với cả hai đường thẳng d1 và d2 nên ud→⊥ud1→; ud→⊥ud2→
+ Mà d1 và d2 chéo nhau
=> Vecto chỉ phương của d là ud→ = [ud1→; ud2→]
Sau đó, áp dụng định nghĩa phương trình tham số và phương trình chính tắc của đường thẳng
2. Ví dụ minh họa
Ví dụ 1: Viết phương trình đường thẳng d đi qua A (2; -1; 1) và vuông góc với hai đường thẳng lần lượt có vectơ chỉ phương là u1→(-1; 1; -2) và u2→(1; -2; 0)
Hướng dẫn giải:
Do đường thẳng d vuông góc với 2 đường thẳng lần lượt có vecto chỉ phương là u1→; u2→ nên một vectơ chỉ phương của đường thẳng d là u→= [u1→; u2→] = (-4; -2; 1)
d đi qua điểm A (2; -1; 1)
Vậy phương trình đường thẳng d là
Chọn A.
Ví dụ 2: Viết phương trình đường thẳng d đi qua A (1; 2; 3) và vuông góc với hai đường thẳng
Hướng dẫn giải:
+ Vecto chỉ phương của hai đường thẳng d1; d2 lần lượt là u1→( 2; -1; 1) và u2→(-1; 2; 1)
+ Do đường thẳng d vuông góc với 2 đường thẳng lần lượt có vecto chỉ phương là u1→; u2→
Nên 1 VTCP của đường thẳng d là ud→ = [u1→; u2→] = (- 3; -3; 3), chọn VTCP (-1; -1; 1)
Mà d đi qua điểm A (1; 2; 3) nên phương trình đường thẳng d là
Chọn C
Ví dụ 3: Trong không gian với hệ tọa độ Oxyz ; cho hai điểm A(1 ;-1 ;1) ; B(-1 ; 2 ; 3) và đường thẳng ∆ : . Phương trình đường thẳng d đi qua điểm A, đồng thời vuông góc với hai đường thẳn AB và ∆ là
Hướng dẫn giải:
Ta có: AB→( -2; 3; 2).
Đường thẳng ∆ có vectơ chỉ phương u∆→( -2; 1; 3)
Do đường thẳng d vuông góc với hai đường thẳng AB và ∆ nên một vecto chỉ phương của đường thẳng d là: u→ = [u∆→; AB→] = ( -7;-2; -4) chọn vecto ( 7;2; 4)
Vậy phương trình chính tắc của d là:
Chọn B.
Ví dụ 4: Trong không gian với hệ tọa độ Oxyz; cho hai đường thẳng . Phương trình đường thẳng ∆ đi qua điểm A(0;2; 0) và vuông góc với hai đường thẳng d1; d2 là
Hướng dẫn giải:
Đường thẳng d1 có vectơ chỉ phương u1→( 2; 1; 4)
Đường thẳng d2 có vectơ chỉ phương u2→(1;0; 2)
Do đường thẳng ∆ vuông góc với hai đường thẳng d1 và d2 nên một vecto chỉ phương của đường thẳng ∆ là: u→ = [u1→; u2→] = ( 2;0;-1)
Vậy phương trình tham số của ∆ là
Chọn C.
