(4 dạng) Bài tập Tìm cực trị của hàm số ôn thi Tốt nghiệp (có lời giải)
Bài viết Tìm cực trị của hàm số ôn thi Tốt nghiệp môn Toán với phương pháp giải chi tiết giúp học sinh ôn tập, biết cách làm bài tập Tìm cực trị của hàm số.
(4 dạng) Bài tập Tìm cực trị của hàm số ôn thi Tốt nghiệp (có lời giải)
(199k) Xem Khóa học Toán 12 KNTTXem Khóa học Toán 12 CDXem Khóa học Toán 12 CTST
Bài giảng: Các dạng bài tìm cực trị của hàm số - Cô Nguyễn Phương Anh (Giáo viên VietJack)
Dạng 1: Tìm cực trị của hàm số.
I. Phương pháp giải
Quy tắc tìm cực trị của hàm số
* Quy tắc 1:
Bước 1. Tìm tập xác định của hàm số.
Bước 2. Tính y'. Tìm các điểm tại đó y' bằng 0 hoặc y' không xác định.
Bước 3. Lập bảng biến thiên.
Bước 4. Từ bảng biến thiên suy ra các điểm cực trị.
* Quy tắc 2:
Bước 1. Tìm tập xác định của hàm số.
Bước 2. Tính f'(x). Giải phương trình f'(x) và ký hiệu xi (i = 1; 2; 3... là các nghiệm).
Bước 3. Tính f''(x) và f''(xi) .
Bước 4. Dựa vào dấu của f''(xi) suy ra tính chất cực trị của điểm xi.
II. Ví dụ minh họa
Ví dụ 1: Cho hàm số y = x3 – 3x2 + 2. Khẳng định nào sau đây là đúng?
A. Hàm số đạt cực đại tại x = 2 và đạt cực tiểu tại x = 0.
B. Hàm số đạt cực tiểu tại x = 2 và đạt cực đại x = 0 .
C. Hàm số đạt cực đại tại x = -2 và cực tiểu tại x = 0 .
D. Hàm số đạt cực đại tại x = 0 và cực tiểu tại x = -2.
Lời giải:
Ta có: y' = 3x2 - 6x = 0
Và y'' = 6x - 6
Suy ra: y''(0) = -6 < 0; y''(2) = 6 > 0
Do đó: hàm số đạt cực đại tại x = 0 và đạt cực tiểu tại x = 2.
Suy ra chọn đáp án B
Ví dụ 2: Cho hàm số y = x4 – 2x2 + 3. Khẳng định nào sau đây là đúng?
A. Hàm số có ba điểm cực trị.
B. Hàm số chỉ có đúng 2 điểm cực trị.
C. Hàm số không có cực trị.
D. Hàm số chỉ có đúng một điểm cực trị.
Lời giải:
Ta có đạo hàm:
y' = 4x3 - 4x = 0
Và y''= 12x2 – 4
⇒ y''(0) = -4 > 0; y''(1) = 8 > 0; y''(-1) = 8 > 0
Suy ra:
• Hàm số đạt cực đại tại điểm x = 0
• Hàm số đạt cực tiểu tại điểm x = 1 và x = -1.
Vậy hàm số đã cho có 3 điểm cực trị.
Suy ra chọn đáp án A.
Ví dụ 3: Gọi M, n lần lượt là giá trị cực đại, giá trị cực tiểu của hàm số sau. Khi đó giá trị của biểu thức M2 – 2n bằng:
A. 8. B. 7.
C. 9. D. 6.
Lời giải:
* Ta có đạo hàm:
Suy ra:
* Ta có:
⇒ y''(-3) = -2 < 0; y''(-1) = 2 > 0
Suy ra: Hàm số đạt cực đại tại x = -3 và yCĐ = -3
Hàm số đạt cực tiểu tại x = - 1 và yCT = 1
⇒ M2 – 2n = 7
Suy ra chọn đáp án B.
Ví dụ 4: Cho hàm số:
Điểm nào trong các điểm sau là điểm cực trị của đồ thị?
A. M(1; 2) B. N(2; 1)
C. P(-3; 3) D. Q(-2; 2)
Lời giải:
Tập xác định D = R (vì x2 + 6x + 12 > 0 mọi x).
Đạo hàm:
Giải phương trình y' = 0 ⇔ x + 3 = 0 hay x = -3
Qua điểm x = 3, đạo hàm chuyển dấu từ âm sang dương
⇔ x = -3 là điểm cực tiểu của hàm số.
