Giải bài 23 trang 34 SGK Hình Học 12 nâng cao
Ôn tập chương 1
Bài 23 (trang 34 sgk Hình Học 12 nâng cao): Cho khối 12 mặt đều H có thể tích V và diện tích của mỗi mặt của nó bằng S. Khi đó tổng các khoảng cách từ một điểm bên trong cua H đến các mặt của nó là:
Lời giải:
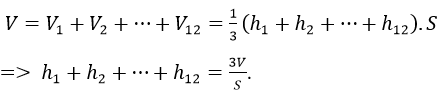
Chia khối 12 mặt đều H thành 12 hình chóp tam giác có đỉnh là M, bên trong H đáy là 1 mặt của H.
Gọi V1,V2,V3,…V12 thể tích của 12 hình chóp tam giác đều trên, h1,h2,…h12 là chiều cao của chúng (khoảng cách từ M đến các mặt).
Ta có:
Chọn C
Các bài giải bài tập Hình học 12 nâng cao Ôn tập chương 1 khác:
Câu hỏi tự kiểm tra
Bài 1 (trang 30 SGK Hình Học 12 nâng cao): Khối năng trụ n -giác có bao nhiêu đỉnh....
Bài 2 (trang 30 SGK Hình Học 12 nâng cao): Những khối đa diện đều nào có mặt là...
Bài 3 (trang 30 SGK Hình Học 12 nâng cao): Nếu biết thể tích của một khối chóp và diện tích...
Bài 4 (trang 30 SGK Hình Học 12 nâng cao): Nếu mỗi kích thước hình hộp chữ nhật được...
Bài 6 (trang 30 SGK Hình Học 12 nâng cao): Nếu tỉ số các cạnh tương ứng của hai tứ diện đồng dạng...
Bài tập
Bài 1 (trang 30 SGK Hình Học 12 nâng cao): Cho tứ diện ABCD có thể tích bằng V....
Bài 2 (trang 31 SGK Hình Học 12 nâng cao): Cho khối hộp ABCD.A’B’C’D’. Chứng minh rằng...
Bài 3 (trang 31 SGK Hình Học 12 nâng cao): Cho khối tứ diện ABCD, E và F lần lượt là ...
Bài 4 (trang 31 SGK Hình Học 12 nâng cao): Cho khối lăng trụ đứng ABC.A’B’C’ có diện tích...
Bài 5 (trang 31 SGK Hình Học 12 nâng cao): Cho khối lăng trụ đều ABC.A’B’C’ và M là...
Bài 6 (trang 31 SGK Hình Học 12 nâng cao): Cho khối chóp S.ABC có đường cao SA = a, ....
Câu hỏi trắc nghiệm
Bài 1 (trang 31 SGK Hình Học 12 nâng cao): Mỗi đỉnh của hình đa diện là đỉnh chung ....
Bài 2 (trang31 SGK Hình Học 12 nâng cao): Cho khối chóp có đáy là n – giác, trong các mệnh đề sau...
Bài 3 (trang 32 SGK Hình Học 12 nâng cao): Phép đối xứng qua mp (P) biến đường thẳng d...
Bài 4 (trang 32 SGK Hình Học 12 nâng cao): Cho hai đường thẳng d và d’ cắt nhau. Có bao nhiêu...
Bài 5 (trang 32 SGK Hình Học 12 nâng cao): Cho hai đường thẳng phân biệt d và d’ đồng phẳng....
Bài 6 (trang 32 SGK Hình Học 12 nâng cao): Hình chóp tứ giác đều có bao nhiêu mặt phẳng ....
Bài 7 (trang 32 SGK Hình Học 12 nâng cao): Một hình hộp đứng có đáy là hình thoi ....
Bài 8 (trang 32 SGK Hình Học 12 nâng cao): Cho phép vị tự tam O biến điểm A thành điểm B...
Bài 9 (trang 32 SGK Hình Học 12 nâng cao): Cho hai đường thẳng song song với d và d’ ...
Bài 10 (trang 32 SGK Hình Học 12 nâng cao): Khối 8 mặt đều thuộc loại:...
Bài 11 (trang 33 SGK Hình Học 12 nâng cao): Khối 20 mặt đều thuộc loại:...
Bài 12 (trang 33 SGK Hình Học 12 nâng cao): Nếu ba kích thước của một khối hộp chữ nhật....
Bài 13 (trang 33 SGK Hình Học 12 nâng cao): Tổng diện tích các mặt của một hình lập phương ...
Bài 14 (trang 33 SGK Hình Học 12 nâng cao): Ba kích thước của một hộp chữ nhật làm thành...
Bài 15 (trang 33 SGK Hình Học 12 nâng cao): Các đường chéo của các mặt của hình hộp chữ nhật...
Bài 16 (trang 33 SGK Hình Học 12 nâng cao): Một khối lăng trụ đứng tam giác có các cạnh đáy...
Bài 17 (trang 33 SGK Hình Học 12 nâng cao): Một khối lăng trụ tam giác có các cạnh đáy....
Bài 18 (trang 33 SGK Hình Học 12 nâng cao): Đáy của một hình hộp đứng là hình thoi cạnh a,....