Dạng 7. Viết phương trình đường thẳng d đi qua điểm M đồng thời cắt cả hai đường thẳng d1 và d2
1. Phương pháp giải
Cách 1:
• Bước 1: Viết phương trình mặt phẳng α đi qua điểm M và chứa đường thẳng d1
• Bước 2: Tìm giao điểm A = α ∩ d2
• Bước 3: Đường thẳng cần tìm là đường thẳng đi qua 2 điểm M, A
Cách 2:
• Bước 1: Viết phương trình mặt phẳng (α) đi qua điểm M và chứa đường thẳng d1
• Bước 2: Viết phương trình mặt phẳng (β) đi qua điểm M và chứa đường thẳng d2
• Bước 3: Đường thẳng cần tìm d = α ∩ β
Cách 3:
Gọi A, B lần lượt là giao điểm của d và d1, d và d2
Đường thẳng d đi qua M nên A, B, M thẳng hàng
=> MA→; MB→ cùng phương nên MA→ = k.MB→
2. Ví dụ minh họa
Ví dụ 1: Trong không gian với hệ tọa độ Oxyz. Cho đường thẳng . Viết phương trình đường thẳng ∆ đi qua điểm A(0; 2; -4) và cắt hai đường thẳng d1 và d2
Hướng dẫn giải:
+ Gọi (P) là mặt phẳng đi qua A và chứa d1
Đường thẳng d1 qua B( 2 ; 1 ; -1) và có vecto chỉ phương ud1→(2 ;-2 ; 4)
Ta có AB→(2 ; -1 ;3)
Mặt phẳng (P) có một vecto phap tuyến là [ud1→; MA→] = (-2 ; 2 ; 2)
+ Gọi (Q) là mặt phẳng đi qua A và chứa d2
Đường thẳng d2 qua C(-1; 3; -2) và có vecto chỉ phương ud2→(-2; 3;-1)
Ta có: AC→(- 1; 1;2)
Mặt phẳng (Q) có một vecto phap tuyến là [ud2→; AC→] = ( 7; 5; 1)
+ Khi đó đường thẳng ∆ cần tìm là giao tuyến của hai mặt phẳng (P) và (Q).
=> Một vecto chỉ phương của đường thẳng ∆ là [nP→; nQ→] = (-8; 16; -24) = -8( 1; -2; 3)
Do vậy phương trình ∆ là:
Chọn A.
Ví dụ 2: Phương trình đường thẳng ∆ đi qua và cắt cả hai đường thẳng là :
Hướng dẫn giải:
Chọn D
+ Gọi (P) là mặt phẳng chứa đường thẳng d và đi qua điểm A.
Đường thẳng d đi qua điểm B( 1;0 ;3) và có vecto chỉ phương u1→( 2 ; 1 ; -1)
Ta có AB→(0 ;1 ; 2)
Mặt phẳng (P) có một vecto pháp tuyến là n1→ = [u1→; AB→] = ( 3 ; -4 ; 2).
+ Gọi (Q) =là mặt phẳng đi qua A và chứa d’
Đường thẳng d’ qua C( 0; -1; 2) và có vecto chỉ phương u2→(1; -2; 1)
Ta có AC→( -1; 0; 1)
Mặt phẳng (Q) có một vecto pháp tuyến là n2→ = [u2→; AC→] = ( -2 ; -2 ; -2)
+ Đường thẳng ∆ là giao tuyến của hai mặt phẳng (P) và (Q) nên đường thẳng ∆ có vectơ chỉ phương là [n1→;n2→] = (12; 2; -14) = 2( 6; 1; -7) và đi qua A nên có phương trình tham số là:
Chọn D.
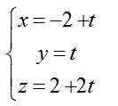
Ví dụ 3: Viết phương trình đường thẳng d đi qua M (1; 1; 0) và cắt hai đường thẳng:
Hướng dẫn giải:
Chọn A.
