(4 dạng) Bài tập Tính đơn điệu của hàm số ôn thi Tốt nghiệp (có lời giải)
Bài viết Tính đơn điệu của hàm số ôn thi Tốt nghiệp môn Toán với phương pháp giải chi tiết giúp học sinh ôn tập, biết cách làm bài tập Tính đơn điệu của hàm số.
(4 dạng) Bài tập Tính đơn điệu của hàm số ôn thi Tốt nghiệp (có lời giải)
(199k) Xem Khóa học Toán 12 KNTTXem Khóa học Toán 12 CDXem Khóa học Toán 12 CTST
Bài giảng: Cách xét tính đơn điệu của hàm số - Cô Nguyễn Phương Anh (Giáo viên VietJack)
Dạng 1: Xét tính đơn điệu của hàm số.
I. Phương pháp giải
Để xét tính đơn điệu của hàm số y= f( x) trên tập xác định ta làm như sau:
Bước 1. Tìm tập xác định D.
Bước 2. Tính đạo hàm y' = f'(x).
Bước 3. Tìm nghiệm của y' = 0 hoặc những giá trị x làm cho f'(x) không xác định.
Bước 4. Lập bảng biến thiên.
Bước 5. Kết luận.
II. Ví dụ minh họa
Ví dụ 1: Xét tính đồng biến và nghịch biến của hàm số y = x3 – 3x2 – 9x - 10
Lời giải:
Ta có đạo hàm: y' = 3x2 - 6x - 9
Giải y' = 0 hay 3x2 - 6x - 9 = 0
Bảng biến thiên:
Dựa vào bẳng biến thiên hàm số đồng biến trên khoảng (-∞; -1) và (3; +∞)
Hàm số nghịch biến trên khoảng (-1; 3).
Ví dụ 2: Xét tính đơn điệu của hàm số sau:
Lời giải:
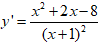
TXĐ: D = R\{-1}.
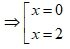
Giải y' = 0
⇒ x2 + 2x - 8 = 0
y' không xác định khi x = -1. Bảng biến thiên:
Hàm số nghịch biến trên các khoảng (-4; -1) và (-1;2)
Hàm số đồng biến trên các khoảng (-∞; -4) và (2; +∞)
Ví dụ 3: Cho hàm số
Xét tính đơn điệu của hàm số?
Lời giải:
Điều kiện: 3x2 - x3 > 0 suy ra D = (-∞; 3].
Đạo hàm
, ∀x ∈ (-∞;3)
Giải y' = 0
y' không xác định khi
Bảng biến thiên:
Hàm số nghịch biến trên (-∞;0) và (2;3) và (3;+∞)
Hàm số đồng biến trên (0;2).
Ví dụ 4: Cho hàm số y = |x + 1|(x - 2). Xét tính đơn điệu của hàm số?
Lời giải:
Ta có:
Suy ra đạo hàm:
Phương trình y' = 0 có nghiệm x = 1/2
Bảng biến thiên:
+ Hàm số đồng biến khi (-∞;-1) và (1/2; ∞)
+ Hàm số nghịch biến trên khoảng (-1; 1/2).
Ví dụ 5: Cho hàm số y = x4 – 2x2 – 3. Xét tính đơn điệu của hàm số
Lời giải:
Ta có: Đạo hàm y' = 4x3 – 4x
Phương trình y' = 0 khi 4x3 – 4x = 0
Bảng biến thiên:
Hàm số đồng biến trên khoảng (-1;0) và (1;+∞)
Hàm số nghịch biến trên khoảng (-∞;-1) và (0;1).
Ví dụ 6: Xét tính đơn điệu của hàm số:
Lời giải:
Điều kiện: x ≠ -1
Đạo hàm:
Bảng biến thiên:
Hàm số đồng biến trên tập xác định.
Dạng 2: Tìm tham số m để hàm số đơn điệu trên R (tập xác định).
