Tổng hợp công thức phương trình đường thẳng trong không gian (cực hay)
Bài viết Tổng hợp công thức phương trình đường thẳng trong không gian với phương pháp giải chi tiết giúp học sinh ôn tập, biết cách làm bài tập Tổng hợp công thức phương trình đường thẳng trong không gian.
- Phương trình đường thẳng
- Viết phương trình tham số và phương trình chính tắc của đường thẳng d biết d đi qua điểm M và có vectơ chỉ phương u→ = (a; b; c)
- Viết phương trình đường thẳng d là giao tuyến của hai mặt phẳng cắt nhau (P) và (Q) hoặc đường thẳng d đi qua M và song song với 2 mặt phẳng cắt nhau (P) và (Q)
- Viết phương trình đường thẳng d đi qua điểm M, song song với mặt phẳng (P) và vuông góc với đường thẳng d’ (d’ không vuông góc với (P))
- Viết phương trình đường thẳng d đi qua một điểm M; nằm trong mặt phẳng (P) và vuông góc với đường thẳng ∆ (hoặc song song với mặt phẳng (Q) )
Tổng hợp công thức phương trình đường thẳng trong không gian (cực hay)
(199k) Xem Khóa học Toán 12 KNTTXem Khóa học Toán 12 CDXem Khóa học Toán 12 CTST
Bài giảng: Cách viết phương trình đường thẳng cơ bản - Cô Nguyễn Phương Anh (Giáo viên VietJack)
I. Phương trình đường thẳng
+ Cho đường thẳng Δ đi qua điểm
và nhận vectơ
làm vectơ chỉ phương. Khi đó Δ có phương trình tham số là :
+ Cho đường thẳng Δ đi qua điểm và nhận vectơ
sao cho a.b.c ≠ 0 làm vectơ chỉ phương. Khi đó Δ có phương trình chính tắc là :
II. Góc
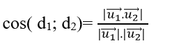
1. Góc giữa hai đường thẳng:
Trong không gian với hệ tọa độ Oxyz; cho hai đường thẳng d1; d2. Trong đó:
· Đường thẳng d1 vectơ chỉ phương u1→
· Đường thẳng d2 có vectơ chỉ phương u2→
· Góc giữa hai đường thẳng d1 và d2 được xác định bởi:
2. Góc giữa đường thẳng và mặt phẳng:
Trong không gian với hệ tọa độ Oxyz; cho đường thẳng d và mặt phẳng (P). Trong đó:
· Đường thẳng d có vecto chỉ phương u→
· Mặt phẳng (P) có vecto pháp tuyến là n→
· Gọi φ là góc tạo bởi đường thẳng d và mặt phẳng (P). Khi đó ,ta có:
III. Khoảng cách:
1. Khoảng cách từ điểm M đến đường thẳng d:
Trong không gian với hệ tọa độ Oxyz; cho đường thẳng d đi qua điểm M0( x0; y0; z0) và có vecto chỉ phương u→.
Khoảng cách từ điểm M đến đường thẳng d là:
2. Khoảng cách giữa hai đường thẳng chéo nhau:
Trong không gian với hệ tọa độ Oxyz; cho hai đường thẳng chéo nhau d1 và d2. Trong đó:
·Đường thẳng d1 đi qua điểm M và có vectơ chỉ phương u1→
· Đường thẳng d2 đi qua điểm N và có vectơ chỉ phương u2→
·Khoảng cách hai đường thẳng d1 và d2 là:
Viết phương trình tham số và phương trình chính tắc của đường thẳng d biết d đi qua điểm M và có vectơ chỉ phương u→ = (a; b; c)
1. Phương pháp giải
Nếu đường thẳng d đi qua điểm M(xo; yo; zo) và vecto chỉ phương u→ ( a; b; c) thì
+ Phương trình tham số của đường thẳng d:
+ Phương trình chính tắc của đường thẳng d ( với a.b.c ≠ 0 ) là:
* Chú ý:
+ Nếu đường thẳng d đi qua điểm M và vuông góc với mặt phẳng (α) thì vectơ chỉ phương của đường thẳng d cùng phương với vectơ pháp tuyến của mặt phẳng (α) vì d ⊥(α)
+ Nếu đường thẳng d// ∆ thì đường thẳng d nhận vecto ud→ = uΔ→ làm vecto chỉ phương .
2. Ví dụ minh họa
Ví dụ 1: Cho đường thẳng ∆ biết ∆ đi qua A (2 ; 1 ; 5) và có vectơ chỉ phương u→=(1;1;2). Tìm mệnh đề đúng
A. Phương trình chính tắc của đường thẳng d:
B. Phương trình tham số của đường thẳng d:
C. Phương trình tham số của đường thẳng d:
D. Phương trình chính tắc của đường thẳng d:
Hướng dẫn giải:
Phương trình tham số của đường thẳng ∆ là:
Trong đó t là tham số
Phương trình chính tắc của đường thẳng ∆ là:
Chọn B.
