Giải Toán 9 VNEN Bài 1: Phương trình bậc nhất hai ẩn
A. Hoạt động khởi động
Đọc và tìm hiểu về phương trình bậc nhất hai ẩn
Một cửa hàng niêm yết giá bán một quyển vở kẻ ngang 120 trang là 12000 đồng, một chiếc bút bi là 2000 đồng. Mẹ cho Lan tiền để mua vở và bút, hỏi Lan có thể mua được bao nhiêu quyển vở và bao nhiêu chiếc bút loại trên nếu Lan dùng vừa hết 80 000 đồng?
Lời giải
Gọi số quyển vở Lan mua được là x (quyển) và số bút Lan mua được là y (chiếc) (x, y ∈ N*).
Số tiền Lan dùng để mua vở là: 12000x.
Số tiền Lan dùng để mua bút là: 2000y.
Theo đề bài Lan dùng hết số tiền là 80 000 đồng nên ta có:
12000x + 2000y = 80000, hay 6x + y = 40 => y = 40 – 6x
(Người ta nói hệ thức 6x + y = 40 lập một phương trình bậc nhất hai ẩn số x và y).
Ta tìm được x, y theo bảng sau:
B. Hoạt động hình thành kiến thức
1. Khái niệm phương trình bậc nhất hai ẩn
a) Đọc kĩ nội dung sau
Phương trình bậc nhất hai ẩn x và y là hệ thức có dạng ax + by = c, trong đó a, b và c là các số đã biết (a ≠ 0 hoặc b ≠ 0).
b) Ví dụ
Các phương trình sau là phương trình bậc nhất hai ẩn:
3x – 2y = 3; x + y = 1; -2x + 5y = 3;
0x – 3y = 5; 2x + 0y = 0,2.
c) Cho ví dụ về phương trình bậc nhất hai ẩn
+ Với ẩn là x và y: ……………………………………………………….
+ Với ẩn là t và z: ………………………………………………………..
Trả lời:
c) Các em tự lấy ví dụ rồi ghi vào vở, dưới đây là một số ví dụ:
• Với ẩn là x và y: 2x + 5y = 9; y - x = 3; ....
• Với ẩn là t và z: z = 7t; 3t + 2z = 10; ....
2. Nghiệm của phương trình bậc nhất hai ẩn
a) Thực hiện hoạt động sau
Thay giá trị x = 2 và y = 3 vào vế trái của các phương trình sau rồi so sánh giá trị của vế trái và vế phải của mỗi phương trình.
3x + 2y = 12 ; 5x – 4y = 4.
b) Đọc kĩ nội dung sau
Trong phương trình ax + by = c, nếu giá trị của vế trái tại x = x0 và y = y0 bằng vế phải thì cặp số (x0; y0) được gọi là một nghiệm của phương trình ax + by = c.
• x = 6 và y = 4 là một nghiệm của phương trình 6x + y = 40.
• x = 2 và y = 3 là một nghiệm của phương trình 3x + 2y = 12 nhưng không phải là nghiệm của phương trình 5x – 4y = 4.
c) Trả lời câu hỏi
Cho phương trình 2x + 5y = 7. Cặp số nào trong các cặp số (1; 1), (2; 1); (-1; 3) là nghiệm của phương trình đã cho?
Trả lời:
a) Thay x = 2 và y = 3 vào vế trái của phương trình 3x + 2y = 12, ta có:
3×x + 2×y = 3×2 + 2×3 = 12 = VP;
Thay x = 2 và y = 3 vào vế trái của phương trình 5x − 4y = 4, ta có:
5×x − 4×y = 5×2 − 4×3 = −2 ≠ VP.
c) Thay các cặp số vào phương trình 2x + 5y = 7, ta có:
• x = 1; y = 1: 2×1 + 5×1 = 7 = VP.
• x = 2; y = 1: 2×2 + 5×1 = 9 > VP.
• x = -1; y = 3: 2×(−1) + 5×3 = 14 > VP.
3. Tập nghiệm của phương trình bậc nhất hai ẩn
a) Cho phương trình 3x – y = 2 (*). Thực hiện các hoạt động sau:
- Điền số thích hợp vào bảng sau (theo mẫu):
- Dựa vào bảng, viết một số nghiệm của phương trình 3x – y = 2
- Biểu diễn các nghiệm đó trên mặt phẳng tọa độ Oxy (h.1).
- Dùng bút và thước kẻ nối các điểm biểu diễn các nghiệm đó và kéo dài.
- Điểm (1; 1) và (3; 7) có nằm trên đường vừa vẽ không?
- Nếu nhận xét về vị trí các điểm biểu diễn các nghiệm của phương trình (*) trên mặt phẳng tọa độ Oxy.
b) Thực hiện các hoạt động tương tự như trong mục 3a) đối với các phướng trình sau:
(1) 2x + y = 3
(2) x + 0y = 2
(3) 0x – y = 3
c) Đọc kĩ nội dung sau
Phương trình bậc nhất hai ẩn ax + by = c luôn luôn có vô số nghiệm. Tập nghiệm của phương trình được biểu diễn bởi đường thẳng ax + by = c.
d) Biểu diễn trên mặt phẳng tọa độ Oxy tập nghiệm của các phương trình x + y = 2; x = a; y = b (a, b là các số cho trước).