I. Phương pháp giải
* Hàm đa thức bậc ba y = ax3 + bx2 + cx + d
Đạo hàm: y' = 3ax2 + 2bx + c
• Hàm đa thức bậc ba đồng biến trên R khi và chỉ khi:
• Hàm đa thức bậc ba nghịch biến trên R khi và chỉ khi:
* Hàm phân thức bậc nhất
Đạo hàm
và hàm số xác định với mọi x ≠ -d/c
• Hàm số đồng biến trên tập xác định khi y' > 0 hay ad - bc > 0
• Hàm số nghịch biến trên tập xác định khi y' < 0 hay ad – bc < 0
* Chú ý: Cho tam thức bậc hai f(x) = ax2 + bx + c ta có:
II. Ví dụ minh họa
Ví dụ 1: Cho hàm số y = (m + 2).x3/3 - (m + 2)x2 + (m - 8)x + m2 - 1. Tìm tất cả các giá trị của tham số thực m để hàm số nghịch biến trên R
A. m < -2 B. m > -2
C. m ≤ -2 D. m ≥ -2
Lời giải:
Ta có đạo hàm: y' = (m + 2)x2 - 2(m + 2)x + m - 8.
Yêu cầu bài toán ⇔ y' ≤ 0, ∀x ∈ R (y' = 0 có hữu hạn nghiệm)
TH1: m + 2 = 0 hay m = -2, khi đó y' = -10 ≤ 0, ∀x ∈ (thỏa mãn).
TH2:
Kết hợp hai trường hợp ta được m ≤ -2
Suy ra chọn đáp án C.
Ví dụ 2: Tìm m để hàm số
đồng biến trên tập xác định.
A. m > 4 B. m < 4
C. m > -4 D. m < -4
Lời giải:
Điều kiện: x ≠ -2
Ta có đạo hàm:
Để hàm số đã cho đồng biến trên tập xác định khi và chỉ khi: y' > 0; ∀ ∈ R\{2}
Hay
Vậy để hàm số đã cho đồng biến trên tập xác định thì m < -4.
Suy ra chọn đáp án D.
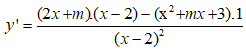
Ví dụ 3: Cho hàm số:
Tìm m để hàm số đã cho đồng biến trên tập xác định.
A. m > 4 B. m < 4
C. m ≥ 4 D. m < -4
Lời giải:
+ Tập xác định D = R\{1}.
+ Đặt f(x) = x2 + mx + 3. Điều kiện để hàm số không bị suy biến là:
f(1) ≠ 0 hay 12 + m.1 + 3 ≠ 0 ⇔ m ≠ -4
+ Đạo hàm:
Để hàm số đã cho đồng biến trên tập xác định khi và chỉ khi:
Và phương trình y' = 0 chỉ có hữu hạn nghiệm.
Mà x2 - 2x - m - 3 ≥ 0 khi và chỉ khi: Δ' = (-1)2 - (-m - 3).1 ≤ 0
Kết hợp với điều kiện; suy ra để hàm số đồng biến trên tập xác định thì m < -4.
Suy ra chọn đáp án D.
Ví dụ 4: Cho hàm số y = mx3 – 6x2 + 3mx – 1. Tìm m để hàm số đồng biến trên R.
A. m > -2 B. m < -2 hoặc m > 2
C. m < 2 D. -2 < m < 2
Lời giải:
* Nếu m = 0 ta có: y = -6x2 - 1.
Đạo hàm y' = -12x. Đạo hàm y' đổi dấu từ dương sang âm khi qua điểm x = 0
⇒ Hàm số không đồng biến trên R khi m = 0.
* Nếu m ≠ 0 thì y' = 3mx2 - 12x + 3m. Để hàm số đồng biến trên R khi và chỉ khi:
Δ' ≤ 0 ⇔ (-6)2 - 9m2 ≤ 0 ⇔ m < -2 hoặc m > 2.
