Giải bài 21 trang 23 SGK Giải Tích 12 nâng cao
Luyện tập (trang 23-24)
Bài 21 (trang 23 sgk Giải Tích 12 nâng cao): Tìm cực trị của các hàm số sau:
Lời giải:
a. Tập xác định: D= R.
Bảng biến thiên
Hàm số đạt cực tiểu tại x = -1; fCT=f(-1)=-1/2
Hàm số đạt cực đại tại x = 1; fCĐ=f(1)=1/2
Bảng biến thiên:
Vậy hàm số đạt cực tiểu tại điểm x=-3/2; f(-3/2)=27/4
Hàm số không có cực đại
Bảng biến thiên
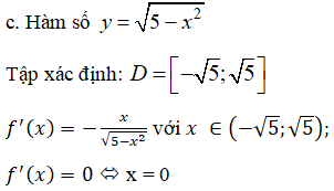
Hàm số đạt cực đại tại điểm x = 0; fCĐ = f(0) = √5
Hàm số không có cực tiểu.
Bảng biến thiên
Hàm số nghịch biến trên (- ∞; -1] và đồng biến trên [1; +∞)
Hàm số không có cực trị.
Các bài giải bài tập Giải Tích 12 nâng cao Luyện tập (trang 23-24) khác:
Bài 21 (trang 23 SGK Giải Tích 12 nâng cao): Tìm cực trị của các hàm số sau:...
Bài 22 (trang 23 SGK Giải Tích 12 nâng cao): Tìm giá trị của m để hàm số...
Bài 23 (trang 23 SGK Giải Tích 12 nâng cao): Độ giảm huyết áp của một bệnh nhân được...
Bài 25 (trang 23 SGK Giải Tích 12 nâng cao): Một con cá hồi bơi ngược dòng để vượt...
Bài 26 (trang 23 SGK Giải Tích 12 nâng cao): Sau khi phát hiện một bệnh dịch, các chuyên....
Bài 27 (trang 24 SGK Giải Tích 12 nâng cao): Tìm giá trị lớn nhất và nhỏ nhất của...
Bài 28 (trang 24 SGK Giải Tích 12 nâng cao): Trong các hình chữ nhật có chu vi là 40cm...
Đã có app VietJack trên điện thoại, giải bài tập SGK, SBT Soạn văn, Văn mẫu, Thi online, Bài giảng....miễn phí. Tải ngay ứng dụng trên Android và iOS.
Theo dõi chúng tôi miễn phí trên mạng xã hội facebook và youtube:Nếu thấy hay, hãy động viên và chia sẻ nhé! Các bình luận không phù hợp với nội quy bình luận trang web sẽ bị cấm bình luận vĩnh viễn.
- Giải Tiếng Anh 12 Global Success
- Giải sgk Tiếng Anh 12 Smart World
- Giải sgk Tiếng Anh 12 Friends Global
- Lớp 12 Kết nối tri thức
- Soạn văn 12 (hay nhất) - KNTT
- Soạn văn 12 (ngắn nhất) - KNTT
- Giải sgk Toán 12 - KNTT
- Giải sgk Vật Lí 12 - KNTT
- Giải sgk Hóa học 12 - KNTT
- Giải sgk Sinh học 12 - KNTT
- Giải sgk Lịch Sử 12 - KNTT
- Giải sgk Địa Lí 12 - KNTT
- Giải sgk Giáo dục KTPL 12 - KNTT
- Giải sgk Tin học 12 - KNTT
- Giải sgk Công nghệ 12 - KNTT
- Giải sgk Hoạt động trải nghiệm 12 - KNTT
- Giải sgk Giáo dục quốc phòng 12 - KNTT
- Giải sgk Âm nhạc 12 - KNTT
- Giải sgk Mĩ thuật 12 - KNTT
- Lớp 12 Chân trời sáng tạo
- Soạn văn 12 (hay nhất) - CTST
- Soạn văn 12 (ngắn nhất) - CTST
- Giải sgk Toán 12 - CTST
- Giải sgk Vật Lí 12 - CTST
- Giải sgk Hóa học 12 - CTST
- Giải sgk Sinh học 12 - CTST
- Giải sgk Lịch Sử 12 - CTST
- Giải sgk Địa Lí 12 - CTST
- Giải sgk Giáo dục KTPL 12 - CTST
- Giải sgk Tin học 12 - CTST
- Giải sgk Hoạt động trải nghiệm 12 - CTST
- Giải sgk Âm nhạc 12 - CTST
- Lớp 12 Cánh diều
- Soạn văn 12 Cánh diều (hay nhất)
- Soạn văn 12 Cánh diều (ngắn nhất)
- Giải sgk Toán 12 Cánh diều
- Giải sgk Vật Lí 12 - Cánh diều
- Giải sgk Hóa học 12 - Cánh diều
- Giải sgk Sinh học 12 - Cánh diều
- Giải sgk Lịch Sử 12 - Cánh diều
- Giải sgk Địa Lí 12 - Cánh diều
- Giải sgk Giáo dục KTPL 12 - Cánh diều
- Giải sgk Tin học 12 - Cánh diều
- Giải sgk Công nghệ 12 - Cánh diều
- Giải sgk Hoạt động trải nghiệm 12 - Cánh diều
- Giải sgk Giáo dục quốc phòng 12 - Cánh diều
- Giải sgk Âm nhạc 12 - Cánh diều


Giải bài tập SGK & SBT
Tài liệu giáo viên
Sách
Khóa học
Thi online
Hỏi đáp

