Cách viết phương trình đường thẳng đi qua 2 điểm cực hay
Bài viết Cách viết phương trình đường thẳng đi qua 2 điểm với phương pháp giải chi tiết giúp học sinh ôn tập, biết cách làm bài tập Cách viết phương trình đường thẳng đi qua 2 điểm.
Cách viết phương trình đường thẳng đi qua 2 điểm cực hay
(199k) Xem Khóa học Toán 12 KNTTXem Khóa học Toán 12 CDXem Khóa học Toán 12 CTST
Bài giảng: Cách viết phương trình đường thẳng cơ bản - Cô Nguyễn Phương Anh (Giáo viên VietJack)
A. Phương pháp giải
+ Tính
, đường thẳng d nhận vecto
làm vecto chỉ phương ( có thể chọn một vecto cùng phương với
làm vecto chỉ phương.
+ Đường thẳng d đi qua A và nhận vecto
làm vecto chỉ phương
=> phương trình tham số và phương trình chính tắc của đường thẳng d
B. Ví dụ minh họa
Ví dụ 1: Trong không gian với hệ tọa độ Oxyz; cho đường thẳng Δ đi qua A (1; 1; 3) và B (2; 0; 5). Tìm mệnh đề sai?
A. phương trình tham số của Δ là:
B. Phương trình chính tắc của Δ là:
C. Đường thẳng Δ đi qua điểm H( 0; 2; 1)
D. Đường thẳng Δ đi qua điểm K( - 4; - 6; - 7)
Lời giải:
Ta có:
Δ đi qua A và B nên vectơ chỉ phương của Δ là u→
=
Vậy phương trình tham số của Δ là:
Phương trình chính tắc của Δ là:
Cho t= - 1 ta được điểm H( 0;2; 1) thuộc đường thẳng Δ.
Cho t= -5 ta được điểm M( - 4; 6; - 7) thuộc đường thẳng Δ
Chọn D.
Ví dụ 2: Cho tam giác ABC có A(1; -2; 5), B(3; -1; 4), C(4; 1; -3). Chọn mệnh đề sai về phương trình đường trung tuyến AM
A. phương trình tham số của AM là:
B. Phương trình chính tắc của AM là:
C. Phương trình tham số của AM là:
D. Phương trình chính tắc của AM là:
Lời giải:
Trung điểm M của BC là
=>vectơ chỉ phương của AM là
Vậy phương trình tham số của AM là:
Phương trình chính tắc của AM là:
Do vecto
là vecto chỉ phương của đường thẳng AM nên vecto
cũng là vecto chỉ phương của đường thẳng AM.
=> Đường thẳng AM cũng có phương trình chính tắc là:
Chọn C.
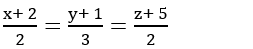
Ví dụ 3:Viết phương trình chính tắc của đường thẳng Δ biết Δ đi qua A (2; 1; 3) và B (1; -2; 1)?
A.
B.
C.
D.
Lời giải:
Vì đường thẳng Δđi qua 2 điểm A (2; 1; 3) và B (1; -2; 1) nên có véc tơ chỉ phương là u→=
=(1;3;2)
Đồng thời đường thẳng Δ đi qua điểm A (2; 1; 3) nên có phương trình là
Chọn B.
Ví dụ 4: Trong không gian với hệ tọa độ Oxyz; phương trình nào sau đây là phương trình chính tắc của đường thẳng đi qua hai điểm A( 3; 3; -1) và B( 6;4; 0)?
A.
B.
C.
D. Tất cả sai
Lời giải:
Đường thẳng AB đi qua hai điểm A và B nên có vectơ chỉ phương
Vậy phương trình chính tắc của AB là:
Chọn D.
Ví dụ 5: Trong không gian với hệ tọa độ Oxyz; cho tam giác ABC có A( 1; 2; 3) ; B( 0; -2; 1) và C( 2; 0; 2). Gọi G là trọng tâm tam giác ABC. Viết phương trình đường thẳng AG là.
A.
B.