Trả lời:
a)
b)
(1)
Bảng số liệu:
(2)
Bảng số liệu:
(3) Bảng số liệu
d)
• x + y = 2
• x = a (a = 2)
• y = b (b = -3)
C. Hoạt động luyện tập
1. Cặp số nào sau đây là nghiệm của phương trình 2x + 3y = 7?
A. (-1; -2)
B. (2; -1)
C. (2; 1)
D. (1; 2)
Bài làm:
Thay lần lượt các cặp số vào phương trình 2x + 3y =7, ta có:
• A: 2×(−1) + 3×(−2) = −8 ≠ VP
• B: 2×(2) + 3×(−1) = 1 ≠ VP
• C: 2×(2) + 3×(1) = 7 = VP
• D: 2×(1) + 3×(2) = 8 ≠ VP
Vậy đáp án đúng là: C
2. Cho phương trình x + 2y = 3. Những cặp số nào trong các cặp số (1; 1); (-2; -1), (-1; 2) là nghiệm của phương trình đã cho?
Bài làm:
• Vì 1 + 2×1 = 3 = VP nên (1; 1) là nghiệm của phương trình.
• Vì (−2) + 2×(−1) = −4 ≠ VP nên (-2; -1) không là nghiệm của phương trình.
• Vì −1 + 2×2 = 3 = VP nên (-1; 2) là nghiệm của phương trình.
3. Biểu diễn trên mặt phẳng tọa độ tập nghiệm của mỗi phương trình sau:
a) 2x – y = 5
b) 3x – y = 2
c) 0x – 2y = 4
d) 3x – 0y = -6
Bài làm:
a) 2x − y = 5
b) 3x − y = 2
c) 0x − 2y = 4
d) 3x − 0y = − 6
4. Đoạn thẳng trong mỗi hình vẽ dưới đây (h.2) biểu diễn tập nghiệm của một phương trình bậc nhất hai ẩn. Hãy viết phương trình bậc nhất hai ẩn tương ứng với mỗi trường hợp.
Bài làm:
Ở hình 2a): 0x + y = 1.
Ở hình 2b): Phương trình có dạng ax + by = c;
Khi x = 0 thì y = 1,5 nên: b×1,5 = c
Khi x = 4 thì y = 0 nên a×4 = c ⇒ 4a = 1,5b ⇔
Vì a, b, c bất kì thỏa mãn các đẳng thức trên nên ta chọn a = 3, b = 8 ⇒ c = 12.
Vậy: 3x + 8y = 12;
Ở hình 2c): x + 0y = -2
5. Tìm tất cả các cặp số (x; y) thỏa mãn:
a) 2x + 3y = 2
b) 3x – 2y = 5
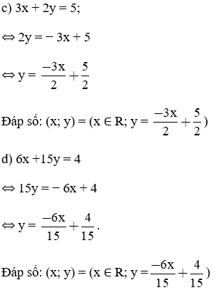
c) 3x + 2y = 5
d) 6x + 15y = -4
Bài làm:
D.E. Hoạt động vận dụng và tìm tòi mở rộng
Trong nhiều năm qua, mối quan hệ giữa nhịp đập tim tối đa được khuyến nghị và số tuổi của một người được mô tả theo công thức sau:
Nhịp đập tim tối đa được khuyến nghị = 220 – độ tuổi
Nghiên cứu gần đây cho thấy công thức này nên được sửa đổi đôi chút. Công thức mới như sau:
Nhịp đập tim tối đa được khuyến nghị = 208 – (0,7 x độ tuổi)
Câu hỏi 1
Một bài báo đã nhận định:”Kết quả của việc sử dụng công thức mới thay vì công thức cũ là nhịp đập tim tối đa trong mọt phút đối với người trẻ tuổi thì giảm nhẹ còn đối với người lớn tuổi thì tăng nhẹ.”
Từ độ tuổi nào trở đi thì nhịp đập tim tối đa được khuyến nghị tăng lên như một kết quả của việc giới thiệu công thức mới? Trình bày lời giải của em
Câu hỏi 2
Công thức nhịp đập tim tối đa được khuyến nghi = 209 – (0,7 x độ tuổi) cũng được sử dụng để xác định xem khi nào thì việc tập thể dục có hiệu quả nhất. Nghiên cứu đã chỉ ra rằng việc tập thể dục sẽ có hiệu quả nhất khi nhịp đập tim bằng 80% nhịp đập tim tối đa được khuyến nghị
Hãy viết ra một công thức biểu diễn bằng độ tuổi để tính nhịp đập tim có hiệu quả nhất cho việc tập thể dục.
