(4 dạng) Bài tập Viết phương trình mặt cầu ôn thi Tốt nghiệp (có lời giải)
Bài viết Viết phương trình mặt cầu ôn thi Tốt nghiệp môn Toán với phương pháp giải chi tiết giúp học sinh ôn tập, biết cách làm bài tập Viết phương trình mặt cầu.
- Xác định tâm và bán kính mặt cầu – Điều kiện để một phương trình là phương trình một mặt cầu
- Lập phương trình mặt cầu biết tâm và bán kính
- Viết phương trình mặt cầu biết tâm I, một đường thẳng ( mặt phẳng) cắt mặt cầu thỏa mãn điều kiện T
- Lập phương trình mặt cầu tiếp xúc với đường thẳng, mặt phẳng và thỏa mãn điều kiện T
(4 dạng) Bài tập Viết phương trình mặt cầu ôn thi Tốt nghiệp (có lời giải)
(199k) Xem Khóa học Toán 12 KNTTXem Khóa học Toán 12 CDXem Khóa học Toán 12 CTST
Bài giảng: Cách viết phương trình mặt cầu - dạng bài cơ bản - Cô Nguyễn Phương Anh (Giáo viên VietJack)
Dạng 1: Xác định tâm và bán kính mặt cầu – Điều kiện để một phương trình là phương trình một mặt cầu.
1. Phương pháp giải
● Xét phương trình (S): (x- a)2 + ( y- b)2 + ( z- c)2 = R2.
Khi đó mặt cầu có tâm I (a; b;c), bán kính R
● Xét phương trình (S): x2 + y2 + z2 – 2ax – 2by – 2cz + d = 0.
Điểu kiện để phương trình trên là phương trình mặt cầu là: a2 + b2 + c2 – d > 0
Khi đó mặt cầu có
2. Ví dụ minh họa
Ví dụ 1: Mặt cầu (S): 3x2 + 3y2 + 3z2 - 6x + 12y + 2 = 0 có bán kính bằng:
Hướng dẫn giải:
Ta có (S): 3x2 + 3y2 + 3z2 – 6x +12y +2 = 0
⇔ x2 + y2 + z2 - 2x + 4y + 2/3 = 0
Đây là phương trình đường tròn có tâm I( 1; -2; 0), bán kính .
Chọn D.
Ví dụ 2: Trong không gian với hệ tọa độ Oxyz, cho mặt cầu (S) có phương trình: x2 + y2 +z2 + 2x - 4y + 6z – 2= 0 . Tính tọa độ tâm I và bán kính R của (S).
A.Tâm I( -1; 2; -3) và bán kính R=4. B. Tâm I( 1; -2; 3) và bán kính R = 4.
C.Tâm I(-1; 2; 3) và bán kính R= 4. D. Tâm I(1; -2; 3) và bán kính R= 16.
Hướng dẫn giải:
Phương trình mặt cầu (S): x2 + y2 + z2 + 2x - 4y + 6z – 2 = 0 có:
Chọn A.
Ví dụ 3: Cho phương trình (S): x2 + y2 + z2 + 2( 3 – m)x – 2( m+ 1)y – 2mz + 2m2 + 7 = 0 . Tìm tất cả giá trị của m để ( S) là một phương trình mặt cầu.
Hướng dẫn giải:
Ta có: a= m - 3 ; b = m + 1; c = m và d= 2m2 + 7
Điều kiện để ( S) là mặt cầu là a2 + b2 + c2 - d > 0
⇔ ( m- 3)2 + ( m+1)2 + m2 – 2m2 - 7 > 0 hay m2 – 4m + 3 > 0
Chọn C.
Ví dụ 4: Trong không gian với hệ tọa độ Oxyz, cho mặt cầu (S) có phương trình: x2 + y2 + z2 – (2m - 2) x + 3my + ( 6m – 2)z – 7= 0 . Gọi R là bán kính của (S) , giá trị nhỏ nhất của R bằng:
A. 7 B. √377/7 C. √377 D. √377/4
Hướng dẫn giải:
Ta có (S): x2 + y2 + z2 - ( 2m – 2)x + 3my + ( 6m -2) z – 7 = 0
hay
Suy ra bán kính
Dạng 2: Lập phương trình mặt cầu biết tâm và bán kính .
