Tính tích phân hàm đa thức, phân thức bằng phương pháp đổi biến số
Bài viết Tính tích phân hàm đa thức, phân thức bằng phương pháp đổi biến số với phương pháp giải chi tiết giúp học sinh ôn tập, biết cách làm bài tập Tính tích phân hàm đa thức, phân thức bằng phương pháp đổi biến số.
Tính tích phân hàm đa thức, phân thức bằng phương pháp đổi biến số
(199k) Xem Khóa học Toán 12 KNTTXem Khóa học Toán 12 CDXem Khóa học Toán 12 CTST
Bài giảng: Cách tìm nguyên hàm, tích phân bằng phương pháp đổi biến - Cô Nguyễn Phương Anh (Giáo viên VietJack)
A. Phương pháp giải
+ Phương pháp đổi biến số loại 1
Cho hàm số y = f[u(x)] liên tục trên đoạn [a;b]. Giả sử hàm số u = u(x) có đạo hàm liên tục trên đoạn [a;b]; hàm số y = f(u) liên tục sao cho hàm hợp f[u(x)] xác định. Khi đó, ta có:
Dấu hiệu nhận biết và cách tính tính phân
+ Phương pháp đổi biến số dạng 2
Cho hàm số y = f(x) liên tục và có đạo hàm trên đoạn [a;b]. Giả sử hàm số x = φ(t) có đạo hàm và liên tục trên đoạn [α;β] sao cho φ(α) = a; φ(β) = b và a ≤ φ(t) ≤ b với mọi t ∈ [α;β]. Khi đó:
Một số phương pháp đổi biến: Nếu biểu thức dưới dấu tích phân có dạng:
Lưu ý: Chỉ nên sử dụng phép đặt này khi các dấu hiệu 1, 2, 3 đi với x mũ chẵn. Ví dụ, để tính tích phân thì phải đổi biến dạng 2 còn với tích phân
thì nên đổi biến dạng 1.
B. Ví dụ minh họa
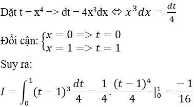
Ví dụ 1. Tính
A. 2. B. 5. C. 65/8. D. 47/8.
Lời giải
Chọn C.
Ví dụ 2. Tính tích phân
Lời giải
Chọn A.
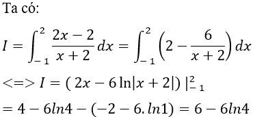
Ví dụ 3. Tính tích phân
A. 2ln3.
B. 4ln3.
C. 2ln2.
D. 4ln2.
Lời giải
Chọn A.
Ví dụ 4. Cho m là số thực dương thỏa mãn:
Mệnh đề nào sau đây là đúng?
Lời giải
Chọn B.
Ví dụ 5. Tính
Lời giải
Chọn B.
Ví dụ 6. Tính
A. I = 2 - ln2.
B. I = 2 - 5ln2.
C. I = 2 + 5ln2.
D. I = 4 - 5ln2.
Lời giải
Chọn B.
Ví dụ 7. Tính
Lời giải
Chọn C.
Ví dụ 8. Tính
Lời giải
Chọn A.
Ví dụ 9. Cho
Hỏi I gần với giá trị nào nhất?
A. 186. B. 168. C. 197. D. 174.
Lời giải
Chọn C.
Ví dụ 10. Tính
Lời giải
Chọn C.
C. Bài tập vận dụng
Câu 1: Tính
Lời giải:
Chọn A.
Câu 2: Tính
A. 1. B. 0. C. –1. D. 2.
Lời giải:
Chọn C.
Câu 3: Tính
A. 2 - ln3.
B. 4 + ln3.
C. 6 - 6ln4.
D. 6 + 4ln2.
Lời giải:
Chọn C.
Câu 4: Tính
Lời giải:
Chọn B.
Câu 5: Tính
Lời giải:
Chọn D.
Câu 6: Tính
A. ln6.
B. ln2 + ln3.
C. ln4 + ln3.
D. 2ln2 - ln3.
Lời giải:
Chọn D.
Câu 7: Tính
A. 19 + ln2.
B. 10 - ln4.
C. 8 + ln4.
D. Đáp án khác.
Lời giải:
Chọn C.