- Một điểm thuộc d1 là : A (1; 0; 0)
=> MA→(0; -1; 0)
Mặt phẳng α đi qua điểm M và chứa đường thẳng d1 có VTPT là uα→ = [MA→; ud1→] = (0; 0; 1)
Phương trình mặt phẳng α là:
0.(x – 1) + 0. (y – 1) + 1. (z – 0) = 0 hay z = 0
- Giao điểm B = α ∩ d2 là (0; 0; 0)
- Đường thẳng cần tìm là đường thẳng đi qua 2 điểm M, B
Vectơ chỉ phương của d là BM→(1;1; 0)
Vậy phương trình đường thẳng d là:
Ví dụ 4: Viết phương trình đường thẳng d biết d đi qua điểm A (1; 2; 3) và cắt hai đường thẳng
Hướng dẫn giải:
- Đường thẳng d1 có vecto chỉ phương ud1→(2; -2; 1). Một điểm M thuộc d1 là M (0; -1; 2)
=> MA→(1; 3; 1)
Mặt phẳng α đi qua điểm A và chứa đường thẳng d1 có vectơ pháp tuyến là:
nα→ = [MA→; u1→] = ( 5;1; -8)
- Đường thẳng d2 có vecto chỉ phương u2→(4; 0; 3). Một điểm thuộc d2 là N (0; -2; 0)
=> NA→( 1; 4; 3)
Mặt phẳng β đi qua điểm A và chứa đường thẳng d2 có VTPT là nβ→ = [NA→; u2→] =(12; 9; -16)
- Đường thẳng cần tìm d = (α) ∩ (β)
Vectơ chỉ phương của d là ud→ = [nα→; nβ→] = ( 56, -16, 33)
Vậy phương trình đường thẳng d là:
Chọn B.
Dạng 8. Viết phương trình đường thẳng d đi qua điểm A, vuông góc với đường thẳng d1 và cắt đường thẳng d2.
1. Phương pháp giải
Cách 1:
- Viết PT mặt phẳng (P) đi qua A và vuông góc với đường thẳng d1
- Tìm giao điểm B = (P) ∩ d2
- Đường thẳng cần tìm là đường thẳng đi qua 2 điểm A, B
Cách 2:
- Viết PT mặt phẳng (P) đi qua A và vuông góc với đường thẳng d1
- Viết PT mặt phẳng (Q) đi qua A và chứa đường thẳng d2
- Đường thẳng d cần tìm là d = (P) ∩ (Q)
2. Ví dụ minh họa
Ví dụ 1: Trong không gian với hệ tọa độ Oxyz, cho điểm A( 1; - 1; 3) và hai đường thẳng .Viết phương trình đường thẳng d đi qua điểm A vuông góc với đường thẳng d1 và cắt đường thẳng d2.
Hướng dẫn giải:
+ Gọi ( P) là mặt phẳng qua A vuông góc với đương thẳng d1.
Đường thẳng d1 có vecto chỉ phương là ( 1; 4; -2) nên một vecto pháp tuyến của mặt phẳng (P) là: n→( 1; 4; -2)
=> Phương trình mặt phẳng (P) là: 1( x-1) + 4( y+1) – 2( z- 3) =0
Hay x+ 4y – 2z + 9= 0
+Gọi giao điểm của đường thẳng d2 và mặt phẳng ( P) là điểm B
Do B thuộc d2 nên tọa độ B( 2+ t; - 1- t; 1+ t) . Thay tọa độ điểm B vào phương trình mặt phẳng (P) ta được : 2+ t + 4( - 1- t) – 2( 1+ t) + 9= 0
⇔ 2+ t- 4 – 4t- 2- 2t + 9= 0
⇔ - 5t+ 5= 0 ⇔ t= 1
=> B( 3; -2; 2)
+ Đường thẳng d cần tìm là đường thẳng AB: Đi qua A(1; -1;3) nhận vecto AB→(2; -1;- 1)
=> Phương trình chính tắc của đường thẳng AB:
Chọn C.
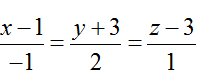
Ví dụ 2: Trong không gian với hệ tọa độ Oxyz; cho hai đường thẳng . Phương trình đường thẳng d đi qua điểm A( 1; 2; -2) vuông góc với d1 và cắt d2 là:
Hướng dẫn giải:
+ Gọi giao điểm của của d và d2 là B.
Do B thuộc d2 nên tọa độ B( t; 1+ 2t; t) => AB→( t- 1; 2t- 1; t+ 2) .