Mà y(-3) = 3 nên điểm cực trị của đồ thi hàm số là M(-3; 3)
Suy ra chọn đáp án C.
Dạng 2: Tìm tham số m để hàm số đạt cực trị tại một điểm.
I. Phương pháp giải
Cho hàm số y = f(x; m). Tìm m để hàm số đạt cực trị tại điểm M(x0; y0)
* Bước 1: Tính đạo hàm của hàm số.
* Bước 2: Do hàm số đã cho đạt cực trị tại điểm M(x0; y0)
Giải hệ phương trình ta tìm được giá trị của m thỏa mãn.
* Chú ý: Nếu hàm số đạt cực đại tại điểm M(x0; y0) thì y''(x0) < 0
Nếu hàm số đạt cực tiểu tại điểm M(x0; y0) thì y''(x0) > 0
II. Ví dụ minh họa
Ví dụ 1: Tìm tất cả các giá trị của tham số m để hàm số y = x3 – mx2 + (2m – 3)x - 3 đạt cực đại tại x = 1.
A. m = 3 B. m > 3
C. m ≤ 3 D. m < 3
Lời giải:
* Ta có đạo hàm: y' = 3x2 – 2mx + 2m - 3
Để hàm số đạt cực đại x = 1 thì
Suy ra chọn đáp án B.
Ví dụ 2: Hàm số y = a.sin2x + b.cos3x - 2x (0 < x < 2π) đạt cực trị tại x = π/2; x = π. Khi đó, giá trị của biểu thức P = 3b - 3ab là:
A. 3 B. -1
C. 1 D. -3
Lời giải:
Tập xác định D = R
+ Ta có: y' = 2a.cos2x – 3b.sin3x - 2.
Hàm số đạt cực trị tại x = π/2; x = π nên ta có hệ phương trình:
Do đó, giá trị của biểu thức P = a + 3b - 3ab = 1.
Suy ra chọn đáp án C.
Ví dụ 3: Cho hàm số y = ax3 + bx2 + cx + d. Nếu đồ thị hàm số có 2 điểm cực trị là gốc tọa độ và điểm A(-1; -1) thì hàm số có phương trình là:
A. y = 2x3 – 3x2.
B. y = -2x3 – 3x2.
C. y = x3 + 3x2 + 3x.
D. y = x3 – 3x - 1.
Lời giải:
Đạo hàm y' = 3ax2 + 2bx + c
+ Đồ thị hàm số có điểm cực trị là gốc tọa độ ta có:
⇒ Hàm số có dạng: y = ax3 + bx2
+ Đồ thị hàm số có điểm cực trị là A(-1; -1) ta có:
Vậy hàm số là: y = -2x3 – 3x2.
Suy ra chọn đáp án B.
Ví dụ 4: Cho hàm số y = x3 – 3mx2 + (m2 - 1).x + 2 với m là tham số. Tìm m để hàm số đạt cực tiểu tại x = 2
A. m = 2 B. m = 1
C. m = 11 D. m < 2
Lời giải:
Tập xác định: D = R
Đạo hàm: y' = 3x2 – 6mx + m2 - 1 và y'' = 6x – 6m
Hàm số đã cho đạt cực tiểu tại x = 2 khi và chỉ khi:
Vậy để hàm số đã cho đạt cực tiểu tại x = 2 thì m = 1.
Suy ra chọn đáp án B.
Ví dụ 5: Tìm m để hàm số y = x4 – 2(m + 1).x2 - 2m - 1 đạt cực đại tại x = 1.
A. m = -1 B. m = 0
C. m = 1 D. không có giá trị
Lời giải:
Tập xác định: D = R.
Đạo hàm: y' = 4x3 - 4(m + 1)x
* Để hàm số đã cho đạt cực đại tạo x = 1 thì y'(1) = 0
⇔ 4 - 4(m + 1) = 0 ⇔ m + 1 = 1
⇔ m = 0
* Với m = 0 thì y' = 4x3 – 4x
⇒ y'(1) = 0 và y'' = 12x2 – 4; y''(1) = 8 > 0
Do đó; hàm số đạt cực tiểu tại x = 1.
⇒ m = 1 không thỏa mãn.
Vậy không có giá trị nào của m thỏa mãn.
Suy ra chọn đáp án D.
Ví dụ 6: Với những giá trị nào của m thì hàm số sau đạt cực tiểu tại x = 1.