Bài 19 (trang 34 SGK Hình Học 12 nâng cao): Khi độ dài của hình lập phương tăng thêm 2 cm...
Bài 20 (trang 34 SGK Hình Học 12 nâng cao): Cho một hình hộp với sáu mặt đều là hình thoi...
Bài 21 (trang 34 SGK Hình Học 12 nâng cao): Cho một hình lập phương có cạnh a, khi đó...
Bài 22 (trang 34 SGK Hình Học 12 nâng cao): Cho khối 12 mặt đều H có thể tích V và diện tích...
Bài 23 (trang 34 SGK Hình Học 12 nâng cao): Cho khối 12 mặt đều H có thể tích V và diện tích....
Bài 24 (trang 35 SGK Hình Học 12 nâng cao): Một khối lăng trụ có các cạnh đáy bằng....
Bài 25 (trang 35 SGK Hình Học 12 nâng cao): Đáy của một hình hộp là một hình thoi có...
Bài 26 (trang 35 SGK Hình Học 12 nâng cao): Với một tấm bìa hình vuông, người ta cắt bỏ ở...
Bài 27 (trang 35 SGK Hình Học 12 nâng cao): Cho một hình chóp tam giác đều có cạnh đáy...
Bài 28 (trang 35 SGK Hình Học 12 nâng cao): Một hình chóp tam giác đều có cạnh bên bằng b...
Bài 29 (trang 36 SGK Hình Học 12 nâng cao): Cho một hình chóp tứ giác đều H có....
Bài 30 (trang 36 SGK Hình Học 12 nâng cao): Một khối chóp tam giác có các cạnh đáy bằng ....
Bài 31 (trang 36 SGK Hình Học 12 nâng cao): Nếu một hình chóp đều có chiều cao và...
Bài 32 (trang 36 SGK Hình Học 12 nâng cao): Khi chiều cao của một hình chóp đều tăng lên n lần...
Đã có app VietJack trên điện thoại, giải bài tập SGK, SBT Soạn văn, Văn mẫu, Thi online, Bài giảng....miễn phí. Tải ngay ứng dụng trên Android và iOS.
Theo dõi chúng tôi miễn phí trên mạng xã hội facebook và youtube:Nếu thấy hay, hãy động viên và chia sẻ nhé! Các bình luận không phù hợp với nội quy bình luận trang web sẽ bị cấm bình luận vĩnh viễn.
- Giải Tiếng Anh 12 Global Success
- Giải sgk Tiếng Anh 12 Smart World
- Giải sgk Tiếng Anh 12 Friends Global
- Lớp 12 Kết nối tri thức
- Soạn văn 12 (hay nhất) - KNTT
- Soạn văn 12 (ngắn nhất) - KNTT
- Giải sgk Toán 12 - KNTT
- Giải sgk Vật Lí 12 - KNTT
- Giải sgk Hóa học 12 - KNTT
- Giải sgk Sinh học 12 - KNTT
- Giải sgk Lịch Sử 12 - KNTT
- Giải sgk Địa Lí 12 - KNTT
- Giải sgk Giáo dục KTPL 12 - KNTT
- Giải sgk Tin học 12 - KNTT
- Giải sgk Công nghệ 12 - KNTT
- Giải sgk Hoạt động trải nghiệm 12 - KNTT
- Giải sgk Giáo dục quốc phòng 12 - KNTT
- Giải sgk Âm nhạc 12 - KNTT
- Giải sgk Mĩ thuật 12 - KNTT
- Lớp 12 Chân trời sáng tạo
- Soạn văn 12 (hay nhất) - CTST
- Soạn văn 12 (ngắn nhất) - CTST
- Giải sgk Toán 12 - CTST
- Giải sgk Vật Lí 12 - CTST
- Giải sgk Hóa học 12 - CTST
- Giải sgk Sinh học 12 - CTST
- Giải sgk Lịch Sử 12 - CTST
- Giải sgk Địa Lí 12 - CTST
- Giải sgk Giáo dục KTPL 12 - CTST
- Giải sgk Tin học 12 - CTST
- Giải sgk Hoạt động trải nghiệm 12 - CTST
- Giải sgk Âm nhạc 12 - CTST
- Lớp 12 Cánh diều
- Soạn văn 12 Cánh diều (hay nhất)
- Soạn văn 12 Cánh diều (ngắn nhất)
- Giải sgk Toán 12 Cánh diều
- Giải sgk Vật Lí 12 - Cánh diều
- Giải sgk Hóa học 12 - Cánh diều
- Giải sgk Sinh học 12 - Cánh diều
- Giải sgk Lịch Sử 12 - Cánh diều
- Giải sgk Địa Lí 12 - Cánh diều
- Giải sgk Giáo dục KTPL 12 - Cánh diều
- Giải sgk Tin học 12 - Cánh diều
- Giải sgk Công nghệ 12 - Cánh diều
- Giải sgk Hoạt động trải nghiệm 12 - Cánh diều
- Giải sgk Giáo dục quốc phòng 12 - Cánh diều
- Giải sgk Âm nhạc 12 - Cánh diều


Giải bài tập SGK & SBT
Tài liệu giáo viên
Sách
Khóa học
Thi online
Hỏi đáp

