Giải Toán 9 VNEN Bài 4: Luyện tập Hình trụ - Hình nón - Hình cầu
C. Hoạt động luyện tập
1. Một bạn hỏi, một số bạn trả lời sau đó đổi vai cho nhau
(1) Một hình trụ có bán kính đáy là r và chiều cao là h có diện tích xung quanh, diện tích toàn phần và thể tích được tính theo công thức nào?
(2) Một hình nón có bán kính đáy r và chiều cao h có thể tính được theo công thức nào?
(3) Một hình nón cụt có hai bán kính đáy là r1, r2 và chiều cao h có thể tích được tính theo công thức nào?
(4) Một hình nón cụt có hai bán kính đáy là r1, r2 và đường sinh l có diện tích xung quanh được xác định theo công thức nào?
(5) Một hình cầu bán kính r có diện tích mặt cầu và thể tích hình cầu được tính theo công thức nào?
Bài làm:
(1) Một hình trụ có bán kính đáy là r và chiều cao là h có:
• Diện tích xung quanh: Sxq = 2π×r×h
• Diện tích toàn phần: Stp = 2π×r×h + 2π×r2
• Thể tích: V = π×r2×h
(2) Một hình nón có bán kính đáy r và chiều cao h có thể tích là:
(3) Một hình nón cụt có bán kính 2 đáy là r1 và r2 và chiều cao h có thể tích được tính theo công thức:
(4) Một hình nón cụt có hai bán kính đáy là r1 và r2 và đường sinh l có diện tích xung quanh xác định theo công thức: Sxq = π(r1 + r2)×l
(5) Một hình cầu bán kính r có:
2. Em hãy điền vào ô trống trong bảng sau
Bài làm:
3. Em hãy điền vào ô trống trong bảng sau
Bài làm:
4. Em hãy điền vào ô trống trong bảng sau
Bài làm:
5. Em hãy điền vào ô trống trong bảng sau
Bài làm:
D. Hoạt động vận dụng
1. Một bồn nước inox có dạng một hình trụ với chiều cao 1,75m và đường kính đáy là 0,6m. Bồn nước này đựng được bao nhiêu lít nước? (Bỏ qua bề dày của bồn nước).
Bài làm:
2. Một loại thép có dạng hình trụ, bán kính đáy là 1,5cm. Chiều dài của mỗi cây thép là 5m. Tính thể tích của một cây thép.
Bài làm:
Đổi 5m = 500 cm
Thể tích một cây thép là: V = π×r2×h = π×1,52×500 = 1125π cm3
3. Bề ngoài của một loại nón lá Việt Nam có dạng mặt xung quanh của một hình nón, bán kính đáy 35cm và đường sinh 60cm. Tính diện tích bề ngoài của nón lá.
Bài làm:
Diện tích bề ngoài của nón lá là:
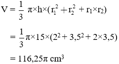
4. Một cái cốc có dạng hình nón cụt với đường cao 15cm, bán kính hai đáy lần lượt là 2cm và 3,5cm. Cốc nước đó đựng bao nhiêu xen-ti-mét khối nước? (Bỏ qua bề dày của cốc nước).
Bài làm:
Thể tích cốc nước là:
5. Một quả địa cầu có dạng hình cầu, đường kính 33cm. Tính diện tích của mặt quả địa cầu và thể tích của quả địa cầu.
Bài làm:
6. Một quả bóng nhựa mềm dành cho trẻ em có dạng hình cầu, đường kính 7cm. Tính diện tích bề mặt quả bóng và thể tích của quả bóng.
Bài làm:
E. Hoạt động tìm tòi mở rộng
1. Cho hình chữ nhật ABCD có AB = 2cm, AD = 3cm. Quay hình chữ nhật xung quanh cạnh AB một vòng ta được một hình trụ. Tính diện tích xung quanh, diện tích toàn phần và thể tích của hình nón.
Bài làm:
Đường cao của hình trụ là AB = 2cm, bán kính đáy là AD = 3cm.
Diện tích xung quanh: Sxq = 2π×r×h = 12π cm2
Diện tích toàn phần: Sxq = 2π×r×h + π×r2 = 21π cm2
Thể tích: V = π×r2×h = 18π cm3
2. Cho tam giác OAB vuông tại O, OA = 7cm, OB = 2cm. Giữ nguyên cạnh OA và quay hình tam giác xung quanh cạnh OA một vòng ta được một hình nón. Tính diện tích xung quanh, diện tích toàn phần và thể tích của hình nón.
Bài làm:
Bán kính đáy của hình nón là: OB = 2cm, chiều cao của hình nón là: OA = 7 cm.
