Công thức tích phân đầy đủ, chi tiết nhất
Bài viết Công thức tích phân với phương pháp giải chi tiết giúp học sinh ôn tập, biết cách làm bài tập Công thức tích phân.
Công thức tích phân đầy đủ, chi tiết nhất
(199k) Xem Khóa học Toán 12 KNTTXem Khóa học Toán 12 CDXem Khóa học Toán 12 CTST
Bài giảng: Ứng dụng của tích phân tính diện tích, tính thể tích - Cô Nguyễn Phương Anh (Giáo viên VietJack)
I. Định nghĩa, công thức tích phân
1. Khái niệm tích phân
* Định nghĩa:
Cho hàm số f liên tục trên K và a, b là hai số bất kì thuộc K. Nếu F là một nguyên hàm của f trên K thì hiệu số:
F(b) - F(a)
Được gọi là tích phân của f từ a đến b và kí hiệu:
* Nhận xét: Tích phân của hàm số f từ a đến b có thể kí hiệu bởi
Tích phân đó chỉ phụ thuộc vào f và các cận a; b mà không phụ thuộc vào cách ghi biến số.
* Định lí: Cho hàm số y = f(x) liên tục; không âm trên đoạn [a;b]. Khi đó, diện tích S của hình thang cong giới hạn bởi đồ thị hàm số y = f(x); trục hoành và hai đường thẳng x = a; x = b là:
2. Tính chất của tích phân
Giả sử cho hai hàm số f(x) và g(x) liên tục trên K và a, b, c là ba số bất kỳ thuộc K. Khi đó ta có :
II. Một số phương pháp tính tích phân
1. Phương pháp đổi biến số
1.1. Phương pháp đổi biến số dạng 1
Định lí
Nếu:
1) Hàm x = u(t) có đạo hàm liên tục trên [α;β].
2) Hàm hợp f [u(t)] được xác định trên [α;β].
3) u(α) = a; u(β) = b.
Khi đó:
Phương pháp chung
• Bước 1: Đặt x = u(t).
• Bước 2: Tính vi phân hai vế: x = u(t) ⇒ dx = u'(t)dt.
Đổi cận:
• Bước 3: Chuyển tích phân đã cho sang tích phân theo biến t.
Vậy:
1.2. Phương pháp đổi biến dạng 2
Định lí
Nếu hàm số u = u(x) đơn điệu và có đạo hàm liên tục trên đoạn [a;b] sao cho f(x)dx = g(u(x))u'(x)dx = g(u)du thì:
Phương pháp chung
• Bước 1: Đặt u = u(x) ⇒ du = u’(x)dx
• Bước 2: Đổi cận:
• Bước 3: Chuyển tích phân đã cho sang tích phân theo u.
Vậy:
2. Phương pháp tích phân từng phần
a. Định lí
Nếu u(x) và v(x) là các hàm số có đạo hàm liên tục trên [a;b] thì:
b. Phương pháp chung
• Bước 1: Viết f(x)dx dưới dạng udv = u.v’dx bằng cách chọn một phần thích hợp của f(x) làm u(x) và phần còn lại dv = v'(x)dx
• Bước 2: Tính du = u'dx và v = ∫dv = ∫v'(x)dx
• Bước 3: Tính
* Cách đặt u và dv trong phương pháp tích phân từng phần.
III. Tích phân các hàm số sơ cấp cơ bản
3.1. Tích phân hàm hữu tỉ
Dạng 1
(với a ≠ 0)
Chú ý: Nếu
Dạng 2
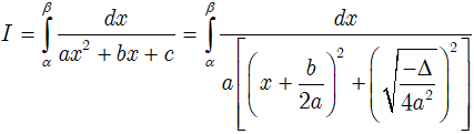
(ax2 + bx + c ≠ 0 với mọi x ∈ [α;β])
Xét Δ = b2 - 4ac.
• Nếu Δ > 0 thì
thì:
• Nếu Δ = 0 thì:
thì:
• Nếu Δ < 0 thì:
Dạng 3
(trong đó liên tục trên đoạn [α;β])
• Bằng phương pháp đồng nhất hệ số, ta tìm A và B sao cho:
• Ta có:
Tích phân:
Tích phân: thuộc dạng 2.
Dạng 4
với P(x) và Q(x) là đa thức của x.
• Nếu bậc của P(x) lớn hơn hoặc bằng bậc của Q(x) thì dùng phép chia đa thức.