1. Phương pháp giải
+ Mặt cầu có đường kính AB: Tâm I là trung điểm của AB và bán kính R = AB/2 .
Lập phương trình mặt cầu đi qua bốn điểm A, B, C, D không đồng phẳng
Cách 1:
+ Bước 1: Gọi phương trình mặt cầu là x2 + y2 + z2 – 2ax – 2by - 2cz + d = 0 ( *)
(với a2 + b2 + c2 – d > 0 )
+ Bước 2: Thay tọa độ bốn điểm A, B, C, D vào phương trình (*), ta được hệ 4 phương trình.
+ Bước 3: Giải hệ trên tìm được a, b, c, d( chú ý đối chiếu điều kiện a2 + b2 + c2 – d > 0 ).
Thay a, b, c, d vào (*) ta được phương trình mặt cầu cần lập.
Cách 2:
+ Bước 1: Gọi I(a, b, c) là tâm mặt cầu đi qua bốn điểm A, B, C, D
Suy ra:
+ Bước 2: Giải hệ trên để tìm a, b, c.
+ Bước 3: Tìm bán kính R = IA.
Từ đó, viết phương trình mặt cầu cần tìm có dạng (x- a)2 + ( y – b)2 + ( z - c)2 = R2
2. Ví dụ minh họa
Ví dụ 1: Cho hai điểm A( -2; 1; 0) và B( 2;3 ; -2). Phương trình mặt cầu đường kính AB là:
A. (x + 2)2 + ( y -1)2 + ( z+ 1)2 = 8 B. x2 +( y +2)2 + ( z- 1)2 = 10
C. x2 + ( y - 2)2 + ( z+ 1)2 = 6 D. (x – 2)2 + (y +1)2 + (z -1)2 = 8
Hướng dẫn giải:
Gọi M là trung điểm của AB, tọa độ điểm M là :
Độ dài MA là :
Mặt cầu cần tìm nhận M(0; 2; -1) làm tâm và có bán kính là R= MA = √6.
Ta có phương trình mặt cầu là : (x - 0)2 + ( y - 2)2 + ( z+ 1)2 = 6
Hay x2 + ( y -2)2 + (z +1)2 = 6
Chọn C.
Ví dụ 2: Nếu mặt cầu (S) đi qua bốn điểm M(2; 2;2); N( 4; 0; 2); P( 4; 2; 0) và Q(4;2;2) thì tâm I của (S) có toạ độ là:
A. (-1;-1; 0) B. (3; 1; 1) C. (1; 1; 1) D. (1; 2;1)
Hướng dẫn giải:
Gọi phương trình mặt cầu (S): x2 + y2 + z2 - 2ax – 2by – 2cz + d= 0 ( a2 + b2 + c2 - d > 0) .
Do M(2;2;2) ∈ (S) 22 + 22 + 22 – 2.2a- 2.2b – 2.2c + d = 0 hay – 4a – 4b – 4c + d= -12 (1)
Do N( 4; 0; 2) ∈ (S) nên 42 + 02 + 22 - 2.4a- 2.0b - 2.2c + d = 0 hay – 8a – 4c + d= - 20 (2)
Do P(4; 2; 0) ∈ (S) nên 42 + 22 + 02 – 2.4a - 2.2b - 2.0.c + d = 0 hay – 8a – 4b + d = -20 (3)
Do Q(4; 2; 2) ∈ (S) nên 42 + 22 + 22 - 2.4 a -2.2b – 2.2c + d = 0 hay – 8a – 4b – 4c + d = -24 (4)
Từ (1); (2); (3) và (4) ta có hệ phương trình:
Suy ra, mặt cầu (S) thỏa mãn có tâm I(1; 2; 1)
Chọn A.