+ Đường thẳng d1 có vectơ chỉ phương u1→ ( 2; 2; 1)
+ Do đường thẳng d vuông góc với d1 nên AB→ ⊥u1→
AB→ . u1→ = 0
⇔ 2( t-1) + 2( 2t- 1) + 1(t+ 2) = 0
⇔ 2t – 2 + 4t – 2+ t+ 2= 0
⇔ 7t- 2= 0 nên t = 2/7
+ Đường thẳng d đi qua điểm A ( 1; 2; - 2) và có vectơ chỉ phương AB→(-5/7; -3/7; 16/7)
chọn vecto chỉ phương ( 5; 3; - 16)
Vậy phương trình của d là
Chọn A.
Ví dụ 3: Cho hai đường thẳng ; và điểm A (1; 2; 3). Viết phương trình đường thẳng d đi qua A,vuông góc với d1và cắt d2.
Hướng dẫn giải:
- Gọi mặt phẳng (P) đi qua điểm A và vuông góc với đường thẳng d1 có VTPT là nP→ = ud1→
=> nP→ = (2; -1; 1)
Phương trình mặt phẳng (P) là:
2.(x – 1) – 1 . (y – 2) + 1. (z – 3) = 0 hay 2x – y + z – 3 = 0
-Gọi giao điểm của mặt phẳng (P) và đường thẳng d2 là B
B thuộc d2 nên tọa độ B( 1- t; 1+ 2t; - 1+ t)
Thay tọa độ ( B) vào phương trình mặt phẳng (P) ta được:
2( 1- t) – ( 1+ 2t) + ( - 1+ t) – 3= 0
⇔ 2- 2t- 1- 2t- 1+ t- 3= 0
⇔ -3t – 3= 0 nên t= -1
Suy ra: B (2; -1; -2)
- Đường thẳng cần tìm là đường thẳng đi qua 2 điểm A, B
Vectơ chỉ phương của d là: AB→(1; -3; -5)
Vậy phương trình đường thẳng d là:
Chọn C.
Ví dụ 4: Trong không gian với hệ tọa độ Oxyz; cho điểm A(-1; 2; 0); B( 2; 1;1) và C( 2; 3; 2). Gọi G là trọng tâm của tam giác ABC. Đường thẳng d đi qua G vuông góc với trục tung và cắt đường thẳng ∆: . Viết phương trình đường thẳng d?
Hướng dẫn giải:
+ Do G là trọng tâm của tam giác ABC nên tọa độ G( 1; 2;1) .
+ Gọi giao điểm của đường thẳng d và ∆ là: H( 1- t; - 2+ 2t; 2) => GH→(- t; 2t- 4; 1)
Ta có vecto chỉ phương của trục tung là uOy→(0; 1; 0) .Khi đó:
Do d⊥Oy ⇔ GH→.uOy→ = 0 ⇔ 0. ( -t) + 1(2t- 4)+ 0.1= 0
⇔2t – 4 = 0 ⇔ t = 2 nên tọa độ H( -1; 2; 2)
+ Đường thẳng d cần tìm là đường thẳng GH: đi qua G( 1; 2; 1) và VTCP GH→(-2; 0; 1)
=> Phương trình đường thẳng d:
Chọn D.
Dạng 9. Viết phương trình đường thẳng d đi qua điểm A, vuông góc với đường thẳng d1 và cắt đường thẳng d1.
1. Phương pháp giải
Gọi giao điểm của đường thẳng d và d1 là B.
+ Vì B thuộc đường thẳng d1 nên tọa độ B có dạng... ( theo tham số t).
=> Tọa độ AB→
+ Xác định vecto chỉ phương của u1→ đường thẳng d1.
+ Do đường thẳng d vuông góc với đường thẳng d1 nên AB→⊥ u1→
=> AB→.u1→ = 0
=>Phương trình ẩn t ....=> t= ...
=> Tọa độ điểm B.
+ Viết phương trình đường thẳng d đi qua hai điểm A và B.
2. Ví dụ minh họa
Ví dụ 1: Cho đường thẳng d1 có phương trình tham số và điểm A(0;1; 0). Phương trình tham số đường thẳng d đi qua điểm A đồng thời vuông góc và cắt đường thẳng d1 là:
Hướng dẫn giải:
+ Đường thẳng d1 có vecto chỉ phương là u1→( 0; -1; 2)
Gọi giao điểm của đường thẳng d và d1 là B.
