Viết phương trình đường thẳng là giao tuyến của hai mặt phẳng
Bài viết Viết phương trình đường thẳng là giao tuyến của hai mặt phẳng với phương pháp giải chi tiết giúp học sinh ôn tập, biết cách làm bài tập Viết phương trình đường thẳng là giao tuyến của hai mặt phẳng.
- Cách giải bài tập Viết phương trình đường thẳng là giao tuyến của hai mặt phẳng
- Ví dụ minh họa Viết phương trình đường thẳng là giao tuyến của hai mặt phẳng
- Bài tập vận dụng Viết phương trình đường thẳng là giao tuyến của hai mặt phẳng
- Bài tập tự luyện Viết phương trình đường thẳng là giao tuyến của hai mặt phẳng
Viết phương trình đường thẳng là giao tuyến của hai mặt phẳng
(199k) Xem Khóa học Toán 12 KNTTXem Khóa học Toán 12 CDXem Khóa học Toán 12 CTST
Bài giảng: Cách viết phương trình đường thẳng cơ bản - Cô Nguyễn Phương Anh (Giáo viên VietJack)
A. Phương pháp giải
Cách 1:
+ Cả hai trường hợp đều suy ra
.
Mà (P) và (Q) cắt nhau
=>Véc tơ chỉ phương của d là
+ Tìm một điểm M thuộc đường thẳng d.
+ Đường thẳng d đi qua M và nhận vecto
làm vecto chỉ phương
=> phương trình tham số và phương trình chính tắc của đường thẳng
Cách 2:
Nếu d là giao tuyến của hai mặt phẳng cắt nhau (P) và (Q) thì với mỗi điểm
M ( x; y;z) thuộc d là nghiệm của hệ phương trình:
Đặt x= t ( hoặc y= t hoặc z= t) thay vào hệ (*) rồi rút y; z theo t
Từ đó suy ra phương trình của đường thẳng d.
B. Ví dụ minh họa
Ví dụ 1: Trong không gian với hệ tọa độ Oxyz; gọi d là giao tuyến của hai mặt phẳng (α):x-3y+z=0 và (α'):x+y-z+4=0 . Viết phương trình tham số của đường thẳng d
A.
B.
C.
D.
Lời giải:
* Cách 1: Điểm M (x; y; z) ∈ d khi tọa độ của M là nghiệm của hệ phương trình:
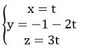
Đặt y = t, ta có:
Vậy phương trình tham số của d là:
Cách 2: Ta tìm một điểm thuộc đường thẳng d bằng cách cho y = 0 trong hệ (*)
Ta có hệ
Vậy điểm M0(-2;0;2) thuộc đường thẳng d.
Vectơ chỉ phương của đường thẳng d là
Chọn 1 vectơ chỉ phương của đường thẳng d là
Vậy phương trình tham số của d là:
Chọn C.
Ví dụ 2: Trong không gian với hệ tọa độ Oxyz; gọi d là giao tuyến của mặt phẳng (P): y – 2z + 3 = 0 và mặt phẳng tọa độ (Oyz).
A.
B.
C.
D.
Lời giải:
Mặt phẳng (Oyz) có phương trình x= 0
Điểm M (x; y; z) ∈ d khi tọa độ của M là nghiệm của hệ phương trình:
là phương trình đường thẳng d
Chọn A.
Ví dụ 3: Viết phương trình đường thẳng d đi qua A (1; 2; - 1) và song song với đường thẳng giao tuyến của hai mặt phẳng (α):x+y-z+3=0 và (α'):2x-y+5z-4=0
A.
B.
C.
D.
Lời giải:
Vecto pháp tuyến của hai mặt phẳng là:
Vectơ chỉ phương của đường thẳng d là
Vậy phương trình đường thẳng d là
Chọn C.
Ví dụ 4: Viết phương trình đường thẳng d là giao tuyến của hai mặt phẳng (α):2x+y+1=0 và (β):x-y+z-1=0
A.
B.
C.
D. Đáp án khác
Lời giải:
Vecto pháp tuyến của hai mặt phẳng
Vectơ chỉ phương của đường thẳng d là
Điểm M (x; y; z) ∈ d khi đó tọa độ của M là nghiệm của hệ phương trình:
Ta tìm một điểm thuộc đường thẳng d bằng cách cho x = 0 trong hệ (*)
Ta có hệ
Vậy điểm M0(0;-1;0) thuộc đường thẳng d.
Vậy phương trình đường thẳng d là
Chọn C.