A. m = -2 hoặc m = 0 B. m = 0
C. m = -2 hoặc m = 1 D. m = -2
Lời giải:
Điều kiện: x ≠ m
* Ta có:
Nên đạo hàm
* Vì hàm số có đạo hàm tại các điểm x ≠ m nên để hàm số đạt cực tiểu tại x = 1 thì
* Với m = 0 thì y''(1) = 2 > 0 nên x = 1 là điểm cực tiểu của hàm số
Suy ra m = 0 thỏa mãn yêu cầu bài toán.
* m = -2 ⇒ y''(1) = -2 < 0 nên x = 1 là điểm cực đại của hàm số
Suy ra m = -2 không thỏa mãn yêu cầu bài toán.
Vậy giá trị của m thỏa mãn là m = 0.
Suy ra chọn đáp án D.
Dạng 3: Biện luận theo m số cực trị của hàm số.
I. Phương pháp giải
* Cực trị của hàm số bậc ba
Cho hàm số y = ax3 + bx2 + cx + d
Đạo hàm y' = 3ax2 + 2bx + c; Δ'= b2 – 3ac
Xét phương trình: 3ax2 + 2bx + c = 0 (*)
Phương trình (1) vô nghiệm hoặc có nghiệm kép thì hàm số đã cho không có cực trị.
Vậy hàm số bậc ba không có cực trị khi b2 – 3ac ≤ 0
Phương trình (1) có hai nghiệm phân biệt thì hàm số đã cho có 2 điểm cực trị
Vậy hàm số bậc 3 có 2 cực trị khi b2 – 3ac > 0
* Cực trị của hàm trùng phương
Cho hàm số y = ax4 + bx2 + c có đồ thị là (C)
Đạo hàm y' = 4ax3 + 2bx. Xét phương trình y' = 0
Hay 4ax3 + 2bx = 2x(2ax2 + b) = 0
Để đồ thị hàm số đã cho có 1 điểm cực trị khi và chỉ khi phương trình y' = 0 có nghiệm duy nhất x = 0 hoặc phương trình (1) nhận x = 0 là nghiệm
Để đồ thị hàm số đã cho có 3 điểm cực trị khi và chỉ khi phương trình (1) có 2 nghiệm phân biệt khác 0 hay
II. Ví dụ minh họa
Ví dụ 1: Cho hàm số y = (m - 1)x3 – 3x2 – (m + 1)x + 3m2 – m + 2. Để hàm số có cực đại, cực tiểu xác định m?
A. m = 1 B. m ≠ 1
C. m > 1 D. m tùy ý.
Lời giải:
* Cách 1:
Ta có đạo hàm y' = 3(m - 1)x2 - 6x - m - 1
Để hàm số đã cho có cực đại, cực tiểu khi và chỉ khi phương trình y' = 0 có hai nghiệm phân biệt :
* Cách 2:
Áp dụng công thức điều kiện để hàm bậc ba có cực đại, cực tiểu
Hàm số có cực đại, cực tiểu khi
Suy ra chọn đáp án B.
Ví dụ 2: Điều kiện để hàm số y = ax4 + bx2 + c có 3 điểm cực trị là:
A. ab < 0 B. ab > 0
C. b = 0 D. c = 0
Lời giải:
Ta có đạo hàm y' = 4ax3 + 2bx = 2x(2ax2 + b)
Xét y' = 0 hay 2x(2ax2 + b) = 0
Để hàm số đã cho có 3 điểm cực trị khi và chỉ khi phương trình (*) có hai nghiệm phân biệt khác 0.
Suy ra chọn đáp án A.
Ví dụ 3: Tìm tất cả các giá trị thực của m để hàm số y = x3 – 2x2 + (m + 3)x - 1 không có cực trị?
A. m ≥ -8/3 B. m > -5/3
C. m ≥ -5/3 D. m ≤ -8/3
Lời giải:
Ta có đạo hàm: y' = 3x2 – 4x + m + 3
Hàm số không có cực trị khi và chỉ khi phương trình y' = 0 vô nghiệm hoặc có nghiệm kép.
⇔ Δ' ≤ 0 ⇔ 4 - 3(m + 3) ≤ 0 ⇔ m ≥ -5/3
Suy ra chọn đáp án C.
Ví dụ 4: Tìm các giá trị của tham số m để hàm số y = mx4 + (m - 1)x2 + m chỉ có đúng một cực trị.
Lời giải:
* Trường hợp 1: m = 0
Ta có hàm số y = -x2, hàm số này có 1 cực trị.