Ví dụ 3: Mặt cầu (S) tâm I( -1; 2; -3) và tiếp xúc với mặt phẳng (P): x+ 2y + 2z + 6 = 0có phương trình:
A. (x- 1)2 +( y+2)2 + (z- 3)2 = 2 B. (x+ 1)2 + ( y – 2)2 + (z + 3)2 = 4
C. (x+ 1)2 + (y -2)2 + (z + 3)2 =1 D. (x+1)2 + ( y - 2)2 +(z + 3)2 = 25
Hướng dẫn giải:
Khoảng cách từ tâm I đến mặt phẳng (P) là:
Do mặt cầu (S) tiếp xúc với mặt phẳng (P) nên d( I; (P)) = R = 1
Suy ra, phương trình mặt cầu cần tìm là:
(x+1)2 + (y - 2)2 + (z + 3)2 = 1
Chọn C.
Ví dụ 4: Cho các điểm A(-2; 4; 1); B(2; 0; 3) và đường thẳng . Gọi (S) là mặt cầu đi qua A; B và có tâm thuộc đường thẳng d. Bán kính mặt cầu (S) bằng:
A. 3√3 B. √6 C.3. D.2√3
Hướng dẫn giải:
Tâm I ∈d => I(1+t;1+2t;-2+t) .
=> AI→(3+t;-3+2t;-3+t); BI→(-1+t;1+2t;-5+t)
Vì (S) đi qua A và B nên ta có IA = IB => IA2 = IB2
⇔ (3+ t)2 + (-3+ 2t)2 + ( -3+ t)2 = ( -1+ t)2 + (1+ 2t)2 + (- 5+ t)2
⇔ 9+ 6t + t2 + 9 – 12t + 4t2 + 9 – 6t + t2 = 1- 2t+ t2 + 1+ 4t + 4t2 + 25 - 10t + t2
⇔ 6t2 - 12t + 27 = 6t2 – 8t + 27
⇔ -4t = 0 nên t = 0
=> AI→(3 ; -3 ; -3) nên AI = 3√3
Vậy bán kính mặt cầu (S) là R = AI = 3√3
Chọn A.
Ví dụ 5: Cho đường thẳng và hai mặt phẳng (P): x+ 2y + 2z+3 = 0, (Q): x+ 2y + 2z + 7 = 0. Mặt cầu (S) có tâm I thuộc đường thẳng d và tiếp xúc với hai mặt phẳng (P) và (Q) có phương trình
A. (x+ 3)2 + (y+1)2 + (z - 3)2 = 4/9 . B. (x- 3)2 +(y - 1)2 + (z+ 3)2 = 4/9 .
C. (x+3)2 +(y+ 1)2 +(z+3)2 = 4/9 . D. (x-3)2 +( y+1)2 + (z+ 3)2 = 4/9 .
Hướng dẫn giải:
Do tâm I ∈ d nên I(t; -1; - t)
Mà mặt cầu (S) tiếp xúc với hai mặt phẳng (P) và (Q) nên ta có:
R= d(I; (P)) = d(I; (Q))
⇔ | -t+ 1| = | -t + 5|
⇔ t2 – 2t +1= t2 – 10t + 25
⇔8t = 24 nên t = 3.
Với t= 3,ta có tâm I (3; -1; -3) và bán kính R= d( I; (P))=
Phương trình mặt cầu là (x-3)2 + ( y+1)2 + (z+ 3)2 = 4/9
Chọn D.
Dạng 3. Viết phương trình mặt cầu biết tâm I, một đường thẳng ( mặt phẳng) cắt mặt cầu thỏa mãn điều kiện T.
1. Phương pháp giải
* Phương trình mặt cầu (S) biết tâm I và cắt đường thẳng d theo dây cung AB
• Bước 1: Tính khoảng cách từ tâm I đến đường thẳng d
• Bước 2: Dựa vào giả thuyết đề cho, ta tính độ dài dây cung AB. Suy ra độ dài AH (với H là trung điểm AB)
• Bước 3: Tính IA theo định lý Pitago cho tam giác vuông AIH. Suy ra bán kính R= IA.