Ví dụ 5: Trong không gian với hệ tọa độ Oxyz; cho đường thẳng Δ là giao tuyến của hai mặt phẳng (α): x- 2y – z+10= 0 và (β): 2x+2y – 3z – 40= 0 . Phương trình đường thẳng d đi qua điểm M(2; 3; 1) và song song với đường thẳng Δ là
A.
B.
C.
D.
giải
Mặt phẳng (α) có vec tơ pháp tuyến
Mặt phẳng (β ) có vec tơ pháp tuyến
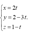
Đường thẳng d đi qua điểm M và có vectơ chỉ phương là
Vậy phương trình của d là:
Chọn D.
Ví dụ 6: Trong không gian với hệ tọa độ Oxyz; cho hai mặt phẳng (P): x- 2y+ 2z- 9= 0 và (Q): 3x- 5y – 2z + 9= 0 . Phương trình đường thẳng d đi qua điểm M(-2; -3; 5) và song song với hai mặt phẳng (P) và ( Q) là
A.
B.
C.
D.
Lời giải:
Mặt phẳng (P) có vectơ pháp tuyến
Mặt phẳng (Q) có vectơ pháp tuyến
Đường thẳng d đi qua điểm M( -2; -3;5) và có vectơ chỉ phương là:
Vậy phương trình của d là
Chọn A
Ví dụ 7: Trong không gian với hệ tọa độ (Oxyz) cho mặt phẳng (P): 2x- y+ 2z- 3= 0. Phương trình đường thẳng d đi qua điểm A(2; -3; -1 ), song song với hai mặt phẳng ( P) và ( Oyz) là.
A.
B.
C.
D.
Lời giải:
Mặt phẳng (P) có vectơ pháp tuyến
Mặt phẳng (Oyz) có phương trình x= 0 nên có vectơ pháp tuyến
Đường thẳng d đi qua điểm A( 2; -3; -1) và có vectơ chỉ phương là
Vậy phương trình của d là
Chọn B.
Ví dụ 8. Trong không gian với hệ trục oxyz; cho đường thẳng d đi qua A(1; 0; -3) và song song với hai mặt phẳng ( Oxy) và ( Oxz). Viết phương trình của đường thẳng d?
A.
B.
C.
D.
Lời giải:
Mặt phẳng (Oxy) có phương trình z= 0 nên có vectơ pháp tuyến
Mặt phẳng (Oxz) có phương trình y= 0 nên có vectơ pháp tuyến
Đường thẳng d đi qua điểm A(1;0;-3) và có vectơ chỉ phương là
Vậy phương trình của d là:
Chọn A.
C. Bài tập vận dụng
Chọn C.
Câu 1:
Trong không gian với hệ tọa độ Oxyz; gọi d là giao tuyến của hai mặt phẳng (P):2x+ y+z-4=0 và (Q):x+2y-z-5=0 . Viết phương trình tham số của đường thẳng d
A.
B.
C.
D.
Lời giải:
Giao tuyến của 2 mặt phẳng (P) và (Q) thỏa mãn hệ phương trình:
Ta tìm một điểm thuộc đường thẳng d bằng cách cho x = 0 trong hệ (*)
Ta có hệ
Vậy điểm M0(0;3;1) thuộc đường thẳng d.
Vecto pháp tuyến của hai mặt phẳng là:
Vectơ chỉ phương của đường thẳng d là
Chọn 1 vectơ chỉ phương của đường thẳng d là
Vậy phương trình tham số của d là:
Chọn D
Câu 2:
Trong không gian với hệ tọa độ Oxyz; gọi d là giao tuyến của mặt phẳng (P): 2x- z+ 2 = 0 và mặt phẳng tọa độ (Oxy).
A.
B.
C.
D.
Lời giải:
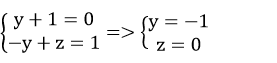
Điểm M( x; y;z) thuộc giao tuyến d của 2 mặt phẳng (P) và (Oxy) thỏa mãn hệ phương trình:
Vậy điểm M(-1;y;0) chọn y= 0 ta được điểm M’( -1; 0; 0) thuộc đường thẳng d.
Vecto pháp tuyến của hai mặt phẳng là:
Vectơ chỉ phương của đường thẳng d là:
Chọn 1 vectơ chỉ phương của đường thẳng d là
Vậy phương trình tham số của d là:
Chọn A.
Câu 3:
Viết phương trình đường thẳng d đi qua A (-2; -3; 1) và song song với đường thẳng giao tuyến của hai mặt phẳng (P) :x-2z+3=0 và (Q):2x-3y-4=0
A.
B.
C.
D.
Lời giải:
Vecto pháp tuyến của hai mặt phẳng là:
Vectơ chỉ phương của đường thẳng d là
Vậy phương trình đường thẳng d là
Chọn C.