(Trích tài liệu tập huấn về PISA của Bộ Giáo dục và Đào tạo, năm 2012)
Bài làm:
Gọi độ tuổi là x, nhịp đập tim tối đa được khuyến nghị là y.
Công thức cũ: y = 220 - x;
Công thức mới: y = 208 − 0,7×x;
• Câu hỏi 1:
Độ tuổi mà nhịp đập tim tối đa được khuyến nghị tăng lên như là kết quả của việc giới thiệu công thức mới chính là độ tuổi thỏa mãn cả công thức cũ và công thức mới:
220 - x = 208 - 0,7x ⇒ x = 40 (tuổi)
• Câu hỏi 2:
Gọi z là nhịp tim đập có hiệu quả nhất cho việc tập thể dục:
z = 0,8y = 0,8×(208 − 0,7×x) = 166,4 − 0,56×x
Xem thêm các bài Giải bài tập Toán lớp 9 chương trình VNEN hay khác:
- Bài 2: Hệ hai phương trình bậc nhất hai ẩn
- Bài 3: Giải hệ phương trình bằng phương pháp cộng đại số
- Bài 4: Minh họa hình học nghiệm của hệ phương trình bậc nhất hai ẩn
- Bài 5: Giải toán bằng cách lập hệ phương trình
Xem thêm các loạt bài Để học tốt Toán lớp 9 hay khác:
- Giải sách bài tập Toán 9
- Chuyên đề Toán 9 (có đáp án - cực hay)
- Lý thuyết & 500 Bài tập Toán 9 (có đáp án)
- Các dạng bài tập Toán 9 cực hay
- Đề thi Toán 9
- Đề thi vào 10 môn Toán
Tủ sách VIETJACK luyện thi vào 10 cho 2k11 (2026):
Đã có app VietJack trên điện thoại, giải bài tập SGK, SBT Soạn văn, Văn mẫu, Thi online, Bài giảng....miễn phí. Tải ngay ứng dụng trên Android và iOS.
Theo dõi chúng tôi miễn phí trên mạng xã hội facebook và youtube:Loạt bài Giải bài tập Toán lớp 9 VNEN của chúng tôi được biên soạn bám sát theo chương trình Hướng dẫn học Toán 9 chương trình mới VNEN Tập 1 & Tập 2.
Nếu thấy hay, hãy động viên và chia sẻ nhé! Các bình luận không phù hợp với nội quy bình luận trang web sẽ bị cấm bình luận vĩnh viễn.
- Giải Tiếng Anh 9 Global Success
- Giải sgk Tiếng Anh 9 Smart World
- Giải sgk Tiếng Anh 9 Friends plus
- Lớp 9 Kết nối tri thức
- Soạn văn 9 (hay nhất) - KNTT
- Soạn văn 9 (ngắn nhất) - KNTT
- Giải sgk Toán 9 - KNTT
- Giải sgk Khoa học tự nhiên 9 - KNTT
- Giải sgk Lịch Sử 9 - KNTT
- Giải sgk Địa Lí 9 - KNTT
- Giải sgk Giáo dục công dân 9 - KNTT
- Giải sgk Tin học 9 - KNTT
- Giải sgk Công nghệ 9 - KNTT
- Giải sgk Hoạt động trải nghiệm 9 - KNTT
- Giải sgk Âm nhạc 9 - KNTT
- Giải sgk Mĩ thuật 9 - KNTT
- Lớp 9 Chân trời sáng tạo
- Soạn văn 9 (hay nhất) - CTST
- Soạn văn 9 (ngắn nhất) - CTST
- Giải sgk Toán 9 - CTST
- Giải sgk Khoa học tự nhiên 9 - CTST
- Giải sgk Lịch Sử 9 - CTST
- Giải sgk Địa Lí 9 - CTST
- Giải sgk Giáo dục công dân 9 - CTST
- Giải sgk Tin học 9 - CTST
- Giải sgk Công nghệ 9 - CTST
- Giải sgk Hoạt động trải nghiệm 9 - CTST
- Giải sgk Âm nhạc 9 - CTST
- Giải sgk Mĩ thuật 9 - CTST
- Lớp 9 Cánh diều
- Soạn văn 9 Cánh diều (hay nhất)
- Soạn văn 9 Cánh diều (ngắn nhất)
- Giải sgk Toán 9 - Cánh diều
- Giải sgk Khoa học tự nhiên 9 - Cánh diều
- Giải sgk Lịch Sử 9 - Cánh diều
- Giải sgk Địa Lí 9 - Cánh diều
- Giải sgk Giáo dục công dân 9 - Cánh diều
- Giải sgk Tin học 9 - Cánh diều
- Giải sgk Công nghệ 9 - Cánh diều
- Giải sgk Hoạt động trải nghiệm 9 - Cánh diều
- Giải sgk Âm nhạc 9 - Cánh diều
- Giải sgk Mĩ thuật 9 - Cánh diều


Giải bài tập SGK & SBT
Tài liệu giáo viên
Sách
Khóa học
Thi online
Hỏi đáp