• Nếu bậc của P(x) nhỏ hơn bậc của Q(x) thì có thể xét các trường hợp:
• Khi Q(x) chỉ có nghiệm đơn α1, α2, α3 ... thì đặt
• Khi Q(x) có nghiệm đơn và vô nghiệm:
Q(x) = (x - α)(x2 + px + q), Δ = p2 - 4q < 0 thì đặt:
• Khi Q(x) có nghiệm bội:
Q(x) = (x - α)(x - β)2 với α ≠ β thì đặt:
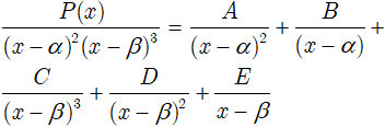
Q(x) = (x - α)2(x - β)3 với α ≠ β thì đặt:
3.2. Tích phân hàm vô tỉ
- trong đó R(x; f(x)) có dạng:
Dạng 1
Khi đó ta có:
• Nếu Δ < 0, a > 0 ⇒ f(x) = a(u2 + k2)
• Nếu: Δ = 0
• Nếu: Δ > 0
Với a > 0: f(x) = a(x - x1)(x - x2)
Với a < 0: f(x) = -a(x1 - x)(x2 - x)
Căn cứ vào phân tích trên, ta có một số cách giải sau:
Phương pháp:
* Trường hợp: Δ < 0, a > 0 ⇒ f(x) = a(u2 + k2)
Khi đó đặt:
* Trường hợp: Δ = 0
Khi đó:
* Trường hợp: Δ > 0, a > 0. Đặt:
* Trường hợp: Δ > 0, a < 0. Đặt:
Dạng 2
Phương pháp:
• Bước 1:
Phân tích:
• Bước 2:
Quy đồng mẫu số, sau đó đồng nhất hệ số hai tử số để suy ra hệ hai ẩn số A, B
• Bước 3:
Giải hệ tìm A, B thay vào (1)
• Bước 4:
Tính:
Trong đó đã biết cách tính ở trên.
Dạng 3
Phương pháp:
• Bước 1:
Phân tích:
• Bước 2:
• Bước 3:
Thay tất cả vào (1) thì I có dạng:
Tích phân này chúng ta đã biết cách tính.
Dạng 4
(Trong đó: R(x,y) là hàm số hữu tỷ đối với hai biến số x, y và α, β, γ, δ là các hằng số đã biết)
Phương pháp:
• Bước 1:
Đặt:
• Bước 2:
Tính x theo t: Bằng cách nâng lũy thừa bậc m hai vế của (1) ta có dạng x = φ(t).
• Bước 3:
Tính vi phân hai vế: dx = φ'(t)dt và đổi cận.
• Bước 4:
Tính:
3.3. Tích phân hàm lượng giác
3.3.1. Một số công thức lượng giác
* Công thức cộng
* Công thức nhân đôi
* Công thức hạ bậc
* Công thức tính theo t
* Công thức biến đổi tích thành tổng
* Công thức biến đổi tổng thành tích
* Công thức thường dùng:
Hệ quả:
3.3.2. Một số dạng tích phân lượng giác
• Nếu gặp dạng ta đặt t = sinx.
• Nếu gặp dạng ta đặt t = cosx.
• Nếu gặp dạng ta đặt t = tanx.
• Nếu gặp dạng ta đặt t = cotx.
Dạng 1
I1 = ∫(sinx)n dx; I2 = ∫(cosx)n dx
* Phương pháp
• Nếu n chẵn thì sử dụng công thức hạ bậc.
• Nếu n = 3 thì sử dụng công thức hạ bậc hoặc biến đổi.
• Nếu n lẻ (n = 2p + 1) thì thực hiện biến đổi:
Dạng 2
I = ∫sinmx.cosnx dx (m, n ∈ N)
* Phương pháp
• Trường hợp 1: m, n là các số nguyên
a. Nếu m chẵn, n chẵn thì sử dụng công thức hạ bậc, biến đổi tích thành tổng.
b. Nếu m chẵn, n lẻ (n = 2p + 1) thì biến đổi:
c. Nếu m lẻ (m = 2p + 1), n chẵn thì biến đổi:
Dạng 3
I1 = ∫(tanx)n dx; I2 = ∫(cotx)n dx (n ∈ N)
IV. Ứng dụng tích phân
1. Diện tích hình phẳng
a. Diện tích hình phẳng giới hạn bởi 1 đường cong và trục hoành
Diện tích hình phẳng giới hạn bởi đồ thị hàm số y = f(x) liên tục trên đoạn [a;b], trục hoành và hai đường thẳng x = a; x = b được xác định:
b. Diện tích hình phẳng giới hạn bởi 2 đường cong
Diện tích hình phẳng giới hạn bởi đồ thị hàm số y = f(x); y = g(x) liên tục trên đoạn [a;b] và hai đường thẳng x = a; x = b được xác định:
- Nếu trên đoạn [a;b], hàm số f(x) không đổi dấu thì:
- Nắm vững cách tính tích phân của hàm số có chứa giá trị tuyệt đối.
