Viết phương trình đường thẳng đi qua 1 điểm và song song với đường thẳng
Bài viết Viết phương trình đường thẳng đi qua 1 điểm và song song với đường thẳng với phương pháp giải chi tiết giúp học sinh ôn tập, biết cách làm bài tập Viết phương trình đường thẳng đi qua 1 điểm và song song với đường thẳng.
- Cách giải bài tập Viết phương trình đường thẳng đi qua 1 điểm và song song với đường thẳng
- Ví dụ minh họa Viết phương trình đường thẳng đi qua 1 điểm và song song với đường thẳng
- Bài tập vận dụng Viết phương trình đường thẳng đi qua 1 điểm và song song với đường thẳng
- Bài tập tự luyện Viết phương trình đường thẳng đi qua 1 điểm và song song với đường thẳng
Viết phương trình đường thẳng đi qua 1 điểm và song song với đường thẳng
(199k) Xem Khóa học Toán 12 KNTTXem Khóa học Toán 12 CDXem Khóa học Toán 12 CTST
Bài giảng: Cách viết phương trình đường thẳng cơ bản - Cô Nguyễn Phương Anh (Giáo viên VietJack)
A. Phương pháp giải
+ Xác định vectơ chỉ phương của đường thẳng Δ
+ Đường thẳng d song song với đường thẳng Δ nên đường thẳng d nhận vecto ud→ = uΔ→làm vecto chỉ phương .
+ Viết phương trình đường thẳng d qua điểm M và có VTCP là ud→
Chú ý: Các trường hợp đặc biệt.
+ Nếu đường thẳng d song song với trục Ox thì có VTCP là
+ Nếu đường thẳng d song song với trục Oy thì có VTCP là
+ Nếu đường thẳng d song song với trục Oz thì có VTCP là
B. Ví dụ minh họa
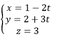
Ví dụ 1:Trong không gian với hệ trục tọa độ Oxyz cho đường thẳng d biết d đi qua A (1;
2; 3) và song song với
. Tìm mệnh đề sai
A. Một vecto chỉ phương của đường thẳng d là
B. Vậy phương trình tham số của d là:
C. Phương trình chính tắc của d là:
D. đường thẳng d không có phương trình chính tắc
Lời giải:
Vì đường thẳng d // d’ nên vectơ chỉ phương của d là:
Vậy phương trình tham số của d là:
Phương trình chính tắc của d là:
Chọn D.
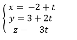
Ví dụ 2. Trong không gian với hệ trục tọa độ Oxyz; cho đường thẳng d biết d đi qua
A (0; 2; -1) và song song với
. Tìm mệnh đề sai ?
A. Điểm M(2; 8; - 3) thuộc đường thẳng d.
B. Phương trình tham số của đường thẳng d :
C. Đường thẳng d song song với mặt phẳng (P) : x+ 3y- z+ 10= 0
D. Phương trình chính tắc của đường thẳng d:
Lời giải:
Vì đường thẳng d // d’ nên vectơ chỉ phương của d là:
Vậy phương trình tham số của d là:
Cho t= 2 ta được điểm M ( 2; 8; -3) thuộc đường thẳng d
Phương trình chính tắc của d là:
Mặt phẳng (P): x+ 3y – z+ 10= 0 có vecto pháp tuyến
=> Vecto chỉ phương của đường thẳng d là vecto pháp tuyến của măt phẳng (P)
=> đường thẳng d vuông góc với mặt phẳng (P).
=> C sai
Chọn C.
Ví dụ 3: Trong không gian với hệ tọa độ Oxyz; cho tam giác ABC với A(0; 1;2 ); B( -2; 1;2); C ( -3; 2; 1). Phương trình tham số của đường thẳng đi qua điểm A và song song với BC là
A.
B.
C.
D.
Lời giải:
Gọi d là đường thẳng cẩn tìm.
Đường thẳng BC đi qua B và C nên nhận vecto
làm vecto chỉ phương.
Vì d song song với BC nên d có vectơ chỉ phương
=> Phương trình tham số của đường thẳng d:
Chọn A
Ví dụ 4: Trong không gian với hệ tọa độ Oxyz. Phương trình tham số của đường thẳng đi qua điểm M( 2; -4; 1) và song song với trục hoành là.
A.
B.
C.
D.
Lời giải:
Gọi d là đường thẳng cẩn tìm.