C.
D.Không có phương trình chính tắc
Lời giải:
G là trọng tâm tam giác ABC nên tọa độ điểm G:
Đường thẳng AG đi qua điểm G( 1; 0; 2) và có vectơ chỉ phương
=> Đường thẳng AG không có phương trình chính tắc.
Chọn D.
Ví dụ 6: Cho hai đường thẳng
và
. Gọi I là giao điểm của d1; d2. Phương trình đường thẳng OI là (O là góc toạ độ )
A.
B.
C.
D.
Lời giải:
Ta có I∈d1⇒
và I∈d2⇒
Khi đó
⇒
là vecto chỉ phương của đường thẳng OI
Suy ra phương trình OI là:
Chọn D.
Ví dụ 7: Trong mặt phẳng tọa độ Oxyz; cho tam giác ABC có A(1; 2; -1); B( 3; 2; 3) và C( -3; 0; 3). Gọi M và N lần lượt là trung điểm của AB và AC. Viết phương trình đường thẳng MN?
A.
B.
C.
D.
Lời giải:
+ Do M là trung điểm của AB nên tọa độ điểm M là:
.
+ Tương tự do N là trung điểm của AC nên tọa độ N ( -1; 1; 1)
+ Đường thẳng MN đi qua M( 2; 2; 1) và có vecto chỉ phương
làm vecto chỉ phương
=> Phương trình tham số của đường thẳng
Đường thẳng d không có phương trình chính tắc.
Chọn B.
C. Bài tập vận dụng
Câu 1:
Trong không gian với hệ tọa độ Oxyz; cho đường thẳng d đi qua A ( -2; 0; 3) và B (1; 1; 5). Tìm mệnh đề sai?
A. Phương trình tham số của d là:
B. Phương trình chính tắc của d là:
C. Đường thẳng d đi qua điểm H( - 5; -1; 1)
D. Đường thẳng d đi qua điểm K( -11; -3; -3)
Lời giải:
Ta có:
Đường thẳng d đi qua A và B nên vectơ chỉ phương của d là u→=
Vậy phương trình tham số của d là:
Phương trình chính tắc của d là:
Cho t= - 1 ta được điểm H( -5; -1; 1) thuộc đường thẳng d.
Cho t= -3 ta được điểm M( -11;- 3; - 3) thuộc đường thẳng d
Chọn A.
Câu 2:
Cho tam giác ABC có A(2; -1; 3), B(0; 5; 3), C(2; 1; 4). Chọn mệnh đề sai về phương trình đường trung tuyến CN
A. phương trình tham số của CN là:
B. Phương trình chính tắc của CN là:
C. Phương trình tham số của CN là:
D. Phương trình chính tắc của CN là:
Lời giải:
Trung điểm A của AB là N(1;2 ;3)
=>vectơ chỉ phương của CN là u→ =(1; -1;1)
Vậy phương trình tham số của CN là:
Phương trình chính tắc của CN là:
Do vecto u→ (-1;1; -1)là vecto chỉ phương của đường thẳng CN nên vecto v→ (-1; 1; -1) cũng là vecto chỉ phương của đường thẳng CN.
=> Đường thẳng CN cũng có phương trình chính tắc là:
Chọn D.
Câu 3:
Cho đường thẳng d đi qua hai điểm A(1; 2; 0) và B( -2;3; 4). Trong các vecto sau vecto nào là vecto chỉ phương của đường thẳng d
A. ( -3; 1; - 4)
B. ( 6; -2; -8)
C.( 3; -1; -4)
D. (9; -3; -12)
Lời giải:
Ta có:
là một vecto chỉ phương của đường thẳng AB.
Mà vecto
cùng phương với các vecto
;
và
nên ba vecto uX→; v→; t→ cũng là vecto chỉ phương của đường thẳng d
Chọn A.
Câu 4:
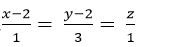
Viết phương trình chính tắc của đường thẳng Δ biết Δ đi qua A (2; 1; 5) và B (4; -2; 6)?