Câu 4:
Viết phương trình đường thẳng d là giao tuyến của hai mặt phẳng (P):x+2z=0 và (Q): 3x+ y-2z-8=0
A.
B.
C.
D. Đáp án khác
Lời giải:
Vecto pháp tuyến của hai mặt phẳng
Vectơ chỉ phương của đường thẳng d là
Điểm M (x; y; z) ∈ d khi đó tọa độ của M là nghiệm của hệ phương trình:
Ta tìm một điểm thuộc đường thẳng d bằng cách cho y = 0 trong hệ (*)
Ta có hệ
Vậy điểm M0 (2;0; -1) thuộc đường thẳng d.
Vậy phương trình đường thẳng d là
Chọn B.
Câu 5:
Trong không gian với hệ tọa độ Oxyz; cho đường thẳng Δ là giao tuyến của hai mặt phẳng (α): x +10= 0 và (β): x+2y – z – 0= 0 . Phương trình đường thẳng d đi qua điểm M( 1; 2; 3) và song song với đường thẳng Δ là
A.
B.
C.
D. Đáp án khác
Lời giải:
Mặt phẳng (α) có vec tơ pháp tuyến
Mặt phẳng (β ) có vec tơ pháp tuyến
Đường thẳng d đi qua điểm M và có vectơ chỉ phương là
Vậy phương trình của d là:
Chọn D.
Câu 6:
Trong không gian với hệ tọa độ Oxyz; cho mặt phẳng (P): 2x- y+ 2z- 9= 0 và (Q) đi qua ba điểm A(1; 0; 0) ; B(0; -1; 0) và C( 0;0; 1). Phương trình đường thẳng d đi qua điểm M( 2; 1; 8) và song song với hai mặt phẳng (P) và ( Q) là
A.
B.
C.
D.
Lời giải:
Phương trình đoạn chắn của mặt phẳng (Q):
⇔ (Q) : x- y + z – 1= 0
Mặt phẳng (P) có vectơ pháp tuyến
Mặt phẳng (Q) có vectơ pháp tuyến
Đường thẳng d đi qua điểm M( 2; 1; 8) và có vectơ chỉ phương là:
Vậy phương trình của d là
Chọn A
Câu 7:
Trong không gian với hệ tọa độ (Oxyz); cho mặt phẳng (P): x+ 2y- z-10 = 0. Gọi (Q) là mặt phẳng song song với mặt phẳng (P) và đi qua gốc tọa độ. Viết phương trình đường thẳng d đi qua A( 1; 0; 1) và song song với hai mặt phẳng ( Q) và (Oyz)?
A.
B.
C.
D. Đáp án khác
Lời giải:
+ Do mặt phẳng (Q) song song với mặt phẳng ( P): x+ 2y – z- 10= 0 nên phương trình mặt phẳng ( Q) có dạng: x+ 2y – z+ D = 0
Mà mặt phẳng (Q) đi qua điểm O(0; 0;0) nên thay tọa độ điểm O vào phương trình (Q) ta được: 0+ 2.0 – z+ D= 0 ⇔ D=0
Vậy phương trình mặt phẳng (Q): x+ 2y- z= 0
+ Mặt phẳng (Q) có vectơ pháp tuyến
Mặt phẳng (Oyz) có phương trình x= 0 nên có vectơ pháp tuyến
+ Đường thẳng d đi qua điểm A( 1;0; 1) và có vectơ chỉ phương là
chọn vecto (0; 1;2)
=> Đường thẳng d không có phương trình chính tắc
Chọn D.
Câu 8:
Trong không gian với hệ trục Oxyz; cho đường thẳng d đi qua A(1; -1; 0) và song song với hai mặt phẳng ( Oyz) và ( Oxz). Viết phương trình của đường thẳng d?
A.
B.
C.
D.
Lời giải:
Mặt phẳng (Oyz) có phương trình x= 0 nên có vectơ pháp tuyến
Mặt phẳng (Oxz) có phương trình y= 0 nên có vectơ pháp tuyến
Đường thẳng d đi qua điểm A(1; -1; 0) và có vectơ chỉ phương là
Vậy phương trình của d là:
Chọn B.
D. Bài tập tự luyện
Bài 1. Viết phương trình đường thẳng (d) là giao tuyến của hai mặt phẳng
(P): 2x + y - z - 3 = 0 và (Q): x + y + z - 1 = 0.
Bài 2. Viết phương trình đường thẳng (d) là giao tuyến của hai mặt phẳng
(P): x + y - z - 2 = 0 và (Q): 2x + 3y - z = 0.