⇔ m < -2 hoặc m > 2
Vậy để hàm số đã cho đồng biến trên R thì m < -2 hoặc m > 2.
Suy ra chọn đáp án B.
Dạng 3.1: Phương pháp cô lập m trong khảo sát tính đơn điệu của hàm số.
I. Phương pháp giải
• Bước 1. Tính đạo hàm y'
Hàm số đồng biến trên khoảng K ⇔ y' ≥ 0, ∀x ∈ K (1)
Hàm số nghịch biến trên khoảng K ⇔ y' ≤ 0, ∀x ∈ K (2)
• Bước 2. Từ bất phương trình (1) (hoặc (2)) đưa bất phương trình về dạng m ≥ f(x) hoặc m ≤ g(x)
• Bước 3. Xét chiều biến thiên của hàm số trên khoảng K.
• Bước 4. Kết luận.
m ≥ g(x), ∀x ∈ K ⇔ m ≥ max g(x) (x ∈ K)
m ≤ g(x), ∀x ∈ K ⇔ m ≤ min g(x) (x ∈ K)
II. Ví dụ minh họa
Ví dụ 1: Tìm m để hàm số y = x3/3 - mx2 + (1 - 2m)x - 1 đồng biến trên (1; +∞) ?
A. m > 1/2 B. m ≥ 1/2
C. m < 3/2 D. m ≤ -1/2
Lời giải:
Tập xác định D = R.
* Đạo hàm: y' = x2 – 2mx + 1 - 2m
* Hàm số đã cho đồng biến trên (1; +∞) ⇔ f'(x) ≥ 0, ∀x ∈ (1; +∞)
Hay ∀x ∈ (1; +∞) thì y' = x2 - 2mx + 1 - 2m ≥ 0 ⇔ x2 + 1 ≥ 2m(x + 1)
(vì khi x > 1 thì x + 1 > 0) (*)
* Xét hàm số:
Ta có:
⇒ hàm số đồng biến trên (1; ∞) nên f(x) > f(1) = 1 (**)
Từ (*) và (**) suy ra: 2m > 1 ⇔ m > 1/2
Suy ra chọn đáp án A.
Ví dụ 2: Tìm các giá trị của m để hàm số y = mx3 – x2 + 3x + m - 2 đồng biến trên (-3; 0)
A. m > 1/2 B. m < -2/3
C. m < -1/3 D. m > -1/3
Lời giải:
Tập xác định D = R.
* Đạo hàm y' = 3mx2 - 2x + 3
Hàm số đồng biến trên (-3; 0) khi và chỉ khi y'(x) ≥ 0, ∀x ∈ (-3;0) và phương trình y' = 0 có hữu hạn nghiệm trên (-3; 0)
⇔ 3mx2 - 2x + 3 ≥ 0, ∀x ∈ (-3;0)
⇔ 3mx2 ≥ 2x - 3, ∀x ∈ (-3;0)
Đặt
Ta có:
Vì -3 < x < 0 nên -2x + 6 > 0 và 3x3 < 0
⇒ Hàm số y = g(x) nghịch biến trên (-3; 0) nên g(x) < g(-3) = 1/3 với -3 < x < 0 (2)
Từ (1) và (2) suy ra: m > -1/3
Suy ra chọn đáp án D.
Ví dụ 3: Cho hàm số:
Với những giá trị nào của m thì hàm số đã cho đồng biến trên (1;5]
A. m > -1/24 B. m < 2/7
C. m ≥ -1/36 D. m ≤ -1/12
Lời giải:
Điều kiện: x ≠ -1
Đạo hàm
Để hàm số đã cho đồng biến trên (1; 5] khi và chỉ khi: y' ≥ 0, ∀x ∈ (1;5]
+ Xét hàm số
trên (1; 5]
Ta có:
⇒ Hàm số đồng biến trên (1;5] nên
* Từ (1) và (2) suy ra để hàm số đồng biến trên (1; 5] thì m ≥ -1/36 (2)
Suy ra chọn đáp án B.