* Phương trình mặt cầu (S) biết tâm I và cắt mặt phẳng (P) theo đường tròn giao tuyến (C)
• Bước 1: Tính khoảng cách từ tâm I đến mặt phẳng (P)
• Bước 2: Dựa vào giả thuyết đề cho, ta tính bán kính r của đường tròn giao tuyến. Suy ra bán kính mặt cầu
2. Ví dụ minh họa
Ví dụ 1: Phương trình mặt cầu (S) có tâm I(2; 3; -1) và cắt đường thẳng tại hai điểm A, B với AB = 16.
A.( x- 2)2 + ( y- 3)2 +(z + 1)2 = 76 . B. (x-2)2 + (y - 3)2 + (z+ 1)2 = 46 .
C. (x- 2)2 +( y - 3)2 + (z+ 1)2 = 56. D. ( x- 2)2 +( y – 3)2 + (z+1)2 = 66
Hướng dẫn giải:
Chọn M(-1; 1; 0) ∈ Δ => IM→(-3; -2; 1) . Đường thẳng Δ có một VTCP là u→(1; -4; 1).
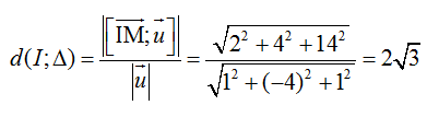
Ta có: [IM→; u→] = (2; 4; 14)
Từ đó, khoảng cách từ I đến Δ là :
Gọi H là trung điểm của AB ta có: AH= HB= AB/2 = 8
Gọi R là bán kính mặt cầu (S). Khi đó
Do đó, phương trình mặt cầu là: ( x- 2)2 +( y – 3)2 + (z+ 1)2 = 76
(S): ( x- 2)2 +( y – 3)2 + (z+ 1)2 = 76 .
Chọn A.
Ví dụ 2: Cho hai mặt phẳng (P): 5x – 4y + z - 6 = 0; (Q): 2x - y+ z +7 = 0 và đường thẳng . Viết phương trình mặt cầu (S) có tâm I là giao điểm của (P) và Δ sao cho (Q) cắt (S) theo một hình tròn có diện tích là 20π .
A.( x-1)2 + y2 +( z+1)2 = 110/3 . B. (x- 1)2 + y2 + (z -1)2 = 110/3
C.(x- 1)2 + y2 +( z- 1)2 = 110/3 . D. (x- 1)2 + y2 + (z - 1)2 = 110.
Hướng dẫn giải:
Phương trình tham số của đường thẳng ∆:
Do tâm I là giao điểm của đường thẳng ∆ và (P) nên tọa độ I là nghiệm của hệ phương trình:
Thay (1), (2), (3) vào (4) ta có: 5(1+7t) – 4. 3t + (1 – 2t) – 6 =0
⇔ 21t = 0 ⇔ t= 0
Khi đó, tọa độ điểm I(1 ; 0 ; 1).
Khoảng cách từ điểm I đến mặt phẳng (Q) là :
Gọi r là bán kính đường tròn giao tuyến của (S) và mặt phẳng (Q). Ta có:
20π = πr2 ⇔ r = 2√5
Gọi R là bán kính mặt cầu (S) cần tìm.
Theo giả thiết:
Vậy phương trình mặt cầu ( S) cần tìm là: (x- 1)2 + y2+ (z-1)2 = 110/3
Chọn B.