+ Vì B thuộc đường thẳng d1 nên tọa độ B có dạng B( -3; 1-t; 2t)
=> AB→ (-3; - t; 2t)
Vì đường thẳng d vuông góc với đường thẳng d1 nên ta có
⇔ AB→.u1→ = 0 ⇔ 0. (-3) – 1( - t) + 2.2t= 0
⇔ 5t = 0 ⇔ t = 0
Suy ra tọa độ B( - 3; 1; 0)
+ Đường thẳng cần tìm chính là đường thẳng AB: đi qua A( 0;1; 0) và có VTCP AB→( -3;0; 0) chọn u→(1; 0; 0).
Vậy phương trình tham số của đường thẳng d là
Chọn A.
Ví dụ 2: Cho điểm A( -1; -2; 3) và đường thẳng d: . Đường thẳng ∆ đi qua cắt và vuông góc với đường thẳng d. Tìm một vecto chỉ phương của đường thẳng ∆
A . (4; 4; 0) B. (2; -2; 1)
C. ( 2;4; 1) D. ( 3; -3;0)
Hướng dẫn giải:
Gọi giao điểm của đường thẳng d và ∆ là M
Khi đó M ∈ d => M( - 1+ 2t; 1+ 2t; - 4t) => AM→(2t; 3+ 2t; - 4t – 3)
Đường thẳng d có vecto chỉ phương là ud→ (1; 1; -2).
Khi đó; ∆⊥d => AM→⊥ud→ => AM→ .ud→ = 0
⇔ 1. 2t+ 1( 3+ 2t) – 2( - 4t- 3) =0
⇔ 2t+ 3+ 2t+ 8t+ 6 = 0⇔ 12t + 9= 0
⇔ t = -3/4
Suy ra, AM→(-3/2;3/2;0) là một vecto chỉ phương của đường thẳng d.
Chọn D.
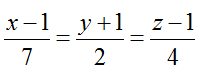
Ví dụ 3: Trong không gian với hệ toạ độ Oxyz,cho điểm A(1; 0;2) và đường thẳng d có phương trình . Viết phương trình đường thẳng ∆ đi qua A vuông góc và cắt d
Hướng dẫn giải:
Ta có ud→(1; 1; 2) là một vecto chỉ phương của đường thẳng d.
Gọi ∆ ∩ d = B=> B ∈ d => B(1+ t; t; -1+ 2t) => AB→ ( t; t; 2t – 3)
Do ∆⊥d => AB ⊥ d => AB→. ud→ = 0
⇔ t+ t + 2(2t - 3) = 0 ⇔ 6t – 6= 0 nên t = 1
=> AB→(1; 1; -1)
Đường thẳng ∆ đi qua A và nhận AB→ làm vectơ chỉ phương nên có phương trình
Chọn B.
Ví dụ 4: Cho đường thẳng ∆ có phương trình chính tắc ; điểm A(-1;2; 0) . Đường thẳng d đi qua điểm A đồng thời vuông góc và cắt đường thẳng ∆ tại điểm có tọa độ là?
A. (-11/7; 5/7; -6/7) B. (11/7; 5/7; -6/7) C. (3/7; 5/7; 6/7) D. (1/7; 5/7; -6/7)
Hướng dẫn giải:
+ Ta có đường thẳng ∆ có vecto chỉ phương u∆→(3; -2;1)
Gọi giao điểm của đường thẳng d và ∆ là B.
+ Vì B thuộc đường thẳng ∆ nên tọa độ B có dạng B( 1+3t; -1-2t; t)
=> AB→( 2+ 3t; - 3- 2t; t)
+ Do ∆⊥d => ∆⊥AB => AB→.u∆→ = 0
⇔ 3( 2+ 3t) – 2( - 3 -2t) + 1. t= 0
⇔ 6+ 9t + 6 + 4t + t= 0
⇔ 14t+ 12= 0 ⇔ t = -6/7
=> Tọa độ giao điểm của d và ∆ là B(11/7; 5/7; -6/7)
Chọn A.