Dạng 3.2: Tìm m để hàm số đơn điệu trên khoảng bằng phương pháp tam thức bậc hai.
I. Phương pháp giải
Bước 1. Tìm đạo hàm y’ .
Để hàm số đồng biến (nghịch biến) trên khoảng K thì y' ≥ 0 (y' ≤ 0) với ∀x ∈ K và phương trình y' = 0 có hữu hạn nghiệm.
Bước 2. Giải bất phương trình để luôn đúng với mọi x thuộc K.
Bước 3. Kết luận
* Chú ý:
+ Hàm đa thức bậc ba y = ax3 + bx2 + cx + d
⇒ Đạo hàm y' = 3ax2 + 2bx + c
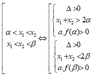
• Nếu a > 0 và y' = 0 có hai nghiệm phân biệt x1 < x2
Hàm số đồng biến trên (α; β) khi và chỉ khi:
Hàm số nghịch biến trên (α; β) khi và chỉ khi:
• Nếu a < 0 và y' = 0 có hai nghiệm phân biệt x1 < x2
Hàm số nghịch biến trên (α; β) khi và chỉ khi:
Hàm số đồng biến trên (α; β) khi và chỉ khi
+ Hàm phân thức
Hàm số có đạo hàm
• Hàm số đồng biến trên khoảng K nếu ad - bc > 0 và -d/c ∉ K.
• Hàm số nghịch biến trên khoảng K nếu ad - bc < 0 và -d/c ∉ K.
+ Hàm phân thức
Bước 1.
Tính đạo hàm
Bước 2.
+ Để hàm số đồng biến trên khoảng K khi và chỉ khi:
+ Để hàm số nghịch biến trên khoảng K khi và chỉ khi:
Chú ý: f(x) là một tam thức bậc hai; sử dụng tính chất nghiệm của tam thức bậc hai để giải hệ trên.
II. Ví dụ minh họa
Ví dụ 1: Cho hàm số y = x3 – (m + 1)x2 - (2m2 - 3m + 2).x + 2m(2m - 1). Tìm tất cả các giá trị thực của tham số m để hàm số đã cho đồng biến trên [2;+∞)
A. m < 5 B. -2 ≤ m ≤ 3/2
C. m > -2 D. m < 3/2
Lời giải:
* Ta có đạo hàm: y' = 3x2 – 2(m + 1)x – (2m2 – 3m + 2)
* Xét phương trình y' = 0 có:
Δ' = (m + 1)2 + 3(2m2 - 3m + 2) = 7(m2 - m + 1) > 0, ∀x ∈ R
Suy ra phương trình y' = 0 luôn có hai nghiệm x1 > x2 với mọi m.
* Để hàm số đồng biến trên [2;+∞) ⇔ phương trình y' = 0 có hai nghiệm x1 < x2 ≤ 2
Suy ra chọn đáp án B.
Ví dụ 2: Tìm tất cả các giá trị của m để hàm số y = x3 – 3(m + 1)x2 + 3m(m + 2)x nghịch biến trên đoạn [0; 1]
A. m < 0 B. -1 < m < 0
C. -1 ≤ m ≤ 0 D. m > -1
Lời giải:
* Đạo hàm: y' = 3x2 - 6(m + 1)x + 3m(m + 2) = 3[x2 – 2(m + 1)x + m(m + 2)]
Ta có: Δ' = (m + 1)2 - m(m + 2) = 1 > 0, ∀x ∈ R.
Do đó y' = 0 luôn có hai nghiệm phân biệt x = m; x = m + 2
Bảng biến thiên
Dựa vào bảng biến thiên, để hàm số nghịch biến trên [0; 1] ↔ [0; 1] ⊂ [m; m + 2]
Suy ra chọn đáp án C.