Vậy m = 0 thỏa mãn.
* Trường hợp 2: m ≠ 0
Đạo hàm y' = 4mx3 + 2(m - 1)x
Xét phương trình: y' = 0 hay 4mx3 + 2(m - 1)x = 0
Hàm số có đúng 1 cực trị khi và chỉ khi (*) vô nghiệm hoặc có nghiệm x = 0 .
Kết hợp TH1 và TH2 ta có:
thỏa mãn.
Suy ra chọn đáp án C.
Ví dụ 5: Tìm m để hàm số sau có cực trị:
A. -10 < m < 20 B. m > 0
C. m < 0 D. Mọi m
Lời giải:
* Với m = 0 thì hàm số trở thành y = -x2 + x - 1
⇒ y' = -2x + 1 = 0 khi x = 1/2 và y''(1/2) < 0
Do đó hàm số đạt cực đại tại x = 1/2
Vậy m = 0 thỏa mãn bài toán
* Với m ≠ 0 ta có:
Ta có y' = 0 khi và chỉ khi: mx2 – 2x + 1 – 2m = 0 (*)
Hàm số đã cho có cực trị khi và chỉ khi phương trình (*) có hai nghiệm phân biệt khác 1/m
⇔ 2m2 – m + 1 > 0 (luôn đúng với mọi m) .
Vậy hàm số đã cho luôn có cực trị với mọi m.
Suy ra chọn đáp án D.
Dạng 4: Bài toán liên quan đến cực trị của hàm số.
I. Phương pháp giải
1. Kỹ năng giải nhanh các bài toán cực trị hàm số bậc ba y = ax3 + bx2 + cx + d.
Ta có đạo hàm y' = 3ax2 + 2bx + c
• Bài toán: Viết phương trình đi qua hai điểm hai điểm cực trị của hàm số:
Đồ thị hàm số có 2 điểm cực trị khi phương trình y' = 0 có hai nghiệm phân biệt x1, x2
Ta có: y = g(x).y'(x) + r(x) trong đó r(x) là phần dư của phép chia y cho y'.
Khi đó phương trình đường thẳng đi qua hai điểm cực trị của đồ thị hàm số là: y = r(x).
(chú ý: Do x1, x2 là điểm cực trị nên y'(x1) = 0; y'(x2) = 0).
Bài toán: Tìm điều kiện của tham số m để đồ thị hàm số có hai điểm cực trị thỏa mãn hệ thức T.
+ Tìm điều kiện để hàm số có cực trị.
+ Phân tích hệ thức để áp dụng Viet cho phương trình bậc hai.
2. Kỹ năng giải nhanh các bài toán cực trị hàm trùng phương.
Cho hàm số: y = ax4 + bx2 + c có đồ thị là (C).
Ta có y' = 4ax3 + 2bx = 2x(2ax2 + b)
Đồ thị hàm số (C) có ba điểm cực trị khi y' = 0 có 3 nghiệm phân biệt ⇔ -b/2a > 0
Hàm số có 3 cực trị là: A(0;c)
Độ dài các đoạn thẳng:
CÔNG THỨC TÍNH NHANH
Ba điểm cực trị tạo thành tam giác ABC thỏa mãn dữ kiện
| STT | Dữ kiện | Công thức thỏa ab < 0 |
| 1 | Tam giác ABC vuông cân tại A | 8a + b3 = 0 |
| 2 | Tam giác ABC đều | 24a + b3 = 0 |
| 3 | Tam giác ABC có góc ∠BAC = α | |
| 4 | Tam giác ABC có diện tích SΔABC = S0 | 32a3(S0)2 + b5 = 0 |
| 5 | Tam giác ABC có diện tích max (S0) | |
| 6 | Tam giác ABC có bán kính đường tròn nội tiếp rΔABC = r0 | |
| 7 | Tam giác ABC có độ dài cạnh BC = m0 | a.m02 + 2b = 0 |
| 8 | Tam giác ABC có độ dài AB = AC = n0 | 16a2n02 - b4 + 8ab = 0 |
| 9 | Tam giác ABC có cực trị B, C ∈ Ox | b2 – 4ac = 0 |
| 10 | Tam giác ABC có 3 góc nhọn | b(8a + b3) > 0 |
| 11 | Tam giá ABC có trọng tâm O | b2 – 6ac = 0 |
| 12 | Tam giác ABC có trực tâm O | b3 + 8a - 4ac = 0 |
| 13 | Tam giác ABC có bán kính đường tròn ngoại tiếp RΔABC = R0 | |
| 14 | Tam giác ABC cùng điểm O tạo hình thoi | b2 – 2ac = 0 |
| 15 | Tam giác ABC có O là tâm đường tròn nội tiếp | b3 – 8a – 4abc = 0 |
| 16 | Tam giác ABC có O là tâm đường tròn ngoại tiếp | b3 – 8a – 8abc = 0 |
| 17 | Tam giác ABC có cạnh BC = k.AB = k.AC | b3k2 - 8a(k2 - 4) =0 |
| 18 | Trục hoành chia ΔABC thành hai phần có diện tích bằng nhau | b2 = 4√2|ac| |
| 19 | Tam giác ABC có điểm cực trị cách đều trục hoành | b2 – 8ac = 0 |
| 20 | Phương trình đường tròn ngoại tiếp ΔABC là: | |
II. Ví dụ minh họa
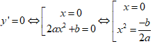
Ví dụ 1: Tìm tất cả các giá trị thực của tham số m để hàm số y = m/3.x3 + 2x2 + mx + 1 có 2 điểm cực trị thỏa mãn xCĐ < xCT.
