15 Bài tập về tính chất của tích phân có lời giải
Bài viết 15 Bài tập về tính chất của tích phân có lời giải gồm các dạng bài tập về tính chất của tích phân lớp 12 từ cơ bản đến nâng cao giúp học sinh lớp 12 biết cách làm bài tập tính chất của tích phân.
15 Bài tập về tính chất của tích phân có lời giải
(199k) Xem Khóa học Toán 12 KNTTXem Khóa học Toán 12 CDXem Khóa học Toán 12 CTST
Bài giảng: Ứng dụng của tích phân tính diện tích, tính thể tích - Cô Nguyễn Phương Anh (Giáo viên VietJack)
A. Phương pháp giải
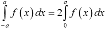
Cho hàm số f và g liên tục trên K và a; b; c là ba số bất kì thuộc K. Khi đó ta có:
B. Ví dụ minh họa
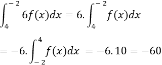
Ví dụ 1. Cho hàm số y = f(x) xác định và liên tục trên đoạn [-2; 4] biết rằng: .
Tính: .
A. –60. B. –30. C. 60. D. 20.
Lời giải
Ta có:
Chọn A.
Ví dụ 2. Cho hàm số: y = f(x) và y = g(x) xác định và liên tục trên đoạn [-3; 6]. Biết rằng:
Tính:
A. 2. B. –38. C. 38. D. -2.
Lời giải
Chọn C.
Ví dụ 3. Cho . Tính
.
Lời giải
Chọn B.
Ví dụ 4. Cho .
Tính .
Lời giải
Ta có:
Chọn A.
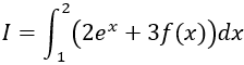
Ví dụ 5. Cho .
Tính: .
A. I = e2 + e + 3.
B. I = e2 - e-1 + 3.
C. I = e2 - e-1 - 3.
D. Đáp án khác.
Lời giải
Ta có:
Chọn B.
Ví dụ 6. Cho .
Tính:
Lời giải
Chọn C.
Ví dụ 7. Cho
Tính:
A. 13. B. 36. C. 9/4. D. 5.
Lời giải
Ta có:
Chọn D.
Ví dụ 8. Cho
Tính:
A. –11. B. 11. C. 13. D. 5.
Lời giải
Chọn A.
Ví dụ 9. Nếu f(0) = 1; f'(x) liên tục và thì giá trị của f(3) là:
A. 3. B. 9. C. 10. D. Đáp án khác.
Lời giải
Ta có:
Chọn C.
Ví dụ 10. Cho hàm số y = f(x) và y = g(x) là hai hàm số liên tục trên [-1;1] và f(x) là hàm số chẵn, g(x) là hàm số lẻ. Biết . Mệnh đề nào dưới đây sai?
Lời giải
Nhớ 2 tích chất sau để làm trắc nghiệm nhanh:
1. Nếu hàm số y = f(x) là chẵn thì:
2. Nếu hàm số y = f(x) là lẻ thì:
Nếu chứng minh thì như sau:
Từ (1) và (2) suy ra mệnh đề C đúng.
⇒ Mệnh đề B sai.
Chọn B.
Ví dụ 11. Cho tích phân . Tính tích phân
A. I = 40. B. I = 10. C. I = 20. D. I = 5.
Lời giải
Chọn B.
Ví dụ 12. Cho hàm số y = f(x) liên tục trên đoạn [0;6] thỏa mãn . Tính giá trị của biểu thức
.
A. P = 4. B. P = 16. C. P = 8. D. P = 10.
Lời giải
Chọn A.
C. Bài tập vận dụng
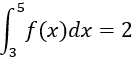
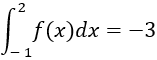
Câu 1: Cho hàm số f(x) liên tục trên R và . Tính
A. I = 9. B. I = 1. C. I = -1. D. I = -9.
Lời giải:
Chọn B.
Câu 2: Cho hàm số y = f(x) xác định và liên tục trên đoạn [-2;4] biết rằng . Tính
.
A. –60. B. –30. C. 60. D. 20.
Lời giải:
Chọn A.
Câu 3: Cho hàm số: y = f(x) và y = g(x) xác định và liên tục trên đoạn [-3;5]. Biết rằng:
Tính .
A. 6. B. -6. C. 30. D. Tất cả sai.
Lời giải:
Chọn C.
Câu 4: Cho
Tính .
Lời giải:
Chọn C.
Câu 5: Cho .
Tính .
Lời giải:
Ta có:
Chọn A.
Câu 6: Cho .
Tính .
A. I = 2e2 + e + 3.
B. I = e2 - e-1 + 9.
C. I = 2e2 - 2e + 9.
D. Đáp án khác.
Lời giải:
Chọn C.