Ví dụ 3: Cho hàm số y = (m2 - 2m)x4 + (4m - m2)x2 - 4. Hỏi có bao nhiêu giá trị nguyên của tham số m để hàm số đồng biến trên khoảng (0; +∞)
A. 0. B. Vô số.
C. 2. D. 3.
Lời giải:
Ta xét hai trường hợp:
• Hệ số a = m2 - 2m = 0
Hàm số y = 4x2 - 4 có đồ thị là một parabol nghịch biến trên khoảng (-∞; 0), đồng biến trên khoảng (0; +∞)
Do đó m = 2 thỏa mãn. (Học sinh rất mắc phải sai lầm là không xét trường hợp a = 0)
• Hệ số a = m2 - 2m ≠ 0.
Dựa vào dáng điệu đặc trưng của hàm trùng phương thì yêu cầu bài toán tương đương với đồ thị thàm số có một cực trị và đó là cực tiểu
⇔ 2 < m ≤ 4 -m ∈ Z→ m = {3;4}
Vậy m = {2; 3; 4}
Suy ra chọn đáp án D.
Ví dụ 4: Tìm tất cả các giá trị thực của tham số m để hàm số
nghịch biến trên khoảng (-∞; 2).
A. m > 2 B. m ≥ 1
C. m ≥ 2 D. m > 1
Lời giải:
Cách 1.
Điều kiện: x ≠ m
Ta có
Với -m + 1 < 0 hay m > 1 thì y' < 0 mọi x khác m nên hàm số đã cho nghịch biến trên từng khoảng (-∞; m) và (m; +∞).
Theo yêu cầu của bài toán thì (-∞; 2) ⊂ (-∞; m)
⇔ m ≥ 2 (thỏa mãn).
Cách 2. Ta có
Yêu cầu bài toán:
Suy ra chọn đáp án C.
Ví dụ 5: Tìm các giá trị của tham số m để hàm số sau đồng biến trên khoảng (3; ∞)
A. m > 3 B. -2 < m < 1
C. m < -3 D. -3 < m < 3
Lời giải:
Điều kiện xác định: x ≠ 2
Đạo hàm:
Để hàm số đã cho đồng biến trên (3; +∞) khi và chỉ khi phương trình y' = 0 có hai nghiệm x1 < x2 < 3 hoặc y' ≥ 0 với mọi x thuộc tập xác định.
+ Trường hợp 1. y' > 0 với mọi x thuộc tập xác định.
⇔ x2 - 4x - 2m - 3 ≥ 0 với mọi x.
⇔ Δ' = 4 + 2m + 3 ≤ 0
⇔ 7 + 2m ≤ 0 ⇔ m ≤ -7/2
+ Trường hợp 2. Phương trình y' = 0 có hai nghiệm x1 < x2 < 3
Kết hợp hai trường hợp ta có m < -3 thỏa mãn yêu cầu bài toán
Suy ra chọn đáp án C.
Dạng 4: Tìm tham số m để hàm số đơn điệu trên đoạn có độ dài l.
I. Phương pháp giải
* Tìm m để hàm số y = ax3 + bx2 + cx + d đồng biến ( nghịch biến) trên đoạn có độ dài bằng l.
• Bước 1. Tính đạo hàm y' = 3ax2 + 2bx + c (*)
• Bước 2. Tìm điều kiện để hàm số đồng biến; nghịch biến trên đoạn (khi đó phương trình (*) có 2 nghiệm phân biệt.
• Bước 3. Áp dụng hệ thức viet với phương trình (*). Gọi x1, x2 là 2 nghiệm phương trình (*)
• Bước 4. Biến đổi: để :
|x1 - x2| = l ⇔ x12 + x22 - 2x1.x2 = l2
⇔ (x1 + x2)2 - 4x1x2 = l2(**)
• Bước 5. Thay (I) vào (**) ta được phương trình ẩn m .