Bài 3. Đường thẳng Δ là giao tuyến của hai mặt phẳng
(α): x + 2y + z – 1 = 0 và (β): x – y – z + 2 = 0.
Viết phương trình đường thẳng Δ.
Bài 4. Viết phương trình đường thẳng d biết d là giao tuyến của hai mặt phẳng
x – y + z – 4 = 0 và 3x – y + z – 1 = 0.
Bài 5. Viết phương trình đường thẳng d biết d là giao tuyến của hai mặt phẳng
3x – y + z – 2 = 0 và x + 4y – 5 = 0.
Bài giảng: Cách viết phương trình đường thẳng nâng cao - Cô Nguyễn Phương Anh (Giáo viên VietJack)
(199k) Xem Khóa học Toán 12 KNTTXem Khóa học Toán 12 CDXem Khóa học Toán 12 CTST
Xem thêm các dạng bài tập Toán lớp 12 ôn thi Tốt nghiệp có lời giải hay khác:
- Các công thức về đường thẳng, phương trình đường thẳng trong không gian
- Viết phương trình đường thẳng đi qua 1 điểm và có vecto chỉ phương u
- Viết phương trình đường thẳng đi qua 2 điểm
- Viết phương trình đường thẳng đi qua 1 điểm và vuông góc với mặt phẳng
- Viết phương trình đường thẳng đi qua 1 điểm và song song với đường thẳng
Đã có app VietJack trên điện thoại, giải bài tập SGK, SBT Soạn văn, Văn mẫu, Thi online, Bài giảng....miễn phí. Tải ngay ứng dụng trên Android và iOS.
Theo dõi chúng tôi miễn phí trên mạng xã hội facebook và youtube:Nếu thấy hay, hãy động viên và chia sẻ nhé! Các bình luận không phù hợp với nội quy bình luận trang web sẽ bị cấm bình luận vĩnh viễn.
- Giải Tiếng Anh 12 Global Success
- Giải sgk Tiếng Anh 12 Smart World
- Giải sgk Tiếng Anh 12 Friends Global
- Lớp 12 Kết nối tri thức
- Soạn văn 12 (hay nhất) - KNTT
- Soạn văn 12 (ngắn nhất) - KNTT
- Giải sgk Toán 12 - KNTT
- Giải sgk Vật Lí 12 - KNTT
- Giải sgk Hóa học 12 - KNTT
- Giải sgk Sinh học 12 - KNTT
- Giải sgk Lịch Sử 12 - KNTT
- Giải sgk Địa Lí 12 - KNTT
- Giải sgk Giáo dục KTPL 12 - KNTT
- Giải sgk Tin học 12 - KNTT
- Giải sgk Công nghệ 12 - KNTT
- Giải sgk Hoạt động trải nghiệm 12 - KNTT
- Giải sgk Giáo dục quốc phòng 12 - KNTT
- Giải sgk Âm nhạc 12 - KNTT
- Giải sgk Mĩ thuật 12 - KNTT
- Lớp 12 Chân trời sáng tạo
- Soạn văn 12 (hay nhất) - CTST
- Soạn văn 12 (ngắn nhất) - CTST
- Giải sgk Toán 12 - CTST
- Giải sgk Vật Lí 12 - CTST
- Giải sgk Hóa học 12 - CTST
- Giải sgk Sinh học 12 - CTST
- Giải sgk Lịch Sử 12 - CTST
- Giải sgk Địa Lí 12 - CTST
- Giải sgk Giáo dục KTPL 12 - CTST
- Giải sgk Tin học 12 - CTST
- Giải sgk Hoạt động trải nghiệm 12 - CTST
- Giải sgk Âm nhạc 12 - CTST
- Lớp 12 Cánh diều
- Soạn văn 12 Cánh diều (hay nhất)
- Soạn văn 12 Cánh diều (ngắn nhất)
- Giải sgk Toán 12 Cánh diều
- Giải sgk Vật Lí 12 - Cánh diều
- Giải sgk Hóa học 12 - Cánh diều
- Giải sgk Sinh học 12 - Cánh diều
- Giải sgk Lịch Sử 12 - Cánh diều
- Giải sgk Địa Lí 12 - Cánh diều
- Giải sgk Giáo dục KTPL 12 - Cánh diều
- Giải sgk Tin học 12 - Cánh diều
- Giải sgk Công nghệ 12 - Cánh diều
- Giải sgk Hoạt động trải nghiệm 12 - Cánh diều
- Giải sgk Giáo dục quốc phòng 12 - Cánh diều
- Giải sgk Âm nhạc 12 - Cánh diều


Giải bài tập SGK & SBT
Tài liệu giáo viên
Sách
Khóa học
Thi online
Hỏi đáp