- Diện tích của hình phẳng giới hạn bởi các đường x = g(y),x = h(y) và hai đường thẳng y = c; y = d được xác định:
2. Thể tích vật thể và thể tích khối tròn xoay
a. Thể tích vật thể
Gọi B là phần vật thể giới hạn bởi hai mặt phẳng vuông góc với trục Ox tại các điểm a và b; S(x) là diện tích thiết diện của vật thể bị cắt bởi mặt phẳng vuông góc với trục Ox tại điểm a (a ≤ x ≤ b). Giả sử S(x) là hàm số liên tục trên đoạn [a;b]. Thể tích của B là:
b. Thể tích khối tròn xoay
Cho hàm số y = f(x) liên tục; không âm trên [a;b]. Hình phẳng giới hạn bởi đồ thị hàm số y = f(x); trục hoành và hai đường thẳng x = a; x = b quay quanh trục Ox tạo nên một khối tròn xoay. Thể tích của nó là:
- Thể tích khối tròn xoay được sinh ra khi quay hình phẳng giới hạn bởi các đường x = g(y), trục tung và hai đường thẳng y = c; y = d quay quanh trục Oy là:
- Thể tích khối tròn xoay được sinh ra khi quay hình phẳng giới hạn bởi các đường y = f(x); y = g(x) và hai đường thẳng x = a; x = b quay quanh trục Ox:
(199k) Xem Khóa học Toán 12 KNTTXem Khóa học Toán 12 CDXem Khóa học Toán 12 CTST
Xem thêm các dạng bài tập Toán lớp 12 ôn thi Tốt nghiệp có lời giải hay khác:
- Bài tập về tính chất của tích phân
- Bài tập tính tích phân cơ bản
- Tính tích phân hàm đa thức, phân thức bằng phương pháp đổi biến số
- Tính tích phân hàm lượng giác bằng phương pháp đổi biến số
- Tính tích phân hàm số mũ, logarit bằng phương pháp đổi biến số
- Tính tích phân hàm chứa căn thức bằng phương pháp đổi biến số
- Cách tính tích phân bằng phương pháp đổi biến số loại 2
Đã có app VietJack trên điện thoại, giải bài tập SGK, SBT Soạn văn, Văn mẫu, Thi online, Bài giảng....miễn phí. Tải ngay ứng dụng trên Android và iOS.
Theo dõi chúng tôi miễn phí trên mạng xã hội facebook và youtube:Nếu thấy hay, hãy động viên và chia sẻ nhé! Các bình luận không phù hợp với nội quy bình luận trang web sẽ bị cấm bình luận vĩnh viễn.
- Giải Tiếng Anh 12 Global Success
- Giải sgk Tiếng Anh 12 Smart World
- Giải sgk Tiếng Anh 12 Friends Global
- Lớp 12 Kết nối tri thức
- Soạn văn 12 (hay nhất) - KNTT
- Soạn văn 12 (ngắn nhất) - KNTT
- Giải sgk Toán 12 - KNTT
- Giải sgk Vật Lí 12 - KNTT
- Giải sgk Hóa học 12 - KNTT
- Giải sgk Sinh học 12 - KNTT
- Giải sgk Lịch Sử 12 - KNTT
- Giải sgk Địa Lí 12 - KNTT
- Giải sgk Giáo dục KTPL 12 - KNTT
- Giải sgk Tin học 12 - KNTT
- Giải sgk Công nghệ 12 - KNTT
- Giải sgk Hoạt động trải nghiệm 12 - KNTT
- Giải sgk Giáo dục quốc phòng 12 - KNTT
- Giải sgk Âm nhạc 12 - KNTT
- Giải sgk Mĩ thuật 12 - KNTT
- Lớp 12 Chân trời sáng tạo
- Soạn văn 12 (hay nhất) - CTST
- Soạn văn 12 (ngắn nhất) - CTST
- Giải sgk Toán 12 - CTST
- Giải sgk Vật Lí 12 - CTST
- Giải sgk Hóa học 12 - CTST
- Giải sgk Sinh học 12 - CTST
- Giải sgk Lịch Sử 12 - CTST
- Giải sgk Địa Lí 12 - CTST
- Giải sgk Giáo dục KTPL 12 - CTST
- Giải sgk Tin học 12 - CTST
- Giải sgk Hoạt động trải nghiệm 12 - CTST
- Giải sgk Âm nhạc 12 - CTST
- Lớp 12 Cánh diều
- Soạn văn 12 Cánh diều (hay nhất)
- Soạn văn 12 Cánh diều (ngắn nhất)
- Giải sgk Toán 12 Cánh diều
- Giải sgk Vật Lí 12 - Cánh diều
- Giải sgk Hóa học 12 - Cánh diều
- Giải sgk Sinh học 12 - Cánh diều
- Giải sgk Lịch Sử 12 - Cánh diều
- Giải sgk Địa Lí 12 - Cánh diều
- Giải sgk Giáo dục KTPL 12 - Cánh diều
- Giải sgk Tin học 12 - Cánh diều
- Giải sgk Công nghệ 12 - Cánh diều
- Giải sgk Hoạt động trải nghiệm 12 - Cánh diều
- Giải sgk Giáo dục quốc phòng 12 - Cánh diều
- Giải sgk Âm nhạc 12 - Cánh diều


Giải bài tập SGK & SBT
Tài liệu giáo viên
Sách
Khóa học
Thi online
Hỏi đáp