Ví dụ 3: Trong không gian với hệ tọa độ Oxyz, cho hai điểm A(0; -1; 0); B(1; 1; -1) và mặt cầu (S): x2 + y2 + z2 – 2x + 4y – 2z – 3 = 0. Mặt phẳng (P) đi qua A, B và cắt mặt cầu (S) theo giao tuyến là đường tròn có bán kính lớn nhất có phương trình là
A. x- 2y + 3z – 2 = 0. B. x - 2y – 3z – 2= 0.
C. x+ 2y – 3z - 6 = 0 D. 2x- y – 2 = 0.
Hướng dẫn giải:
Để (P) cắt (S) theo giao tuyến là đường tròn có bán kính lớn nhất thì (P) phải qua tâm I(1; -2; 1)của (S).
Ta có AI→(1; -1; 1); BI→(0; -3; 2)
Một vecto pháp tuyến của mặt phẳng (P) là:
n→ = [AI→; BI→] = (1; -2; -3).
Mặt phẳng (P) đi qua A( 0; -1;0) và nhận vecto n→(1; -2; -3) làm VTPT nên có phương trình:
1( x- 0) – 2( y+1) – 3( z- 0) = 0 hay x- 2y - 3z – 2= 0
Chọn B.
Ví dụ 4: Trong không gian Oxyz, cho điểm M(2; 1; 1), mặt phẳng ( α): x+ y + z – 4 = 0 và mặt cầu (S): x2 + y2 + z2 – 6x – 6y – 8z+ 18 = 0. Phương trình đường thẳng Δ đi qua M và nằm trong (α) cắt mặt cầu (S) theo một đoạn thẳng có độ dài nhỏ nhất là:
Hướng dẫn giải:
Mặt cầu (S) có tâm I(3; 3;4) và bán kính R= 4.
Khoảng cách từ tâm I đến mặt phẳng (α) là:
Suy ra mặt cầu (S) cắt mặt phẳng (α) theo một đường tròn.
Ta có điểm M ∈ (α) < ; IM = √14 < R nên điểm M nằm trong mặt cầu (S).
Gọi H là hình chiếu vuông góc của I lên (P) => H(1; 1;2)
Để đường thẳng Δ đi qua M và nằm trong (α) cắt mặt cầu (S) theo một đoạn thẳng có độ dài nhỏ nhất thì Δ ⊥MH .
Từ đó suy ra Δ có véctơ chỉ phương là: u→ = [nα→; MH→] = (1; -2; 1)
Vậy phương trình
Chọn B.
Dạng 4: Lập phương trình mặt cầu tiếp xúc với đường thẳng, mặt phẳng và thỏa mãn điều kiện T
1. Ví dụ minh họa
Ví dụ 1: Cho điểm A(2; 5; 1) và mặt phẳng (P): 6x + 3y – 2z + 24= 0, H là hình chiếu vuông góc của A trên mặt phẳng (P). Phương trình mặt cầu (S) có diện tích và tiếp xúc với mặt phẳng (P) tại H, sao cho điểm A nằm trong mặt cầu là:
A. (x- 8)2 + ( y- 8)2 + (z+ 1)2 = 196 B. (x + 82 +(y+ 8)2 + (z - 1)2 = 196
C. (x + 16)2 + ( y+4)2 + (z- 7)2 = 196 D.(x- 16)2+ ( y- 4)2 +(z+ 7)2 = 196
Hướng dẫn giải:
Gọi d là đường thẳng đi qua A và vuông góc với (P). Suy ra, một VTCP của d là:
ud→ = nP→( 6; 3; -2)
Phương trình đường thẳng d là
Vì H là hình chiếu vuông góc của A trên (P) nên H= d ∩ (P) .
Vì H ∈ d nên H( 2+ 6t; 5+ 3t; 1- 2t.
Mặt khác, H ∈ (P) nên ta có:
6(2+ 6t) + 3(5+ 3t) – 2( 1- 2t) + 24 = 0
⇔ t= - 1
Do đó, H( -4; 2; 3).
Gọi I và R lần lượt là tâm và bán kính mặt cầu.
Theo giả thiết diện tích mặt cầu bằng 784π , suy ra 4πR2 ⇔ R = 14 .
Vì mặt cầu tiếp xúc với mặt phẳng (P) tại H nên IH⊥ (P) => I ∈ d .