A.
B.
C.
D.
Lời giải:
Vì đường thẳng Δ đi qua 2 điểm A (2; 1; 5) và B (4; - 2; 6) nên có véc tơ chỉ phương là u→=
=(2; -3 ;1)
Đồng thời đường thẳng Δ đi qua điểm A (2; 1; 5) nên có phương trình là
Chọn B.
Câu 5:
Trong không gian với hệ tọa độ Oxyz; phương trình nào sau đây là phương trình chính tắc của đường thẳng đi qua hai điểm O(0; 0;0) và A(-1; 2; -4)?
A.
B.
C.
D. Tất cả sai
Lời giải:
Đường thẳng OA đi qua hai điểm O và A nên có vectơ chỉ phương
Vậy phương trình chính tắc của AB là:
Chọn B.
Câu 6:
Trong không gian với hệ tọa độ Oxyz; cho tam giác ABC có A( -2; 3; 4) ; B( 2; 1; 3) và C(0;2; 2). Gọi G là trọng tâm tam giác ABC. Viết phương trình đường thẳng AG là.
A.
B.
C.
D.Không có phương trình chính tắc
Lời giải:
G là trọng tâm tam giác ABC nên tọa độ điểm G:
=> G( 0;2; 3)
Đường thẳng AG đi qua điểm G( 0; 2; 3) và có vectơ chỉ phương
=> Đường thẳng AG có phương trình chính tắc:
Chọn C.
Câu 7:
Cho hai đường thẳng d1:và d2:
Gọi I là giao điểm của d1; d2. Phương trình đường thẳng OI là (O là góc toạ độ )
A.
B.
C.
D.
Lời giải:
Ta có I∈d1⇒ và I∈d2 ⇒
Khi đó
⇒
=2(1;1;1) là vecto chỉ phương của đường thẳng OI
Suy ra phương trình OI là:
Chọn B.
Câu 8:
Trong mặt phẳng tọa độ Oxyz; cho tam giác ABC có A(2; 3; 5); B( 0; -1; -3) và C( 4; -1; -3). Gọi M và N lần lượt là trung điểm của AB và AC. Viết phương trình đường thẳng MN?
A.
B.
C.
D.
Lời giải:
+ Do M là trung điểm của AB nên tọa độ điểm M là:
=> M( 1; 1; 1).
+ Tương tự do N là trung điểm của AC nên tọa độ N ( 3; 1; 1)
+ Đường thẳng MN đi qua M(1; 1; 1) và có vecto chỉ phương
làm vecto chỉ phương
=> Phương trình tham số của đường thẳng d:
Đường thẳng d không có phương trình chính tắc.
Chọn A.
D. Bài tập tự luyện
Bài 1. Cho tam giác ABC có A(0; -2; 3), B(3; -1; 4), C(4; 1; -3). Viết phương trình tham số của đường trung tuyến AM biết M là trung điểm của BC.
Bài 2. Viết phương trình tham số của đường thẳng Δ biết Δ đi qua A (2; 1; 3) và B (1; -2; 1)?
Bài 3. Trong không gian với hệ tọa độ Oxyz; viết phương trình tham số của đường thẳng đi qua hai điểm A(2; 0; -1) và B(2; 2; -1).
Bài 4. Trong không gian với hệ tọa độ Oxyz; cho tam giác MNP có M(1; 2; 3) ; N( 0; -2; 1) và P(2; 0; 2). Gọi G là trọng tâm tam giác MNP. Viết phương trình tham số và chính tắc của đường thẳng MG.
Bài 5. Trong mặt phẳng tọa độ Oxyz; cho tam giác ABC có A(0; 2; -1); B(2; -2; -3) và C(-3; 0; 3). Gọi E và F lần lượt là trung điểm của AB và AC. Viết phương trình đường thẳng EF?
