Giải Toán 9 VNEN Bài 5: Luyện tập
C. Hoạt động luyện tập
1. Giải các phương trình sau:
a) 4x2 – 25 = 0
b) 2x2 + 9x = 0
c) x2 + x – 30 = 0
d) 2x2 – 3x – 5 = 0
Bài làm:
2. Đưa mỗi phương trình sau về dạng ax2 + bx = c = 0 rồi sử dụng công thức nghiệm giải các phương trình sau:
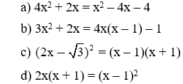
a) x2 + 5 = 3(x + 5)
b) (x – 2)(x + 2) = 3x
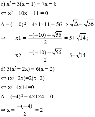
c) x2 + 3(x – 1) = 7x – 8
d) 3(x2 – 2x) = 6(x – 2).
Bài làm:
3. Xét phương trình bậc hai ax2 + bx = c = 0 (a ≠ 0), đặt b = 2b’.
+ Nếu
Phương trình bậc hai có hai nghiệm phân biệt:
Phương trình bậc hai có nghiệm kép
+ Nếu Phương trình đã cho vô nghiệm.
Kết luận
Đối với phương trình bậc hai ax2 + bx = c = 0 (a ≠ 0) và b = 2b’, ∆ = b'2 - ac :
+ Nếu ∆' > 0 thì phương trình bậc hai có hai nghiệm phân biệt:
+ Nếu ∆' = 0 thì phương trình bậc hai có nghiệm kép:
+ Nếu ∆' < 0 thì phương trình vô nghiệm.
Công thức viết trên đây được gọi là công thức nghiệm thu gọn.
Ví dụ. Ta giải phương trình 3x2 + 8x + 4 = 0 như sau:
a = 3 b’ = 4 c = 4
Nghiệm của phương trình là:
Hãy xác định a,b’, c rồi dùng công thức nghiệm thu gọn giải các phương trình sau:
a) 4x2 – 12x – 7 = 0
b) 3x2 – 28x + 9 = 0
c) 2x2 – 6 x + 7 = 0
d) x2 – 2 x + 7 = 0
Bài làm:
4. Giải mỗi phương trình sau rồi dùng máy tính để viết gần đúng nghiệm tìm được (làm tròn kết quả đến chữ số thập phân thứ hai):
Bài làm:
5. Giải các phương trình sau:
a) x2 = 12x + 288;
b) (Phương trình của An-Khô-va-ri-zmi (nhà tians học nổi tiếng người Trung Á, cha đẻ của môn Đại số)).
Bài làm:
6. Không giải phương trình, hãy cho biết mỗi phương trình sau có bao nhiêu nghiệm?
Gợi ý. Xét tích a.c.
Bài làm:
Nhận xét: Nếu một phương trình bậc 2 có tích a×c < 0 thì phương trình đó chắc chắn có hai nghiệm phân biệt.
a) 17x2 + 4x – 2017 = 0
Xét: a×c = 17×(−2017) < 0 ⇒ phương trình có 2 nghiệm phân biệt.
Xét: ⇒ phương trình có 2 nghiệm phân biệt.
Xét: ⇒ phương trình có 2 nghiệm phân biệt.
Xét: ⇒ phương trình có 2 nghiệm phân biệt.