Do đó tọa độ điểm I có dạng I( 2+ 6t; 5+ 3t; 1- 2t), với t ≠ -1 .
Theo giả thiết, tọa độ điểm I thỏa mãn:
Do đó: I(8; 8; -1).
Vậy phương trình mặt cầu (S): (x- 8)2 +( y – 8)2 + (z+1)2 = 196.
Chọn A.
Ví dụ 2: Cho mặt phẳng (P): x+ 2y – 2z + 2= 0 và điểm A(2; -3; 0). Gọi B là điểm thuộc tia Oy sao cho mặt cầu tâm B, tiếp xúc với mặt phẳng (P) có bán kính bằng 2. Tọa độ điểm B là:
A. (0; 1; 0) B.(0; -4; 0) C.(0; 2; 0) hoặc (0; -4; 0) D. (0; 2; 0)
Hướng dẫn giải:
Vì B thuộc tia Oy nên B(0; b; 0) (với b > 0)
Bán kính của mặt cầu tâm B, tiếp xúc với (P) là R= d(B; (P))= |2b+2|/3 .
Theo giả thiết R= 2 nên:
Do b > 0 nên chọn b= 2.
Vậy tọa độ B(0; 2; 0).
Chọn D.
Ví dụ 3: Cho hai mặt phẳng (P): 2x+ 3y – z + 2 = 0; (Q): 2x - y – z +2 = 0. Phương trình mặt cầu (S) tiếp xúc với mặt phẳng (P) tại điểm A(1; -1;1) và có tâm thuộc mặt phẳng (Q) là:
A. (x+ 3)2 + (y+ 7)2 + (z – 3)2 = 56 B. (x-3)2 + ( y- 7)2 + (z+ 3)2 = 56
C. ( x+3)2 + ( y+ 7)2 +( z - 3)2 = 14 D. (x- 3)2 +( y- 7)2+ ( z+ 3)2 = 14
Hướng dẫn giải:
Gọi d đường thẳng đi qua A và vuông góc với (P). Nên 1 VTCP của d là: ud→ = nP→(2; 3; -1).
Ta có; phương trình đường thẳng d là:
Tâm I ∈ d nên I( 1+ 2t; -1+ 3t; 1- t).
Do điểm I nằm trên mp (Q) nên ta có:
2( 1+ 2t) - ( -1+ 3t ) – (1 – t) + 2 = 0
⇔t = - 2 nên I ( -3; -7; 3)
Bán kính mặt cầu là R= IA =
Phương trình mặt cầu (S): ( x+3)2 +(y+ 7)2 + (z- 3)2 = 56
Chọn A.
Ví dụ 4: Cho hai mặt phẳng (P);(Q) có phương trình (P): x- 2y + z - 1= 0 và (Q): 2x + y – z + 3 = 0 . Mặt cầu có tâm nằm trên mặt phẳng (P) và tiếp xúc với mặt phẳng (Q) tại điểm M, biết rằng M thuộc mặt phẳng (Oxy) và có hoành độ xM = 1 có phương trình là:
A.(x - 21)2 + ( y - 5)2 + ( z + 10)2 = 600 B. (x+19)2 + ( y+ 15)2 + (z - 10)2 = 600
C. (x- 21)2 + (y - 5)2 + (z + 10)2 = 100 D. (x+ 21)2 + ( y+ 5)2 + (z - 10)2 = 600
Hướng dẫn giải:
Vì M ∈ (Oxy) và có hoành độ bằng 1 nên M(1; y ; 0).
Lại có, mặt cầu tiếp xúc với mặt phẳng (Q) nên M ∈ Q
=> 2.1 + y - 0+ 3 = 0 => y = -5
Tọa độ điểm M(1; -5; 0).
Gọi I(a; b; c) là tâm của mặt cầu (S) cần tìm.
Ta có (S) tiếp xúc với mp (Q) tại M nên IM⊥(Q) .
Mặt phẳng (Q) có vectơ pháp tuyến n→(2; 1; -1).