Giải phương trình ta tìm m = ... .
II. Ví dụ minh họa
Ví dụ 1: Biết rằng hàm số y = 1/3.x3 + 3(m - 1)x2 + 9x + 1 (với m là số thực) nghịch biến trên khoảng (x1; x2). Tìm tất cả các giá trị của m để |x1 - x2| = 6√3
A. m = -1 B. m = 3
C. m = -3; m = 1 D. m = -1; m = 3.
Lời giải:
* Ta có đạo hàm: y' = x2 + 6(m - 1)x + 9.
Yêu cầu bài toán trở thành phương trình: y' = 0 có hai nghiệm phân biệt x1, x2 thỏa mãn |x1 - x2| = 6√3
* Ta có: Δ' = 3(m - 1)2 - 9 = 3m2 - 6m - 6
Để phương trình đã cho có 2 nghiệm phân biệt khi và chỉ khi:
* Áp dụng hệ thức Viet ta có:
*Để |x1 - x2| = 6√3 ⇔ (x1 + x2)2 - 4x1x2 = 108
[-6(m - 1)2] - 4.9 = 108 ⇔ [-6(m - 1)2] = 144
(thỏa mãn điều kiện)
Vậy có hai gia trị của m thỏa mãn là m = -1 hoặc m = 3.
Suy ra chọn đáp án D.
Ví dụ 2: Tìm tất cả các giá trị thực của tham số m để hàm số y = x3 + 3x2 + mx + m giảm trên đoạn có độ dài lớn nhất bằng 1.
A. m = -9/4 B. m = 2
C. m ≤ 2 D. m = 9/4
Lời giải:
Ta có đạo hàm: y' = 3x2 + 6x + m.
Yêu cầu bài toán tương đương phương trình y' = 0 có hai nghiệm phân biệt x1, x2 thỏa mãn |x1 - x2| = 1
* Ta có: Δ' = 9 - 3m
Để phương trình y' = 0 có hai nghiệm phân biệt khi và chỉ khi Δ' > 0
⇔ 9 – 3m > 0 ⇔ m < 3
* Áp dụng hệ thức Viet ta có:
* Để |x1 - x2| = 1 thì (x1 + x2)2 - 4x1x2 = 1
(thỏa mãn điều kiện )
Suy ra chọn đáp án D.
Ví dụ 3: Tìm m để hàm số y = -x4 + (m + 1)x2 + 3 nghịch biến trên một khoảng (a; 0) và độ dài khoảng này bằng 3.
A. m = -5 B. m = 11
C. m = -12 D. m = 17
Lời giải:
* Ta có đạo hàm: y' = -4x3 + 2(m + 1).x = 2x(-2x2 + m + 1)
y' = 0 khi và chỉ khi:
* Để hàm số đã cho nghịch biến trên (x1; x2) thì phương trình -2x2 + m + 1 = 0 phải có hai nghiệm phân biệt:
⇔ Δ' > 0 ⇔ 2(m + 1) > 0 ⇔ m > -1
Ta có x1 + x2 = 0 nên hai nghiệm này trái dấu nhau.
Giả sử x1 < 0 < x2. Khi đó, hàm số sẽ nghịch biến trên khoảng (x1; 0) và (x2; +∞)
Từ giả thiết suy ra độ dài khoảng (x1; 0) nên x1 = -3
⇒ Phương trình -2x2 + m + 1 = 0 có một nghiệm là -3.
⇒ - 2.(-3)2 + m + 1 = 0 nên m = 17 (thỏa mãn) .
Vậy giá trị m cần tìm là m = 17.
Suy ra chọn đáp án D.