7. Với giá trị nào của m thì mỗi phương trình sau có hai nghiệm phân biệt? Có nghiệm kép? Vô nghiêm.
a) x2 – 4x + m = 0
b) x2 – 2(m + 1)x + m2 + 2 = 0
Bài làm:
a) x2 – 4x + m = 0
Δ’ = (−2)2 − 1×m = −m + 4
• Phương trình có hai nghiệm phân biệt ⇔ Δ > 0 ⇔ −m + 4 > 0 ⇔ m < 4
• Phương trình có nghiệm kéo ⇔ Δ = 0 ⇔ −m + 4 = 0 ⇔ m = 4
• Phương trình hai nghiệm phân biệt ⇔ Δ < 0 ⇔ −m + 4 < 0 ⇔ m > 4
b) x2 – 2(m + 1)x + m2 + 2 = 0
Δ’ = [−(m + 1)]2 − 1×(m2 + 2) = 2m − 1
• Phương trình có hai nghiệm phân biệt ⇔ Δ > 0 ⇔ 2m − 1 > 0 ⇔ m >
• Phương trình có nghiệm kéo ⇔ Δ = 0 ⇔ 2m − 1 = 0 ⇔ m =
• Phương trình hai nghiệm phân biệt ⇔ Δ < 0 ⇔ −2m − 1 < 0 ⇔ m < −
D.Hoạt động vận dụng
1. Rada của một máy bay trực thăng theo dõi chuyển động của một ô tô trong 10 phút, phát hiện rằng vận tốc v của ô tô thay đổi phụ thuộc vào thời gian bởi công thức v = 3t2 – 10t + 135 (t tính bằng phút, v tính bằng km/h).
a) Tính vận tốc của ô tô khi t = 5 phút.
b) Tính giá trịc ủa t khi vận tốc ô tô bằng 120km/h (làm tròn kết quả đến chữ số thập phân thứ hai).
Bài làm:
a) Vận tốc của oto khi t = 5 phút là: v = 3×52 − 30×5 + 135 = 60 km/h
b) Thời gian t để vận tốc oto bằng 120 km/h là:
2. Mai đã đi bằng tàu hỏa từ Hà Nội vào Đà Nẵng với quãng đường di chuyển là 700km để thăm bố mẹ. Cô ấy đã quay về Hà Nội bằng ô tô với vận tốc trung bình lớn hơn vận tốc của tàu hỏa là 30km/h.
a) Cho biết vận tốc trung bình của ô tô là x km/h, tổng thời gian di chuyển trên tàu và ô tô cả lúc đi lẫn lúc về của Mai là 20 giờ. Hãy lập một phương trình theo x và chỉ ra rằng nó được thu gọn thành x2 – 100x + 1050 = 0
b) Giải phương trình x2 – 100x + 1050 = 0. Chỉ ra vận tốc trung bình của ô tô (làm tròn kết quả đến chữ số thập phân thứ hai).
Bài làm:
a) Gọi x là vận tốc trung bình của oto (x > 30, km/h)
⇒ Vận tốc trung bình của tàu hỏa là: x - 30 (km/h)
Vậy vận tốc trung bình của oto là khoảng 88,08 km/h.
E. Hoạt động tìm tòi mở rộng
1. Với giá trị nào của x, hai hàm số sau có giá trị bằng nhau?
Bài làm:
Vậy với thì hai hàm số có giá trị bằng nhau.
Xét phương trình hoành độ giao điểm:
Vậy với thì giá trị của hai hàm số bằng nhau
2. Tìm các giá trị của m để hai phương trình sau có ít nhất một nghiệm chung.
(1) x2 – mx – 3 = 0
(2) x2 – x – 3m = 0
Bài làm:
Gọi x1 là nghiệm chung của 2 phương trình.
Lấy (3) - (4) vế với vế:
Vậy với m ≠ 1 thì hai phương trình trên luôn có nghiệm chung x = 3.
3. Đố: Đố em biết vì sao khi a > 0 và phương trình ax2 + bx + c = 0 vô nghiệm thì ax2 + bx + c > 0 với mọi giá trị của x?