Ta có: IM⊥(Q)
Do I ∈ (P) nên 1+ 2t – 2( - 5+ t) - t – 1 = 0
⇔ t = 10 nên I(21; 5; -10)
Bán kính mặt cầu R= d(I; (Q)) = 10√6
Vậy phương trình mặt cầu (S): ( x- 21)2 + ( y- 5)2 + ( z +10)2 = 600.
Chọn A.
Ví dụ 5: Cho hai điểm M(1;0;4); N(1; 1; 2) và mặt cầu (S): x2 + y2 + z2 – 2x + 2y – 2= 0 . Mặt phẳng (P) qua M; N và tiếp xúc với mặt cầu (S) có phương trình:
A. 4x + 2y + z - 8 = 0 hoặc 4x – 2y – z + 8= 0
B. 2x + 2y +z – 6= 0 hoặc 2x – 2y – z + 2= 0
C. 2 x+ 2y + z – 6 = 0
D. 2x – 2y – z + 2 = 0
Hướng dẫn giải:
- Ta có mặt cầu (S) có tâm I(1; -1; 0) và bán kính R= 2; MN→(0; 1; -2)
- Gọi n→(A;B;C) với A2 + B2 + C2 > 0 là một vectơ pháp tuyến của mặt phẳng (P).
- Vì (P) qua M, N nên n→⊥ MN→ => n→.MN→ = 0
⇔ B - 2C = 0 (1)
- Mặt phẳng (P) qua M(1; 0; 4) và nhận ( A, B, C) là vectơ pháp tuyến nên có phương trình
A(x-1)+ B( y – 0) + C( z- 4) = 0 hay Ax + By +Cz – A - 4C =0.
- Mặt phẳng (P) tiếp xúc với (S) nên d(I ; (P)) = R
Từ (1) và (2) => A2 - 4C2 = 0 (*)
- Trong (*), nếu C = 0 thì A= 0, và từ (1) suy ra B = 0 (vô lí). Do vậy, C ≠ 0
Chọn C=1 => A = ±2
Với A=2 ; C = 1, ta có B = 2 . Khi đó; (P); 2x + 2y + z - 6 = 0 .
Với A= -2; C= 1, ta có B= 2. Khi đó, (P): 2x – 2y – z + 2 = 0 .
- Vậy phương trình mặt phẳng (P):2x + 2y + z – 6= 0 hoặc (P): 2x – 2y – z + 2 = 0 .
Chọn B.
Bài tập tự luyện
Bài 1. Trong không gian với hệ tọa độ Oxyz, cho điểm A(1; 4; 3). Viết phương trình mặt cầu (S) có tâm A và cắt trục Ox tại B, C sao cho BC = 6?
Bài 2. Viết phương trình mặt cầu (S) có tâm O(1; 2; 0) và (S) đi qua điểm P(2; -2; 1).
Bài 3. Cho hai điểm A( -2; 1; 0) và B( 2;3 ; -2). Viết phương trình mặt cầu đường kính AB.
Bài 4. Viết phương trình mặt cầu (S) có tâm I(2; 3; -1) và cắt đường thẳng d: tại 2 điểm A, B với AB = 16.
Bài 5. Cho điểm A(2; 5; 1) và mặt phẳng (P): 6x + 3y – 2z + 24= 0, H là hình chiếu vuông góc của A trên mặt phẳng (P). Viết phương trình mặt cầu (S) có diện tích và tiếp xúc với mặt phẳng (P) tại H, sao cho điểm A nằm trong mặt cầu.