Ví dụ 5: Trong không gian với hệ tọa độ Oxyz; cho điểm M( 1;1;1) và đường thẳng d đi qua hai điểm A(1; 2;0) và B(-1;3;3). Gọi ∆ là đưởng thẳng qua M vuông góc và cắt d. Biết rằng đường thẳng d và ∆ cắt nhau tại N(-5/7;a/7;b/7) . Tính a+ b ?
A. 16 B. – 10 C. 18 D. -8
Hướng dẫn giải:
+ Đường thẳng d đi qua hai điểm A( 1;2;0) và B( -1; 3;3) nên đường thẳng này nhận vecto ( -2;1;3) làm vecto chỉ phương
=> Phương trình đường thẳng d
+ Gọi N là giao điểm của ∆ và d.
Do N thuộc đường thẳng d nên tọa độ N( 1- 2t; 2+ t; 3t)
=> MN→( - 2t; 1+ t; 3t – 1)
+ Do ∆⊥d => ∆⊥MN => AB→.MN→ = 0
⇔ - 2. (-2t) + 1. ( 1+ t) + 3( 3t-1) = 0
⇔ 4t+ 1+ t+ 9t – 3 = 0⇔ 14t - 2= 0 ⇔ t= 1/7
=> Tọa độ điểm N (-5/7; 15/7;3/7)
=> a= 15 và b = 3 nên a+ b= 18
Chon C.
Dạng 10: Viết phương trình đường thẳng d nằm trong mp (P) đồng thời cắt cả hai đường thẳng d1 và d2.
1. Phương pháp giải
- Tìm giao điểm A = d1 ∩(P); B = d2 ∩ (P)
- d là đường thẳng đi qua 2 điểm A và B
2. Ví dụ minh họa
Ví dụ 1: Viết phương trình của đường thẳng d nằm trong mặt phẳng (P): x – y – 2z + 3 = 0 và cắt hai đường thẳng
Hướng dẫn giải:
- Giao điểm A của d1 và (P) có tọa độ ( 2t – 1; - t+ 1; t + 1)
Thay tọa độ A vào phương trình (P) có:
( 2t – 1) – ( - t+1) – 2(t+1)+ 3 = 0 ⇔ 2t – 1 + t- 1- 2t – 2 + 3 = 0
⇔ t - 1= 0 nên t=1 => A (1; 0; 2)
- Giao điểm B của d2 và (P) có tọa độ ( t+ 1; t+2; 2t – 1)
Thay tọa độ điểm B vào phương trình (P) có:
( t+ 1) – ( t+ 2) – 2 (2t – 1) + 3= 0 ⇔ - 4t + 4= 0 nên t = 1
=> B (2; 3; 1)
-Ta có AB→(1; 3; -1)
Vậy phương trình của d là
Chọn A
Ví dụ 2: Trong không gian với hệ tọa độ Oxyz; cho hai đường thẳng . Đường thẳng d nằm trong (P): x+2y- 3z – 2= 0 và cắt hai đường thẳng d1; d2 lần lượt tại A và B. Tính AB?
A. 8 B. √35 C. √23 D. √59
Hướng dẫn giải:
+ Gọi A là giao điểm của d1 và (P)
Tọa độ A( 2- t; 1+ 3t; 1+ 2t). Thay tọa độ điểm A vào phương trình (P) ta được:
2- t + 2( 1+ 3t) – 3( 1+ 2t) = 0
⇔ 2- t + 2+ 6t – 3 – 6t= 0
⇔ - t + 1= 0 ⇔ t= 1 nên A( 1; 4; 3)
+ Gọi B là giao điểm của d2 và( P)
Tọa độ B( 1-3t; - 2+ t; - 1- t). Thay tọa độ điểm B vào phương trình (P) ta được:
1- 3t + 2( - 2+ t) – 3( - 1- t) - 2 = 0
⇔ 1- 3t – 4 + 2t + 3+ 3t – 2= 0
⇔ 2t – 2= 0 ⇔ t = 1 nên B ( -2; - 1; -2)
=> Độ dài
Chọn D.