(199k) Xem Khóa học Toán 12 KNTTXem Khóa học Toán 12 CDXem Khóa học Toán 12 CTST
Xem thêm các dạng bài tập Toán lớp 12 ôn thi Tốt nghiệp có lời giải hay khác:
- 4 dạng bài Tìm cực trị của hàm số ôn thi Tốt nghiệp (có lời giải)
- 2 dạng bài Tìm giá trị lớn nhất, nhỏ nhất của hàm số ôn thi Tốt nghiệp (có lời giải)
- 5 dạng bài Tìm tiệm cận của hàm số ôn thi Tốt nghiệp (có lời giải)
- 2 dạng bài Tiếp tuyến của đồ thị hàm số ôn thi Tốt nghiệp (có lời giải)
Đã có app VietJack trên điện thoại, giải bài tập SGK, SBT Soạn văn, Văn mẫu, Thi online, Bài giảng....miễn phí. Tải ngay ứng dụng trên Android và iOS.
Theo dõi chúng tôi miễn phí trên mạng xã hội facebook và youtube:Nếu thấy hay, hãy động viên và chia sẻ nhé! Các bình luận không phù hợp với nội quy bình luận trang web sẽ bị cấm bình luận vĩnh viễn.
- Giải Tiếng Anh 12 Global Success
- Giải sgk Tiếng Anh 12 Smart World
- Giải sgk Tiếng Anh 12 Friends Global
- Lớp 12 Kết nối tri thức
- Soạn văn 12 (hay nhất) - KNTT
- Soạn văn 12 (ngắn nhất) - KNTT
- Giải sgk Toán 12 - KNTT
- Giải sgk Vật Lí 12 - KNTT
- Giải sgk Hóa học 12 - KNTT
- Giải sgk Sinh học 12 - KNTT
- Giải sgk Lịch Sử 12 - KNTT
- Giải sgk Địa Lí 12 - KNTT
- Giải sgk Giáo dục KTPL 12 - KNTT
- Giải sgk Tin học 12 - KNTT
- Giải sgk Công nghệ 12 - KNTT
- Giải sgk Hoạt động trải nghiệm 12 - KNTT
- Giải sgk Giáo dục quốc phòng 12 - KNTT
- Giải sgk Âm nhạc 12 - KNTT
- Giải sgk Mĩ thuật 12 - KNTT
- Lớp 12 Chân trời sáng tạo
- Soạn văn 12 (hay nhất) - CTST
- Soạn văn 12 (ngắn nhất) - CTST
- Giải sgk Toán 12 - CTST
- Giải sgk Vật Lí 12 - CTST
- Giải sgk Hóa học 12 - CTST
- Giải sgk Sinh học 12 - CTST
- Giải sgk Lịch Sử 12 - CTST
- Giải sgk Địa Lí 12 - CTST
- Giải sgk Giáo dục KTPL 12 - CTST
- Giải sgk Tin học 12 - CTST
- Giải sgk Hoạt động trải nghiệm 12 - CTST
- Giải sgk Âm nhạc 12 - CTST
- Lớp 12 Cánh diều
- Soạn văn 12 Cánh diều (hay nhất)
- Soạn văn 12 Cánh diều (ngắn nhất)
- Giải sgk Toán 12 Cánh diều
- Giải sgk Vật Lí 12 - Cánh diều
- Giải sgk Hóa học 12 - Cánh diều
- Giải sgk Sinh học 12 - Cánh diều
- Giải sgk Lịch Sử 12 - Cánh diều
- Giải sgk Địa Lí 12 - Cánh diều
- Giải sgk Giáo dục KTPL 12 - Cánh diều
- Giải sgk Tin học 12 - Cánh diều
- Giải sgk Công nghệ 12 - Cánh diều
- Giải sgk Hoạt động trải nghiệm 12 - Cánh diều
- Giải sgk Giáo dục quốc phòng 12 - Cánh diều
- Giải sgk Âm nhạc 12 - Cánh diều


Giải bài tập SGK & SBT
Tài liệu giáo viên
Sách
Khóa học
Thi online
Hỏi đáp