Bài giảng: Cách viết phương trình mặt cầu - dạng bài nâng cao - Cô Nguyễn Phương Anh (Giáo viên VietJack)
(199k) Xem Khóa học Toán 12 KNTTXem Khóa học Toán 12 CDXem Khóa học Toán 12 CTST
Xem thêm các dạng bài tập Toán lớp 12 ôn thi Tốt nghiệp có lời giải hay khác:
- 4 dạng bài tập về Hệ tọa độ trong không gian ôn thi Tốt nghiệp (có lời giải)
- 21 dạng bài tập Viết phương trình mặt phẳng ôn thi Tốt nghiệp (có lời giải)
- 21 dạng bài tập Viết phương trình mặt phẳng ôn thi Tốt nghiệp có lời giải (Phần 2)
- 19 dạng bài tập Viết phương trình đường thẳng ôn thi Tốt nghiệp (có lời giải)
- 19 dạng bài tập Viết phương trình đường thẳng ôn thi Tốt nghiệp có lời giải (phần 2)
Đã có app VietJack trên điện thoại, giải bài tập SGK, SBT Soạn văn, Văn mẫu, Thi online, Bài giảng....miễn phí. Tải ngay ứng dụng trên Android và iOS.
Theo dõi chúng tôi miễn phí trên mạng xã hội facebook và youtube:Nếu thấy hay, hãy động viên và chia sẻ nhé! Các bình luận không phù hợp với nội quy bình luận trang web sẽ bị cấm bình luận vĩnh viễn.
- Giải Tiếng Anh 12 Global Success
- Giải sgk Tiếng Anh 12 Smart World
- Giải sgk Tiếng Anh 12 Friends Global
- Lớp 12 Kết nối tri thức
- Soạn văn 12 (hay nhất) - KNTT
- Soạn văn 12 (ngắn nhất) - KNTT
- Giải sgk Toán 12 - KNTT
- Giải sgk Vật Lí 12 - KNTT
- Giải sgk Hóa học 12 - KNTT
- Giải sgk Sinh học 12 - KNTT
- Giải sgk Lịch Sử 12 - KNTT
- Giải sgk Địa Lí 12 - KNTT
- Giải sgk Giáo dục KTPL 12 - KNTT
- Giải sgk Tin học 12 - KNTT
- Giải sgk Công nghệ 12 - KNTT
- Giải sgk Hoạt động trải nghiệm 12 - KNTT
- Giải sgk Giáo dục quốc phòng 12 - KNTT
- Giải sgk Âm nhạc 12 - KNTT
- Giải sgk Mĩ thuật 12 - KNTT
- Lớp 12 Chân trời sáng tạo
- Soạn văn 12 (hay nhất) - CTST
- Soạn văn 12 (ngắn nhất) - CTST
- Giải sgk Toán 12 - CTST
- Giải sgk Vật Lí 12 - CTST
- Giải sgk Hóa học 12 - CTST
- Giải sgk Sinh học 12 - CTST
- Giải sgk Lịch Sử 12 - CTST
- Giải sgk Địa Lí 12 - CTST
- Giải sgk Giáo dục KTPL 12 - CTST
- Giải sgk Tin học 12 - CTST
- Giải sgk Hoạt động trải nghiệm 12 - CTST
- Giải sgk Âm nhạc 12 - CTST
- Lớp 12 Cánh diều
- Soạn văn 12 Cánh diều (hay nhất)
- Soạn văn 12 Cánh diều (ngắn nhất)
- Giải sgk Toán 12 Cánh diều
- Giải sgk Vật Lí 12 - Cánh diều
- Giải sgk Hóa học 12 - Cánh diều
- Giải sgk Sinh học 12 - Cánh diều
- Giải sgk Lịch Sử 12 - Cánh diều
- Giải sgk Địa Lí 12 - Cánh diều
- Giải sgk Giáo dục KTPL 12 - Cánh diều
- Giải sgk Tin học 12 - Cánh diều
- Giải sgk Công nghệ 12 - Cánh diều
- Giải sgk Hoạt động trải nghiệm 12 - Cánh diều
- Giải sgk Giáo dục quốc phòng 12 - Cánh diều
- Giải sgk Âm nhạc 12 - Cánh diều


Giải bài tập SGK & SBT
Tài liệu giáo viên
Sách
Khóa học
Thi online
Hỏi đáp