Ví dụ 3: Trong không gian với hệ toạ độ Oxyz, cho hai đường thẳng ; và mặt phẳng (P): x- y - 2z + 3= 0. Biết đường thẳng ∆ nằm trên mặt phẳng (P) và cắt hai đường thẳng d1; d2 . Phương trình ∆ là
Hướng dẫn giải:
Gọi A; B lần lượt là giao điểm của ∆ với d1; d2
Do Δ⊂(P)⇒A,B cũng chính là giao điểm của (P) với
Khi đó :
Suy ra phương trình
Chọn A.
Ví dụ 4: Trong không gian với hệ tọa độ Oxyz; cho các điểm A( 1; 1;1); B(0;1; 2); C( 2; 1; 2). Viết phương trình đường thẳng d nằm trong mặt phẳng (P): x+ y- 2z- 3= 0 đồng thời cắt hai đường thẳng AB và OC?
Hướng dẫn giải:
+ Phương trình đường thẳng AB: đi qua A( 1; 1; 1) vecto chỉ phương AB→( -1; 0; 1)
=> Phương trình AB:
+ Gọi giao điểm của AB và mặt phẳng (P) là M( 1-t; 1; 1+ t) thay vào phương trình mặt phẳng (P) ta được:
1- t + 1- 2( 1+ t) – 3= 0 ⇔ 1- t + 1- 2- 2t- 3= 0
⇔ - 3t – 3= 0 ⇔ t= -1
Suy ra M( 2; 1; 0).
+ Phương trình đường thẳng OC : đi qua O(0; 0;0) và có VTCP OC→(2; 1; 2) nên phương trình OC là:
+ Gọi giao điểm của OC và (P) là N( 2t; t; 2t) thay vào phương trình (P) ta được :
2t + t – 2.2t – 3= 0 ⇔ - t- 3= 0
⇔ t= - 3 nên N( -6; -3; - 6)
+ Đường thẳng d cần tìm chính là đường thẳng MN đi qua M( 2; 1; 0) và nhận vecto NM→( 8; 4; 6) = 2( 4; 2; 3) làm vecto chỉ phương
=> Phương trình đường thẳng d là
Chọn A.
Bài tập tự luyện
Bài 1. Trong không gian Oxyz, viết phương trình tham số của đường thẳng d biết d đi qua điểm M(1;-3;2) vuông góc với d1: .
Bài 2. Viết phương trình đường thẳng (d) là giao tuyến của 2 mặt phằng (P): 2x + y – z – 3 = 0 và (Q): x + y + z – 1 = 0.
Bài 3. Trong không gian Oxyz, viết phương trình hình chiếu vuông góc của đường thẳng d: trên mặt phẳng (P): x – 2y + z + 5 = 0.
Bài 4. Cho 2 đường thẳng d1: và d2: và mặt phẳng (P): x - y - 2z + 3 = 0; Viết phương trình đường thẳng Δ nằm trong mặt phẳng (P) và cắt 2 đường thẳng d1, d2.
Bài 5. Trong không gian Oxyz, viết phương trình của đường thẳng d biết d đi qua điểm A(1;1;0) và cắt cả 2 đường thẳng d1: và d2: .