Ví dụ 2: Trong không gian với hệ trục tọa độ Oxyz; cho đường thẳng ∆ đi qua A(1;0; -1) và vuông góc với mặt phẳng (P): 2x - y + z + 9 = 0. Tìm mệnh đề đúng?
A. Vậy phương trình tham số của ∆ là
B. Phương trình chính tắc của ∆ là
C. Vậy phương trình tham số của ∆ là:
D. Phương trình chính tắc của ∆ là
Hướng dẫn giải:
Vì đường thẳng ∆ vuông góc với mặt phẳng (α) nên vectơ chỉ phương của ∆ là:
u∆→ = nα→ = (2; -1;1)
Vậy phương trình tham số của ∆ là
Phương trình chính tắc của ∆ là
Chọn A.
Ví dụ 3: Trong không gian với hệ trục tọa độ Oxyz cho đường thẳng d biết d đi qua A (1; 2; 3) và song song với (d’): . Tìm mệnh đề sai
A. Một vecto chỉ phương của đường thẳng d là u→ ( -4; 4; 2)
B. Vậy phương trình tham số của d là
C. Phương trình chính tắc của d là
D. đường thẳng d không có phương trình chính tắc
Hướng dẫn giải:
Vì đường thẳng d // d’ nên vectơ chỉ phương của d là: ud→ = ud'→ = ( 2; -2; -1)
Vậy phương trình tham số của d là
Phương trình chính tắc của d là
Chọn D.
Dạng 2.Viết phương trình đường thẳng d là giao tuyến của hai mặt phẳng cắt nhau (P) và (Q) hoặc đường thẳng d đi qua M và song song với 2 mặt phẳng cắt nhau (P) và (Q).
1. Phương pháp giải
Cách 1:
+ Cả hai trường hợp đều suy ra ud→⊥nP→ và ud→⊥nQ→
Mà (P) và (Q) cắt nhau nên VTCP của d là ud→⊥ [nP→; nQ→]
+ Tìm một điểm M thuộc đường thẳng d.
+ Đường thẳng d đi qua M và nhận vecto ud→⊥ [nP→; nQ→] làm vecto chỉ phương
=> phương trình tham số và phương trình chính tắc của đường thẳng
Cách 2:
Nếu d là giao tuyến của hai mặt phẳng cắt nhau (P) và (Q) thì với mỗi điểm
M ( x; y;z) thuộc d là nghiệm của hệ phương trình:
phương trình (P) và Phương trình (Q) (*)
Đặt x= t ( hoặc y = t hoặc z = t) thay vào hệ (*) rồi rút y; z theo t
Từ đó suy ra phương trình của đường thẳng d.
2. Ví dụ minh họa
Ví dụ 1: Trong không gian với hệ tọa độ Oxyz; gọi d là giao tuyến của hai mặt phẳng (α): x- 3y + z = 0 và (α’): x+y – z +4 = 0. Viết phương trình tham số của đường thẳng d
Hướng dẫn giải:
Ta tìm một điểm thuộc đường thẳng d bằng cách cho y = 0 trong hệ (*)
Ta có hệ
Vậy điểm Mo( -2; 0; 2) thuộc đường thẳng d.
Do uα→ ( 1;-3; 1); n'α→( 1; 1; -1)
Vectơ chỉ phương của đường thẳng d là u→(1;1;2)
Chọn 1 vectơ chỉ phương của đường thẳng d là u→(1; 1;2)
Vậy phương trình tham số của d là:
Chọn C.
Ví dụ 2: Trong không gian với hệ tọa độ Oxyz; gọi d là giao tuyến của mặt phẳng (P): y – 2z + 3 = 0 và mặt phẳng tọa độ (Oyz).
Hướng dẫn giải:
Mặt phẳng (Oyz) có phương trình x= 0
Điểm M (x; y; z)∈ d khi tọa độ của M là nghiệm của hệ phương trình:
Đặt z= t ta được: là phương trình đường thẳng d
Chọn A.
Dạng 3. Viết phương trình đường thẳng d đi qua điểm M, song song với mặt phẳng (P) và vuông góc với đường thẳng d’ (d’ không vuông góc với (P)).
1. Phương pháp giải
Do đường thẳng song song với mặt phẳng ( P) và vuông góc với đường thẳng d’ nên
Suy ra ud→⊥nP→ và ud→⊥ ud'→
Mà d’ không vuông góc với (P)
Nên VTCP của d là ud→ = [nP→;ud'→]
+ Đường thẳng d đi qua điểm M( đã biết) và nhận vecto ud→ làm vecto chỉ phương
=> phương trình tham số và phương trình chính tắc của đường thẳng d.