A. m < 2 B. -2 < m < 0
C. -2 < m < 2 D. 0 < m < 2
Lời giải:
Đạo hàm y' = mx2 + 4x + m
Để hàm số có 2 điểm cực trị thỏa mãn xCĐ < xCT
Suy ra chọn đáp án D.
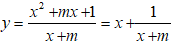
Ví dụ 2: Tìm tất các giá trị thực của tham số m để hàm số:
y = 1/3.x3 + (m + 3)x2 + 4(m + 3)x + m3 - m đạt cực trị tại x1, x2 thỏa mãn -1 < x1 < x2
Lời giải:
Đạo hàm y' = x2 + 2(m + 3)x + 4(m + 3)
Yêu cầu của bài toán trở thành phương trình y' = 0 có hai nghiệm phân biệt x1, x2 thỏa mãn: -1 < x1 < x2
Suy ra chọn đáp án D.
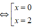
Ví dụ 3: Tìm các giá trị của tham số để hàm số: y = 1/3.mx2 - (m - 1)x2 + 3(m - 2)x + 1/6 đạt cực trị tại x1, x2 thỏa mãn x1 + 2x2 = 1
Lời giải:
Đạo hàm y' = mx2 - 2(m - 1)x + 3(m - 2)
Yêu cầu của bài toán trở thành phương trình y' = 0 có hai nghiệm phân biệt x1, x2 thỏa mãn: x1 + 2x2 = 1
Suy ra chọn đáp án B.
Ví dụ 4: Tìm các giá trị của tham số m để đồ thị hàm số: y = x4 – 2m2x2 + 1 có ba điểm cực trị là ba đỉnh của một tam giác vuông cân.
A. m = - 1 B. m ≠ 0
C. m = 1 D. m = 1 hoặc m = -1
Lời giải:
Đạo hàm y' = 4x3 – 4m2x
Ta có: y' = 0 khi 4x(x2 – m2) = 0
* Hàm số có 3 điểm cực trị ⇔ m ≠ 0
Khi đó 3 điểm cực trị của đồ thị hàm số là: A(0; 1), B(m; 1 - m4), C(-m; 1 - m4)
* Do tính chất đối xứng, ta có tam giác ABC cân tại đỉnh A .
Vậy tam giác ABC chỉ có thể vuông cân tại đỉnh
A ⇔ AB−.AC− = 0
⇔ -m2 + m8 = 0
Kết hợp điều kiện ta có: m = 1 hoặc m = -1 (thỏa mãn).
Lưu ý: có thể sử dụng công thức
Suy ra chọn đáp án D.
Ví dụ 5: Tìm các giá trị của tham số m để đồ thị hàm số: y = x4 – 2mx2 + 2m + m4 có ba điểm cực trị là ba đỉnh của một tam giác đều.
Lời giải:
Đạo hàm y' = 4x3 – 4mx = 4x(x2 – m)
Xét phương trình y' = 0 hay 4x(x2 – m) = 0 (*)
* Hàm số có 3 cực trị khi và chỉ khi phương trình (*) có 3 nghiệm phân biệt hay m > 0 .
* Khi đó 3 điểm cực trị của đồ thị hàm số là:
A(0; m4 + 2m), B(-√m; m4 - m2 + 2m), C(√m; m4 - m2 + 2m)
Do tính chất đối xứng, ta có tam giac ABC cân tại đỉnh A.