Bài giảng: Cách viết phương trình đường thẳng nâng cao - Cô Nguyễn Phương Anh (Giáo viên VietJack)
(199k) Xem Khóa học Toán 12 KNTTXem Khóa học Toán 12 CDXem Khóa học Toán 12 CTST
Xem thêm các dạng bài tập Toán lớp 12 ôn thi Tốt nghiệp có lời giải hay khác:
- 4 dạng bài tập về Hệ tọa độ trong không gian ôn thi Tốt nghiệp (có lời giải)
- 21 dạng bài tập Viết phương trình mặt phẳng ôn thi Tốt nghiệp (có lời giải)
- 21 dạng bài tập Viết phương trình mặt phẳng ôn thi Tốt nghiệp có lời giải (Phần 2)
- (19 dạng) Viết phương trình đường thẳng ôn thi Tốt nghiệp (có lời giải) (phần 2)
- 4 dạng bài tập Viết phương trình mặt cầu ôn thi Tốt nghiệp (có lời giải)
Đã có app VietJack trên điện thoại, giải bài tập SGK, SBT Soạn văn, Văn mẫu, Thi online, Bài giảng....miễn phí. Tải ngay ứng dụng trên Android và iOS.
Theo dõi chúng tôi miễn phí trên mạng xã hội facebook và youtube:Nếu thấy hay, hãy động viên và chia sẻ nhé! Các bình luận không phù hợp với nội quy bình luận trang web sẽ bị cấm bình luận vĩnh viễn.
- Giải Tiếng Anh 12 Global Success
- Giải sgk Tiếng Anh 12 Smart World
- Giải sgk Tiếng Anh 12 Friends Global
- Lớp 12 Kết nối tri thức
- Soạn văn 12 (hay nhất) - KNTT
- Soạn văn 12 (ngắn nhất) - KNTT
- Giải sgk Toán 12 - KNTT
- Giải sgk Vật Lí 12 - KNTT
- Giải sgk Hóa học 12 - KNTT
- Giải sgk Sinh học 12 - KNTT
- Giải sgk Lịch Sử 12 - KNTT
- Giải sgk Địa Lí 12 - KNTT
- Giải sgk Giáo dục KTPL 12 - KNTT
- Giải sgk Tin học 12 - KNTT
- Giải sgk Công nghệ 12 - KNTT
- Giải sgk Hoạt động trải nghiệm 12 - KNTT
- Giải sgk Giáo dục quốc phòng 12 - KNTT
- Giải sgk Âm nhạc 12 - KNTT
- Giải sgk Mĩ thuật 12 - KNTT
- Lớp 12 Chân trời sáng tạo
- Soạn văn 12 (hay nhất) - CTST
- Soạn văn 12 (ngắn nhất) - CTST
- Giải sgk Toán 12 - CTST
- Giải sgk Vật Lí 12 - CTST
- Giải sgk Hóa học 12 - CTST
- Giải sgk Sinh học 12 - CTST
- Giải sgk Lịch Sử 12 - CTST
- Giải sgk Địa Lí 12 - CTST
- Giải sgk Giáo dục KTPL 12 - CTST
- Giải sgk Tin học 12 - CTST
- Giải sgk Hoạt động trải nghiệm 12 - CTST
- Giải sgk Âm nhạc 12 - CTST
- Lớp 12 Cánh diều
- Soạn văn 12 Cánh diều (hay nhất)
- Soạn văn 12 Cánh diều (ngắn nhất)
- Giải sgk Toán 12 Cánh diều
- Giải sgk Vật Lí 12 - Cánh diều
- Giải sgk Hóa học 12 - Cánh diều
- Giải sgk Sinh học 12 - Cánh diều
- Giải sgk Lịch Sử 12 - Cánh diều
- Giải sgk Địa Lí 12 - Cánh diều
- Giải sgk Giáo dục KTPL 12 - Cánh diều
- Giải sgk Tin học 12 - Cánh diều
- Giải sgk Công nghệ 12 - Cánh diều
- Giải sgk Hoạt động trải nghiệm 12 - Cánh diều
- Giải sgk Giáo dục quốc phòng 12 - Cánh diều
- Giải sgk Âm nhạc 12 - Cánh diều


Giải bài tập SGK & SBT
Tài liệu giáo viên
Sách
Khóa học
Thi online
Hỏi đáp