2. Ví dụ minh họa
Ví dụ 1: Viết phương trình đường thẳng d đi qua điểm M (1; 2; -1), song song với mặt phẳng (P): x + y – z = 3 và vuông góc với đường thẳng d’:
Hướng dẫn giải:
Vecto pháp tuyến của mặt phẳng (P) là nP→(1; 1; -1)
Vecto chỉ phương của đường thẳng d’ là: ud'→(1; 3; 2)
Do đường thẳng d song song với mặt phẳng (P) và vuông góc với đường thẳng d’ nên một vecto chỉ phương của đường thẳng d là: u→ = [nP→; ud'→] =( 5; -3; 2)
d đi qua điểm M (1; 2; -1)
Vậy phương trình đường thẳng d là
Chọn B.
Ví dụ 2: Viết phương trình đường thẳng d đi qua điểm M (0; 1; 2), song song với mặt phẳng (Oxy) và vuông góc với đường thẳng
Hướng dẫn giải:
Phương trình mặt phẳng (Oxy) là: z= 0; vecto pháp tuyến của mặt phẳng này là nOxy→(0; 0; 1)
Vecto chỉ phương của đường thẳng d’ là ud'→(1; -2; 1)
Do đường thẳng d song song với mặt phẳng (Oxy) và vuông góc với đường thẳng d’ nên một vecto chỉ phương của đường thẳng d là: u→ = [ud'→;nOxy→] = ( 2; 1; 0)
d đi qua điểm M (0; 1; 2)
Vậy phương trình đường thẳng d là
Chọn C.
Dạng 4. Viết phương trình đường thẳng d đi qua một điểm M; nằm trong mặt phẳng (P) và vuông góc với đường thẳng ∆ (hoặc song song với mặt phẳng (Q) ).
1. Phương pháp giải
+ Tìm vecto chỉ phương của đường thẳng ∆: u∆→
+ Tìm vecto pháp tuyến của mặt phẳng (P) và (Q): nP→; nQ→
+ Trong cả hai trường hợp ta đều có một vecto chỉ phương của đường thẳng d là:
u→ = [u∆→; nP→] hoặc [nP→; nQ→]
+ Khi đó; đường thẳng d: đi qua điểm M và có vecto chỉ phương u→
=> phương trình đường thẳng d:
2. Ví dụ minh họa
Ví dụ 1: Trong không gian với hệ tọa độ Oxyz; cho đường thẳng ∆: và mặt phẳng (P): x- 2y+ 3z+ 10 = 0. Viết phương trình đường thẳng d đi qua M( 1; -1; 1); nằm trong mặt phẳng (P) và vuông góc với đường thẳng ∆?
Hướng dẫn giải:
+ Đường thẳng ∆ có vecto chỉ phương u∆→( 1; 2; -1)
Mặt phẳng ( P) có vecto pháp tuyến n→( 1; -2; 3).
+ Do đường thẳng d nằm trong mặt phẳng (P) và vuông góc với đường thẳng ∆ nên một vecto chỉ phương của đường thẳng d là:
u→ = [u∆→; n→] = ( 4; - 4; - 4) chọn ( 1; -1; -1) .
=> Phương trình đường thẳng d cần tìm
Chọn B.
Ví dụ 2: Trong không gian với hệ tọa độ Oxyz; cho đường thẳng ∆ : và mặt (P): x+ 2y – 3z+ 4= 0. Phương trình tham số của đường thẳng d nằm trong (P) , cắt và vuông góc đường thẳng ∆ là:
Hướng dẫn giải:
+ Tìm giao điểm M của ∆ và mặt phẳng ( P):
Điểm M( - 2+ t; 2+ t;- t) thuộc ∆.
Thay tọa độ M vào phương trình (P) ta được:
- 2+ t+ 2(2+ t) – 3( - t) + 4= 0 ⇔ - 2+ t + 4 + 2t + 3t + 4= 0
⇔ 6t+ 6= 0 nên t= -1 => M ( - 3; 1; 1)
+ Mặt phẳng (P) có vectơ pháp tuyến uP→( 1; 2;-3)
+ Đường thẳng ∆ có vectơ chỉ phương u∆→( 1; 1; -1)
+ Do đường thẳng d nằm trong mặt phẳng (P)và vuông góc với đường thẳng ∆ nên một vecto chỉ phương của đường thẳng d là : u→=[nP→;u∆→] = (1; -2; -1)
+ Đường thẳng d đi qua điểm M( -3; 1; 1) và có vectơ chỉ phương là u→ = (1; -2; -1)
Vậy phương trình tham số của d là:
Chọn B.
Bài tập tự luyện
Bài 1. Cho đường thẳng d biết d đi qua M(5; -3; 2) và có vectơ chỉ phương . Viết phương trình chính tắc của đường thẳng d.