Trục hoành có vecto chỉ phương
Vì d song song với trục hoành nên d có vectơ chỉ phương u→ =
Đường thẳng d đi qua M (2; -4; 1) và có vectơ chỉ phương u→
Vậy phương trình tham số của d là
Chọn C.
Ví dụ 5: Trong không gian với hệ tọa độ Oxyz; cho đường thẳng
. Phương trình chính tắc của đường thẳng Δ đi qua điểm A(-2; - 3; -1) và song song với d là
A.
B.
C.
D.
Lời giải:
Đường thẳng d có vectơ chỉ phương
Vì Δ song song với d nên Δ có vectơ chỉ phương u→ =
Đường thẳng Δ đi qua điểm A(-2; -3; -1) và có vectơ chỉ phương u→
Vậy phương trình chính tắc của Δ là :
Chọn D.
Ví dụ 6: Trong không gian với hệ tọa độ Oxyz; cho đường thẳng
. Phương trình tham số của đường thẳng Δ đi qua điểm M( -2; 3; 0) và song song với d là
A.
B.
C.
D.
Lời giải:
Đường thẳng d có vectơ chỉ phương
Vì Δ song song với d nên Δ có vectơ chỉ phương u→ =
Đường thẳng Δ qua điểm M(-2; 3; 0) và có vectơ chỉ phương u→
Vậy phương trình tham số của Δ là
Chọn A.
Ví dụ 7. Trong không gian với hệ trục tọa độ Oxyz; cho đường thẳng d đi qua H(0; 3; 1) song song với đường thẳng AB. Biết A( -1; 3; 2) và B( 0; 2; 1). Viết phương trình chính tắc của đường thẳng d.
A.
B.
C.
D.
Lời giải:
+ Đường thẳng AB đi qua A và B nên nhận vecto
làm vecto chỉ phương
+ Đường thẳng d song song với AB nên đường thẳng d nhận vecto
làm vecto chỉ phương
=>Phương trình chính tắc của đường thẳng d:
Chọn B.
Ví dụ 8: Trong không gian với hệ trục tọa độ Oxyz; cho điểm A( 1; 2; 3) và B( 3; 4; 5). Gọi M là trung điểm AB. VIết phương trình tham số của đường thẳng d đi qua M và song song với đường thẳng Δ:
A.
B.
C.
D.
Lời giải:
+ Do M là trung điểm của AB nên tọa đọ điêm M là:
+ Đường thẳng Δ có vecto chỉ phương
+ Do đường thẳng d song song với đường thẳng Δ nên đường thẳng d nhận vecto
làm vecto chỉ phương
=> Phương trình tham số của đường thẳng d:
Chọn A.
C. Bài tập vận dụng
Câu 1:
Trong không gian với hệ trục tọa độ Oxyz cho đường thẳng d biết d đi qua
A (-1; -2; 4) và song song với
. Tìm mệnh đề sai
A. điểm H( 1; -2; 2) thuộc đường thẳng d.
B. Vậy phương trình tham số của d là:
C. Phương trình chính tắc của d là:
D. đường thẳng d không có phương trình chính tắc
Lời giải:
Vì đường thẳng d // d’ nên vectơ chỉ phương của d là:
Vậy phương trình tham số của d là:
Câu 2:
Trong không gian với hệ trục tọa độ Oxyz; cho đường thẳng d biết d đi qua
A (- 2; 3; -4) và song song với
. Tìm mệnh đề sai ?
A. Điểm M(2; - 3; 4) thuộc đường thẳng d.
B. Phương trình tham số của đường thẳng d :
C. Đường thẳng d song song với mặt phẳng (P) : 2x- 3y + 4 z+ 1= 0
D. Phương trình chính tắc của đường thẳng d:
Lời giải:
Vì đường thẳng d // d’ nên vectơ chỉ phương của d là:
Vậy phương trình tham số của d là:
Cho t= - 2 ta được điểm M ( 2; - 3; 4) thuộc đường thẳng d
Phương trình chính tắc của dlà:
Mặt phẳng (P): 2x- 3y + 4z+ 1= 0 có vecto pháp tuyến
=> Vecto chỉ phương của đường thẳng d cùng phương với vecto pháp tuyến của măt phẳng (P)
=> đường thẳng d vuông góc với mặt phẳng (P).
=> C sai
Chọn C.