* Vậy tam giác ABC đều chỉ cần AB = BC
Kết hợp điều kiện ta có: m = 3√3 ( thỏa mãn).
* Lưu ý: có thể sử dụng công thức:
Suy ra chọn đáp án C.
(199k) Xem Khóa học Toán 12 KNTTXem Khóa học Toán 12 CDXem Khóa học Toán 12 CTST
Xem thêm các dạng bài tập Toán lớp 12 ôn thi Tốt nghiệp có lời giải hay khác:
- 2 dạng bài Tìm giá trị lớn nhất, nhỏ nhất của hàm số ôn thi Tốt nghiệp (có lời giải)
- 5 dạng bài Tìm tiệm cận của hàm số ôn thi Tốt nghiệp (có lời giải)
- 2 dạng bài Tiếp tuyến của đồ thị hàm số ôn thi Tốt nghiệp (có lời giải)
- 5 dạng bài Sự tương giao của đồ thị hàm số ôn thi Tốt nghiệp (có lời giải)
Đã có app VietJack trên điện thoại, giải bài tập SGK, SBT Soạn văn, Văn mẫu, Thi online, Bài giảng....miễn phí. Tải ngay ứng dụng trên Android và iOS.
Theo dõi chúng tôi miễn phí trên mạng xã hội facebook và youtube:Nếu thấy hay, hãy động viên và chia sẻ nhé! Các bình luận không phù hợp với nội quy bình luận trang web sẽ bị cấm bình luận vĩnh viễn.
- Giải Tiếng Anh 12 Global Success
- Giải sgk Tiếng Anh 12 Smart World
- Giải sgk Tiếng Anh 12 Friends Global
- Lớp 12 Kết nối tri thức
- Soạn văn 12 (hay nhất) - KNTT
- Soạn văn 12 (ngắn nhất) - KNTT
- Giải sgk Toán 12 - KNTT
- Giải sgk Vật Lí 12 - KNTT
- Giải sgk Hóa học 12 - KNTT
- Giải sgk Sinh học 12 - KNTT
- Giải sgk Lịch Sử 12 - KNTT
- Giải sgk Địa Lí 12 - KNTT
- Giải sgk Giáo dục KTPL 12 - KNTT
- Giải sgk Tin học 12 - KNTT
- Giải sgk Công nghệ 12 - KNTT
- Giải sgk Hoạt động trải nghiệm 12 - KNTT
- Giải sgk Giáo dục quốc phòng 12 - KNTT
- Giải sgk Âm nhạc 12 - KNTT
- Giải sgk Mĩ thuật 12 - KNTT
- Lớp 12 Chân trời sáng tạo
- Soạn văn 12 (hay nhất) - CTST
- Soạn văn 12 (ngắn nhất) - CTST
- Giải sgk Toán 12 - CTST
- Giải sgk Vật Lí 12 - CTST
- Giải sgk Hóa học 12 - CTST
- Giải sgk Sinh học 12 - CTST
- Giải sgk Lịch Sử 12 - CTST
- Giải sgk Địa Lí 12 - CTST
- Giải sgk Giáo dục KTPL 12 - CTST
- Giải sgk Tin học 12 - CTST
- Giải sgk Hoạt động trải nghiệm 12 - CTST
- Giải sgk Âm nhạc 12 - CTST
- Lớp 12 Cánh diều
- Soạn văn 12 Cánh diều (hay nhất)
- Soạn văn 12 Cánh diều (ngắn nhất)
- Giải sgk Toán 12 Cánh diều
- Giải sgk Vật Lí 12 - Cánh diều
- Giải sgk Hóa học 12 - Cánh diều
- Giải sgk Sinh học 12 - Cánh diều
- Giải sgk Lịch Sử 12 - Cánh diều
- Giải sgk Địa Lí 12 - Cánh diều
- Giải sgk Giáo dục KTPL 12 - Cánh diều
- Giải sgk Tin học 12 - Cánh diều
- Giải sgk Công nghệ 12 - Cánh diều
- Giải sgk Hoạt động trải nghiệm 12 - Cánh diều
- Giải sgk Giáo dục quốc phòng 12 - Cánh diều
- Giải sgk Âm nhạc 12 - Cánh diều


Giải bài tập SGK & SBT
Tài liệu giáo viên
Sách
Khóa học
Thi online
Hỏi đáp