Câu 8: Tính
Lời giải:
Chọn A.
Bài giảng: Ứng dụng của tích phân tính diện tích, tính thể tích - Cô Nguyễn Phương Anh (Giáo viên VietJack)
(199k) Xem Khóa học Toán 12 KNTTXem Khóa học Toán 12 CDXem Khóa học Toán 12 CTST
Xem thêm các dạng bài tập Toán lớp 12 ôn thi Tốt nghiệp có lời giải hay khác:
- Công thức tích phân
- Bài tập về tính chất của tích phân
- Bài tập tính tích phân cơ bản
- Tính tích phân hàm lượng giác bằng phương pháp đổi biến số
- Tính tích phân hàm số mũ, logarit bằng phương pháp đổi biến số
- Tính tích phân hàm chứa căn thức bằng phương pháp đổi biến số
- Cách tính tích phân bằng phương pháp đổi biến số loại 2
Đã có app VietJack trên điện thoại, giải bài tập SGK, SBT Soạn văn, Văn mẫu, Thi online, Bài giảng....miễn phí. Tải ngay ứng dụng trên Android và iOS.
Theo dõi chúng tôi miễn phí trên mạng xã hội facebook và youtube:Nếu thấy hay, hãy động viên và chia sẻ nhé! Các bình luận không phù hợp với nội quy bình luận trang web sẽ bị cấm bình luận vĩnh viễn.
- Giải Tiếng Anh 12 Global Success
- Giải sgk Tiếng Anh 12 Smart World
- Giải sgk Tiếng Anh 12 Friends Global
- Lớp 12 Kết nối tri thức
- Soạn văn 12 (hay nhất) - KNTT
- Soạn văn 12 (ngắn nhất) - KNTT
- Giải sgk Toán 12 - KNTT
- Giải sgk Vật Lí 12 - KNTT
- Giải sgk Hóa học 12 - KNTT
- Giải sgk Sinh học 12 - KNTT
- Giải sgk Lịch Sử 12 - KNTT
- Giải sgk Địa Lí 12 - KNTT
- Giải sgk Giáo dục KTPL 12 - KNTT
- Giải sgk Tin học 12 - KNTT
- Giải sgk Công nghệ 12 - KNTT
- Giải sgk Hoạt động trải nghiệm 12 - KNTT
- Giải sgk Giáo dục quốc phòng 12 - KNTT
- Giải sgk Âm nhạc 12 - KNTT
- Giải sgk Mĩ thuật 12 - KNTT
- Lớp 12 Chân trời sáng tạo
- Soạn văn 12 (hay nhất) - CTST
- Soạn văn 12 (ngắn nhất) - CTST
- Giải sgk Toán 12 - CTST
- Giải sgk Vật Lí 12 - CTST
- Giải sgk Hóa học 12 - CTST
- Giải sgk Sinh học 12 - CTST
- Giải sgk Lịch Sử 12 - CTST
- Giải sgk Địa Lí 12 - CTST
- Giải sgk Giáo dục KTPL 12 - CTST
- Giải sgk Tin học 12 - CTST
- Giải sgk Hoạt động trải nghiệm 12 - CTST
- Giải sgk Âm nhạc 12 - CTST
- Lớp 12 Cánh diều
- Soạn văn 12 Cánh diều (hay nhất)
- Soạn văn 12 Cánh diều (ngắn nhất)
- Giải sgk Toán 12 Cánh diều
- Giải sgk Vật Lí 12 - Cánh diều
- Giải sgk Hóa học 12 - Cánh diều
- Giải sgk Sinh học 12 - Cánh diều
- Giải sgk Lịch Sử 12 - Cánh diều
- Giải sgk Địa Lí 12 - Cánh diều
- Giải sgk Giáo dục KTPL 12 - Cánh diều
- Giải sgk Tin học 12 - Cánh diều
- Giải sgk Công nghệ 12 - Cánh diều
- Giải sgk Hoạt động trải nghiệm 12 - Cánh diều
- Giải sgk Giáo dục quốc phòng 12 - Cánh diều
- Giải sgk Âm nhạc 12 - Cánh diều


Giải bài tập SGK & SBT
Tài liệu giáo viên
Sách
Khóa học
Thi online
Hỏi đáp