Câu 3:
Trong không gian với hệ tọa độ Oxyz; cho tam giác ABC với A(-1; 2; 3 ); B( 0; -1; 2); C (0; 0;1). Phương trình tham số của đường thẳng đi qua điểm A và song song với BC là
A.
B.
C.
D.
Lời giải:
Gọi d là đường thẳng cẩn tìm.
Đường thẳng BC đi qua B và C nên nhận vecto
làm vecto chỉ phương.
Vì d song song với BC nên d có vectơ chỉ phương
=> Phương trình tham số của đường thẳng d:
Chọn D.
Câu 4:
Trong không gian với hệ tọa độ Oxyz. Phương trình tham số của đường thẳng đi qua điểm M( 2; 0; 3) và song song với trục tung là.
A.
B.
C.
D.
Lời giải:
Gọi d là đường thẳng cẩn tìm.
Trục tung có vecto chỉ phương
Vì d song song với trục tung nên d có vectơ chỉ phương u→ =
Đường thẳng d đi qua M (2; 0; 3) và có vectơ chỉ phương u→
Vậy phương trình tham số của d là
Chọn C.
Câu 5:
Trong không gian với hệ tọa độ Oxyz; cho đường thẳng d vuông góc với mặt phẳng (P): 2x+ y- 3z+ 2= 0. Phương trình chính tắc của đường thẳng Δ đi qua điểm A(1; 2; -1) và song song với d là
A.
B.
C.
D.
Lời giải:
Mặt phẳng (P) có vecto pháp tuyến
.
Do đường thẳng d vuông góc với mặt phẳng (P) nên đường thẳng d có vectơ chỉ phương
Vì Δ song song với d nên Δ có vectơ chỉ phương u→ =
Đường thẳng Δ đi qua điểm A(1; 2; -1) và có vectơ chỉ phương u→
Vậy phương trình chính tắc của Δ là
Chọn D
Câu 6:
Trong không gian với hệ tọa độ Oxyz; cho đường thẳng d đi qua hai điểm A( -1; 2; 0) và B( -2; 1; 1). Phương trình tham số của đường thẳng Δ đi qua điểm M(0; 2; 1) và song song với d là
A.
B.
C.
D.
Lời giải:
Đường thẳng d có vectơ chỉ phương
Vì Δ song song với d nên Δ có vectơ chỉ phương u→ =
Đường thẳng Δ qua điểm M(0; 2; 1) và có vectơ chỉ phương u→
Vậy phương trình tham số của Δ là
Chọn A.
Câu 7:
Trong không gian với hệ trục tọa độ Oxyz; cho tam giác ABC có A( 1; -2; 3); B( 2; -1; 0) và C( 0; 5; 4). Viết phương trình chính tắc của đường thẳng d qua B và song song với đường trung tuyến AM.
A.
B.
C.
D.Đường thẳng d không có phương trình chính tắc .
Lời giải:
+ M là trung điểm của BC nên tọa độ M( 1; 2; 2).
+ Đường thẳng AM đi qua A và M nên nhận vecto làm vecto chỉ phương
+ Đường thẳng d song song với AM nên đường thẳng d nhận vecto làm vecto chỉ phương
Đường thẳng d không có phương trình chính tắc .
Chọn D.
Câu 8:
Trong không gian với hệ trục tọa độ Oxyz; cho tam giác ABC có A(-2; 0;1); B(1; 0;0) và C( 1; 3; 5). Gọi G là trọng tâm tam giác ABC . Viết phương trình tham số
của đường thẳng d đi qua G và song song với đường thẳng Δ:
A.
B.
C.
D.
Lời giải:
+ Do G là trọng tâm của tam giác ABC nên tọa độ điểm G là:
+ Đường thẳng Δ có vecto chỉ phương
+ Do đường thẳng d song song với đường thẳng Δ nên đường thẳng d nhận vecto
làm vecto chỉ phương
=> Phương trình tham số của đường thẳng d:
Chọn A.
D. Bài tập tự luyện
Bài 1. Viết phương trình tham số của đường thẳng d đi qua điểm M(-1; 4; 1) và song song với đường thẳng: .
Bài 2. Viết phương trình đường thẳng d đi qua A(3;5;7) và song song với d: .
Bài 3. Trong không gian với hệ trục tọa độ Oxyz, viết phương trình đường thẳng d biết d đi qua M(1;2;3) và song song với đường thẳng ∆: .