Bài giảng: Cách viết phương trình đường thẳng nâng cao - Cô Nguyễn Phương Anh (Giáo viên VietJack)
(199k) Xem Khóa học Toán 12 KNTTXem Khóa học Toán 12 CDXem Khóa học Toán 12 CTST
Xem thêm các dạng bài tập Toán lớp 12 ôn thi Tốt nghiệp có lời giải hay khác:
- Các công thức về đường thẳng, phương trình đường thẳng trong không gian
- Viết phương trình đường thẳng đi qua 1 điểm và có vecto chỉ phương u
- Viết phương trình đường thẳng đi qua 1 điểm và vuông góc với mặt phẳng
- Viết phương trình đường thẳng đi qua 1 điểm và song song với đường thẳng
- Viết phương trình đường thẳng là giao tuyến của hai mặt phẳng
Đã có app VietJack trên điện thoại, giải bài tập SGK, SBT Soạn văn, Văn mẫu, Thi online, Bài giảng....miễn phí. Tải ngay ứng dụng trên Android và iOS.
Theo dõi chúng tôi miễn phí trên mạng xã hội facebook và youtube:Nếu thấy hay, hãy động viên và chia sẻ nhé! Các bình luận không phù hợp với nội quy bình luận trang web sẽ bị cấm bình luận vĩnh viễn.
- Giải Tiếng Anh 12 Global Success
- Giải sgk Tiếng Anh 12 Smart World
- Giải sgk Tiếng Anh 12 Friends Global
- Lớp 12 Kết nối tri thức
- Soạn văn 12 (hay nhất) - KNTT
- Soạn văn 12 (ngắn nhất) - KNTT
- Giải sgk Toán 12 - KNTT
- Giải sgk Vật Lí 12 - KNTT
- Giải sgk Hóa học 12 - KNTT
- Giải sgk Sinh học 12 - KNTT
- Giải sgk Lịch Sử 12 - KNTT
- Giải sgk Địa Lí 12 - KNTT
- Giải sgk Giáo dục KTPL 12 - KNTT
- Giải sgk Tin học 12 - KNTT
- Giải sgk Công nghệ 12 - KNTT
- Giải sgk Hoạt động trải nghiệm 12 - KNTT
- Giải sgk Giáo dục quốc phòng 12 - KNTT
- Giải sgk Âm nhạc 12 - KNTT
- Giải sgk Mĩ thuật 12 - KNTT
- Lớp 12 Chân trời sáng tạo
- Soạn văn 12 (hay nhất) - CTST
- Soạn văn 12 (ngắn nhất) - CTST
- Giải sgk Toán 12 - CTST
- Giải sgk Vật Lí 12 - CTST
- Giải sgk Hóa học 12 - CTST
- Giải sgk Sinh học 12 - CTST
- Giải sgk Lịch Sử 12 - CTST
- Giải sgk Địa Lí 12 - CTST
- Giải sgk Giáo dục KTPL 12 - CTST
- Giải sgk Tin học 12 - CTST
- Giải sgk Hoạt động trải nghiệm 12 - CTST
- Giải sgk Âm nhạc 12 - CTST
- Lớp 12 Cánh diều
- Soạn văn 12 Cánh diều (hay nhất)
- Soạn văn 12 Cánh diều (ngắn nhất)
- Giải sgk Toán 12 Cánh diều
- Giải sgk Vật Lí 12 - Cánh diều
- Giải sgk Hóa học 12 - Cánh diều
- Giải sgk Sinh học 12 - Cánh diều
- Giải sgk Lịch Sử 12 - Cánh diều
- Giải sgk Địa Lí 12 - Cánh diều
- Giải sgk Giáo dục KTPL 12 - Cánh diều
- Giải sgk Tin học 12 - Cánh diều
- Giải sgk Công nghệ 12 - Cánh diều
- Giải sgk Hoạt động trải nghiệm 12 - Cánh diều
- Giải sgk Giáo dục quốc phòng 12 - Cánh diều
- Giải sgk Âm nhạc 12 - Cánh diều


Giải bài tập SGK & SBT
Tài liệu giáo viên
Sách
Khóa học
Thi online
Hỏi đáp