Bài làm:
Xét phương trình ax2 + bx + c = 0 có Δ = b2 − 4ac
Phương trình vô nghiệm khi Δ < 0 ⇔ b2 − 4ac < 0 ⇔ 4ac − b2 > 0 (1)
Ta có:
Xem thêm các bài Giải bài tập Toán lớp 9 chương trình VNEN hay khác:
- Bài 3: Phương trình bậc hai một ẩn
- Bài 4: Công thức nghiệm của phương trình bậc hai
- Bài 6: Hệ thức Vi-et và ứng dụng
- Bài 7: Luyện tập
Xem thêm các loạt bài Để học tốt Toán lớp 9 hay khác:
- Giải sách bài tập Toán 9
- Chuyên đề Toán 9 (có đáp án - cực hay)
- Lý thuyết & 500 Bài tập Toán 9 (có đáp án)
- Các dạng bài tập Toán 9 cực hay
- Đề thi Toán 9
- Đề thi vào 10 môn Toán
Tủ sách VIETJACK luyện thi vào 10 cho 2k11 (2026):
Đã có app VietJack trên điện thoại, giải bài tập SGK, SBT Soạn văn, Văn mẫu, Thi online, Bài giảng....miễn phí. Tải ngay ứng dụng trên Android và iOS.
Theo dõi chúng tôi miễn phí trên mạng xã hội facebook và youtube:Loạt bài Giải bài tập Toán lớp 9 VNEN của chúng tôi được biên soạn bám sát theo chương trình Hướng dẫn học Toán 9 chương trình mới VNEN Tập 1 & Tập 2.
Nếu thấy hay, hãy động viên và chia sẻ nhé! Các bình luận không phù hợp với nội quy bình luận trang web sẽ bị cấm bình luận vĩnh viễn.
- Giải Tiếng Anh 9 Global Success
- Giải sgk Tiếng Anh 9 Smart World
- Giải sgk Tiếng Anh 9 Friends plus
- Lớp 9 Kết nối tri thức
- Soạn văn 9 (hay nhất) - KNTT
- Soạn văn 9 (ngắn nhất) - KNTT
- Giải sgk Toán 9 - KNTT
- Giải sgk Khoa học tự nhiên 9 - KNTT
- Giải sgk Lịch Sử 9 - KNTT
- Giải sgk Địa Lí 9 - KNTT
- Giải sgk Giáo dục công dân 9 - KNTT
- Giải sgk Tin học 9 - KNTT
- Giải sgk Công nghệ 9 - KNTT
- Giải sgk Hoạt động trải nghiệm 9 - KNTT
- Giải sgk Âm nhạc 9 - KNTT
- Giải sgk Mĩ thuật 9 - KNTT
- Lớp 9 Chân trời sáng tạo
- Soạn văn 9 (hay nhất) - CTST
- Soạn văn 9 (ngắn nhất) - CTST
- Giải sgk Toán 9 - CTST
- Giải sgk Khoa học tự nhiên 9 - CTST
- Giải sgk Lịch Sử 9 - CTST
- Giải sgk Địa Lí 9 - CTST
- Giải sgk Giáo dục công dân 9 - CTST
- Giải sgk Tin học 9 - CTST
- Giải sgk Công nghệ 9 - CTST
- Giải sgk Hoạt động trải nghiệm 9 - CTST
- Giải sgk Âm nhạc 9 - CTST
- Giải sgk Mĩ thuật 9 - CTST
- Lớp 9 Cánh diều
- Soạn văn 9 Cánh diều (hay nhất)
- Soạn văn 9 Cánh diều (ngắn nhất)
- Giải sgk Toán 9 - Cánh diều
- Giải sgk Khoa học tự nhiên 9 - Cánh diều
- Giải sgk Lịch Sử 9 - Cánh diều
- Giải sgk Địa Lí 9 - Cánh diều
- Giải sgk Giáo dục công dân 9 - Cánh diều
- Giải sgk Tin học 9 - Cánh diều
- Giải sgk Công nghệ 9 - Cánh diều
- Giải sgk Hoạt động trải nghiệm 9 - Cánh diều
- Giải sgk Âm nhạc 9 - Cánh diều
- Giải sgk Mĩ thuật 9 - Cánh diều


Giải bài tập SGK & SBT
Tài liệu giáo viên
Sách
Khóa học
Thi online
Hỏi đáp