⇒ Đường sinh của hình nón là:
3. Cho nửa hình tròn đường kính AB = 6cm. Khi quay nửa hình tròn xung quanh đường kính AB một vòng ta được một hình cầu. Tính diện tích của mặt cầu và thể tích của hình cầu.
Bài làm:
Xem thêm các bài Giải bài tập Toán lớp 9 chương trình VNEN hay khác:
- Bài 1: Hình trụ - Diện tích xung quanh và thể tích hình trụ
- Bài 2: Hình nón - Hình nón cụt - Diện tích xung quanh và thể tích hình nón, hình nón cụt
- Bài 3: Hình cầu - Diện tích mặt cầu và thể tích của hình cầu
- Bài 5: Ôn tập chương IV
Xem thêm các loạt bài Để học tốt Toán lớp 9 hay khác:
- Giải sách bài tập Toán 9
- Chuyên đề Toán 9 (có đáp án - cực hay)
- Lý thuyết & 500 Bài tập Toán 9 (có đáp án)
- Các dạng bài tập Toán 9 cực hay
- Đề thi Toán 9
- Đề thi vào 10 môn Toán
Tủ sách VIETJACK luyện thi vào 10 cho 2k11 (2026):
Đã có app VietJack trên điện thoại, giải bài tập SGK, SBT Soạn văn, Văn mẫu, Thi online, Bài giảng....miễn phí. Tải ngay ứng dụng trên Android và iOS.
Theo dõi chúng tôi miễn phí trên mạng xã hội facebook và youtube:Loạt bài Giải bài tập Toán lớp 9 VNEN của chúng tôi được biên soạn bám sát theo chương trình Hướng dẫn học Toán 9 chương trình mới VNEN Tập 1 & Tập 2.
Nếu thấy hay, hãy động viên và chia sẻ nhé! Các bình luận không phù hợp với nội quy bình luận trang web sẽ bị cấm bình luận vĩnh viễn.
- Giải Tiếng Anh 9 Global Success
- Giải sgk Tiếng Anh 9 Smart World
- Giải sgk Tiếng Anh 9 Friends plus
- Lớp 9 Kết nối tri thức
- Soạn văn 9 (hay nhất) - KNTT
- Soạn văn 9 (ngắn nhất) - KNTT
- Giải sgk Toán 9 - KNTT
- Giải sgk Khoa học tự nhiên 9 - KNTT
- Giải sgk Lịch Sử 9 - KNTT
- Giải sgk Địa Lí 9 - KNTT
- Giải sgk Giáo dục công dân 9 - KNTT
- Giải sgk Tin học 9 - KNTT
- Giải sgk Công nghệ 9 - KNTT
- Giải sgk Hoạt động trải nghiệm 9 - KNTT
- Giải sgk Âm nhạc 9 - KNTT
- Giải sgk Mĩ thuật 9 - KNTT
- Lớp 9 Chân trời sáng tạo
- Soạn văn 9 (hay nhất) - CTST
- Soạn văn 9 (ngắn nhất) - CTST
- Giải sgk Toán 9 - CTST
- Giải sgk Khoa học tự nhiên 9 - CTST
- Giải sgk Lịch Sử 9 - CTST
- Giải sgk Địa Lí 9 - CTST
- Giải sgk Giáo dục công dân 9 - CTST
- Giải sgk Tin học 9 - CTST
- Giải sgk Công nghệ 9 - CTST
- Giải sgk Hoạt động trải nghiệm 9 - CTST
- Giải sgk Âm nhạc 9 - CTST
- Giải sgk Mĩ thuật 9 - CTST
- Lớp 9 Cánh diều
- Soạn văn 9 Cánh diều (hay nhất)
- Soạn văn 9 Cánh diều (ngắn nhất)
- Giải sgk Toán 9 - Cánh diều
- Giải sgk Khoa học tự nhiên 9 - Cánh diều
- Giải sgk Lịch Sử 9 - Cánh diều
- Giải sgk Địa Lí 9 - Cánh diều
- Giải sgk Giáo dục công dân 9 - Cánh diều
- Giải sgk Tin học 9 - Cánh diều
- Giải sgk Công nghệ 9 - Cánh diều
- Giải sgk Hoạt động trải nghiệm 9 - Cánh diều
- Giải sgk Âm nhạc 9 - Cánh diều
- Giải sgk Mĩ thuật 9 - Cánh diều


Giải bài tập SGK & SBT
Tài liệu giáo viên
Sách
Khóa học
Thi online
Hỏi đáp