Bài 4. Viết phương đường thẳng d đi qua A(2;1;-3) và song song với đường thẳng: .
Bài 5. Viết phương đường thẳng d đi qua A(1;2;-3) và song song với trục Oz.
Bài giảng: Cách viết phương trình đường thẳng nâng cao - Cô Nguyễn Phương Anh (Giáo viên VietJack)
(199k) Xem Khóa học Toán 12 KNTTXem Khóa học Toán 12 CDXem Khóa học Toán 12 CTST
Xem thêm các dạng bài tập Toán lớp 12 ôn thi Tốt nghiệp có lời giải hay khác:
- Các công thức về đường thẳng, phương trình đường thẳng trong không gian
- Viết phương trình đường thẳng đi qua 1 điểm và có vecto chỉ phương u
- Viết phương trình đường thẳng đi qua 2 điểm
- Viết phương trình đường thẳng đi qua 1 điểm và vuông góc với mặt phẳng
- Viết phương trình đường thẳng là giao tuyến của hai mặt phẳng
Đã có app VietJack trên điện thoại, giải bài tập SGK, SBT Soạn văn, Văn mẫu, Thi online, Bài giảng....miễn phí. Tải ngay ứng dụng trên Android và iOS.
Theo dõi chúng tôi miễn phí trên mạng xã hội facebook và youtube:Nếu thấy hay, hãy động viên và chia sẻ nhé! Các bình luận không phù hợp với nội quy bình luận trang web sẽ bị cấm bình luận vĩnh viễn.
- Giải Tiếng Anh 12 Global Success
- Giải sgk Tiếng Anh 12 Smart World
- Giải sgk Tiếng Anh 12 Friends Global
- Lớp 12 Kết nối tri thức
- Soạn văn 12 (hay nhất) - KNTT
- Soạn văn 12 (ngắn nhất) - KNTT
- Giải sgk Toán 12 - KNTT
- Giải sgk Vật Lí 12 - KNTT
- Giải sgk Hóa học 12 - KNTT
- Giải sgk Sinh học 12 - KNTT
- Giải sgk Lịch Sử 12 - KNTT
- Giải sgk Địa Lí 12 - KNTT
- Giải sgk Giáo dục KTPL 12 - KNTT
- Giải sgk Tin học 12 - KNTT
- Giải sgk Công nghệ 12 - KNTT
- Giải sgk Hoạt động trải nghiệm 12 - KNTT
- Giải sgk Giáo dục quốc phòng 12 - KNTT
- Giải sgk Âm nhạc 12 - KNTT
- Giải sgk Mĩ thuật 12 - KNTT
- Lớp 12 Chân trời sáng tạo
- Soạn văn 12 (hay nhất) - CTST
- Soạn văn 12 (ngắn nhất) - CTST
- Giải sgk Toán 12 - CTST
- Giải sgk Vật Lí 12 - CTST
- Giải sgk Hóa học 12 - CTST
- Giải sgk Sinh học 12 - CTST
- Giải sgk Lịch Sử 12 - CTST
- Giải sgk Địa Lí 12 - CTST
- Giải sgk Giáo dục KTPL 12 - CTST
- Giải sgk Tin học 12 - CTST
- Giải sgk Hoạt động trải nghiệm 12 - CTST
- Giải sgk Âm nhạc 12 - CTST
- Lớp 12 Cánh diều
- Soạn văn 12 Cánh diều (hay nhất)
- Soạn văn 12 Cánh diều (ngắn nhất)
- Giải sgk Toán 12 Cánh diều
- Giải sgk Vật Lí 12 - Cánh diều
- Giải sgk Hóa học 12 - Cánh diều
- Giải sgk Sinh học 12 - Cánh diều
- Giải sgk Lịch Sử 12 - Cánh diều
- Giải sgk Địa Lí 12 - Cánh diều
- Giải sgk Giáo dục KTPL 12 - Cánh diều
- Giải sgk Tin học 12 - Cánh diều
- Giải sgk Công nghệ 12 - Cánh diều
- Giải sgk Hoạt động trải nghiệm 12 - Cánh diều
- Giải sgk Giáo dục quốc phòng 12 - Cánh diều
- Giải sgk Âm nhạc 12 - Cánh diều


Giải bài tập SGK & SBT
Tài liệu giáo viên
Sách
Khóa học
Thi online
Hỏi đáp