Câu 7: Cho .
Biết .
Tính .
A. 3. B. 2. C. -3. D. 4.
Lời giải:
Ta có:
Chọn B.
Câu 8: Cho . Tính
.
A. 13. B. 24. C. 16. D. 6.
Lời giải:
Chọn D.
Câu 9: Cho
Tính:
A. –1. B. 1. C. 3. D. 5.
Lời giải:
Chọn B.
Câu 10: Cho hàm số y = f(x) liên tục trên đoạn [0;1] và có . Tính
.
A. -1. B. 2. C. 1. D. -2.
Lời giải:
Chọn A.
(199k) Xem Khóa học Toán 12 KNTTXem Khóa học Toán 12 CDXem Khóa học Toán 12 CTST
Xem thêm các dạng bài tập Toán lớp 12 ôn thi Tốt nghiệp có lời giải hay khác:
- Công thức tích phân
- Bài tập tính tích phân cơ bản
- Tính tích phân hàm đa thức, phân thức bằng phương pháp đổi biến số
- Tính tích phân hàm lượng giác bằng phương pháp đổi biến số
- Tính tích phân hàm số mũ, logarit bằng phương pháp đổi biến số
- Tính tích phân hàm chứa căn thức bằng phương pháp đổi biến số
- Cách tính tích phân bằng phương pháp đổi biến số loại 2
Đã có app VietJack trên điện thoại, giải bài tập SGK, SBT Soạn văn, Văn mẫu, Thi online, Bài giảng....miễn phí. Tải ngay ứng dụng trên Android và iOS.
Theo dõi chúng tôi miễn phí trên mạng xã hội facebook và youtube:Nếu thấy hay, hãy động viên và chia sẻ nhé! Các bình luận không phù hợp với nội quy bình luận trang web sẽ bị cấm bình luận vĩnh viễn.
- Giải Tiếng Anh 12 Global Success
- Giải sgk Tiếng Anh 12 Smart World
- Giải sgk Tiếng Anh 12 Friends Global
- Lớp 12 Kết nối tri thức
- Soạn văn 12 (hay nhất) - KNTT
- Soạn văn 12 (ngắn nhất) - KNTT
- Giải sgk Toán 12 - KNTT
- Giải sgk Vật Lí 12 - KNTT
- Giải sgk Hóa học 12 - KNTT
- Giải sgk Sinh học 12 - KNTT
- Giải sgk Lịch Sử 12 - KNTT
- Giải sgk Địa Lí 12 - KNTT
- Giải sgk Giáo dục KTPL 12 - KNTT
- Giải sgk Tin học 12 - KNTT
- Giải sgk Công nghệ 12 - KNTT
- Giải sgk Hoạt động trải nghiệm 12 - KNTT
- Giải sgk Giáo dục quốc phòng 12 - KNTT
- Giải sgk Âm nhạc 12 - KNTT
- Giải sgk Mĩ thuật 12 - KNTT
- Lớp 12 Chân trời sáng tạo
- Soạn văn 12 (hay nhất) - CTST
- Soạn văn 12 (ngắn nhất) - CTST
- Giải sgk Toán 12 - CTST
- Giải sgk Vật Lí 12 - CTST
- Giải sgk Hóa học 12 - CTST
- Giải sgk Sinh học 12 - CTST
- Giải sgk Lịch Sử 12 - CTST
- Giải sgk Địa Lí 12 - CTST
- Giải sgk Giáo dục KTPL 12 - CTST
- Giải sgk Tin học 12 - CTST
- Giải sgk Hoạt động trải nghiệm 12 - CTST
- Giải sgk Âm nhạc 12 - CTST
- Lớp 12 Cánh diều
- Soạn văn 12 Cánh diều (hay nhất)
- Soạn văn 12 Cánh diều (ngắn nhất)
- Giải sgk Toán 12 Cánh diều
- Giải sgk Vật Lí 12 - Cánh diều
- Giải sgk Hóa học 12 - Cánh diều
- Giải sgk Sinh học 12 - Cánh diều
- Giải sgk Lịch Sử 12 - Cánh diều
- Giải sgk Địa Lí 12 - Cánh diều
- Giải sgk Giáo dục KTPL 12 - Cánh diều
- Giải sgk Tin học 12 - Cánh diều
- Giải sgk Công nghệ 12 - Cánh diều
- Giải sgk Hoạt động trải nghiệm 12 - Cánh diều
- Giải sgk Giáo dục quốc phòng 12 - Cánh diều
- Giải sgk Âm nhạc 12 - Cánh diều


Giải bài tập SGK & SBT
Tài liệu giáo viên
Sách
Khóa học
Thi online
Hỏi đáp