Bài 2. Viết phương trình chính tắc của đường thẳng d biết d đi qua A(0;1;0) và d song song với đường thẳng d': .
Bài 3. Viết phương trình chính tắc của đường thẳng d biết d đi qua M(2; 1; 3) và N(3; -2; 5).
Bài 4. Trong không gian với hệ tọa độ Oxyz, cho đường thẳng d đi qua A(-2; 0; 3) và B(1; 3; 2). Viết phương trình chính tắc và phương trình tham số của đường thẳng d.
Bài 5. Trong không gian với hệ tọa độ Oxyz, viết phương trình chính tắc của đường thẳng d biết d đi qua M(-2; 1; -4) và có vectơ chỉ phương .
Bài giảng: Cách viết phương trình đường thẳng nâng cao - Cô Nguyễn Phương Anh (Giáo viên VietJack)
(199k) Xem Khóa học Toán 12 KNTTXem Khóa học Toán 12 CDXem Khóa học Toán 12 CTST
Xem thêm các dạng bài tập Toán lớp 12 ôn thi Tốt nghiệp có lời giải hay khác:
- Viết phương trình đường thẳng đi qua 1 điểm và có vecto chỉ phương u
- Viết phương trình đường thẳng đi qua 2 điểm
- Viết phương trình đường thẳng đi qua 1 điểm và vuông góc với mặt phẳng
- Viết phương trình đường thẳng đi qua 1 điểm và song song với đường thẳng
- Viết phương trình đường thẳng là giao tuyến của hai mặt phẳng
Đã có app VietJack trên điện thoại, giải bài tập SGK, SBT Soạn văn, Văn mẫu, Thi online, Bài giảng....miễn phí. Tải ngay ứng dụng trên Android và iOS.
Theo dõi chúng tôi miễn phí trên mạng xã hội facebook và youtube:Nếu thấy hay, hãy động viên và chia sẻ nhé! Các bình luận không phù hợp với nội quy bình luận trang web sẽ bị cấm bình luận vĩnh viễn.
- Giải Tiếng Anh 12 Global Success
- Giải sgk Tiếng Anh 12 Smart World
- Giải sgk Tiếng Anh 12 Friends Global
- Lớp 12 Kết nối tri thức
- Soạn văn 12 (hay nhất) - KNTT
- Soạn văn 12 (ngắn nhất) - KNTT
- Giải sgk Toán 12 - KNTT
- Giải sgk Vật Lí 12 - KNTT
- Giải sgk Hóa học 12 - KNTT
- Giải sgk Sinh học 12 - KNTT
- Giải sgk Lịch Sử 12 - KNTT
- Giải sgk Địa Lí 12 - KNTT
- Giải sgk Giáo dục KTPL 12 - KNTT
- Giải sgk Tin học 12 - KNTT
- Giải sgk Công nghệ 12 - KNTT
- Giải sgk Hoạt động trải nghiệm 12 - KNTT
- Giải sgk Giáo dục quốc phòng 12 - KNTT
- Giải sgk Âm nhạc 12 - KNTT
- Giải sgk Mĩ thuật 12 - KNTT
- Lớp 12 Chân trời sáng tạo
- Soạn văn 12 (hay nhất) - CTST
- Soạn văn 12 (ngắn nhất) - CTST
- Giải sgk Toán 12 - CTST
- Giải sgk Vật Lí 12 - CTST
- Giải sgk Hóa học 12 - CTST
- Giải sgk Sinh học 12 - CTST
- Giải sgk Lịch Sử 12 - CTST
- Giải sgk Địa Lí 12 - CTST
- Giải sgk Giáo dục KTPL 12 - CTST
- Giải sgk Tin học 12 - CTST
- Giải sgk Hoạt động trải nghiệm 12 - CTST
- Giải sgk Âm nhạc 12 - CTST
- Lớp 12 Cánh diều
- Soạn văn 12 Cánh diều (hay nhất)
- Soạn văn 12 Cánh diều (ngắn nhất)
- Giải sgk Toán 12 Cánh diều
- Giải sgk Vật Lí 12 - Cánh diều
- Giải sgk Hóa học 12 - Cánh diều
- Giải sgk Sinh học 12 - Cánh diều
- Giải sgk Lịch Sử 12 - Cánh diều
- Giải sgk Địa Lí 12 - Cánh diều
- Giải sgk Giáo dục KTPL 12 - Cánh diều
- Giải sgk Tin học 12 - Cánh diều
- Giải sgk Công nghệ 12 - Cánh diều
- Giải sgk Hoạt động trải nghiệm 12 - Cánh diều
- Giải sgk Giáo dục quốc phòng 12 - Cánh diều
- Giải sgk Âm nhạc 12 - Cánh diều


Giải bài tập SGK & SBT
Tài liệu giáo viên
Sách
Khóa học
Thi online
Hỏi đáp

