Giải Toán 9 VNEN Bài 6: Ôn tập chương 3
C. Hoạt động luyện tập
I. Em trả lời các câu hỏi sau để hệ thống kiến thức cơ bản
1) Nêu dạng tổng quát của một phương trình bậc nhất hai ẩn. Cho ví dụ.
Bài làm:
Dạng tổng quát của phương trình bậc nhất 2 ẩn: ax + by = c.
Ví dụ: 3x -y = 5; 2x + 7y = 0; 0x - 3y = 9
2) Thế nào là nghiệm của một phương trình bậc nhất hai ẩn. Cho ví dụ.
Bài làm:
Nghiệm của phương trình bậc nhất hai ẩn là cặp số (x0 ; y0) sao cho vế trái của phương trình bằng vế phải của nó.
Ví dụ: (2; 1) là một nghiệm của phương trình: 2x + y = 5
3) Trong mặt phẳng tọa độ Oxy, tập nghiệm của phương trình ax + by = c là gì?
Bài làm:
Trong mặt phẳng tọa độ Oxy, tập nghiệm của phương trình Oxy là đường thẳng ax + by = c.
4) Nêu dạng tổng quát của một hệ hai phương trình bậc nhất hai ẩn. Cho ví dụ.
Bài làm:
Dạng tổng quát của hệ phương trình bậc nhất hai ẩn là:
Ví dụ:
5) Trình bày cách giải hệ hai phương trình bậc nhất hai ẩn bằng phương pháp thế, phương pháp cộng đại số.
Bài làm:
• Phương pháp thế:
Bước 1: Dùng quy tắc thế biến đổi hệ phương trình đã cho để được một hệ phương trình mới, trong đó có một phương trình một ẩn.
Bước 2: Giải phương trình một ẩn vừa có, rồi suy ra nghiệm của hệ đã cho.
• Phương pháp cộng đại số
Bước 1: Nhân hai vế của mỗi phương trình với một số thích hợp (nếu cần) để các hệ số của một ẩn nào đó trong hai phương trình của hệ bằng nhau hoặc đối nhau.
Bước 2: Cộng (trừ) vế với vế của hai phương trình để tạo được hệ phương trình trong đó có một phương trình mà hệ số của một trong hai ẩn bằng 0 (tức là phương trình 1 ẩn).
Bước 3: Giải phương trình một ẩn vừa thu được rồi suy ra nghiệm của hệ phương trình đã cho.
6) Nêu các bước giải bài toán bằng cách lập hệ phương trình.
Bài làm:
Các bước giải bài toán bằng cách lập hệ phương trình là:
Bước 1: Lập phương trình:
• Chọn hai ẩn số và đặt điều kiện thích hợp cho ẩn số.
• Biểu diễn các đại lượng chưa biết theo hai ẩn và các đại lượng đã biết.
• Lập hệ phương trình biểu thị mối quan hệ giữa các đại lượng.
Bước 2: Giải hệ phương trình
Bước 3: Trả lời: Kiểm tra xem trong các nghiệm của hệ phương trình, nghiệm nào thỏa mãn điều kiện của ẩn, nghiệm nào không và kết luận.
II. Bài tập trắc nghiệm khách quan
Khoanh vào chữ đặt trước câu trả lời đúng trong câu sau
1. Phương trình nào sau đây không là phương trình bậc nhất hai ẩn?
Bài làm:
Đáp án: D
2. là nghiệm của phương trình:
A. 2x + y = 1
B. x + 2y = -21
C. x + 2y = 2
D. 2x + y = 2
Bài làm:
Đáp án: C
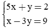
3. Cắp số nào sau đây là nghiệm của hệ phương trình ?
A. (-2; -1)
B. (-1; -2)
C. (2; -1)
D. (1;-2)
Bài làm:
4. Cho hệ phương trình . Tìm giá trị của a, b để hệ phương trình có nghiệm là (2; 1)
A. a = 1; b = -1
B. a = -1; b = -1
C. a = 1; b = 1
D. a = -1; b = 1
Bài làm:
Để hệ có nghiệm (x; y) = (2; 1) thì cặp giá trị này phải thỏa mãn hệ. Thay giá trị x, y vào hệ phương trình, ta được
5. Tọa độ giao điểm của hai đường thẳng y = x – 1 và y = -x + 2 là:
Bài làm:
Phương trình hoành độ giao điểm:
Thay x vào phương trình
Đáp án: A
6. Xác định m để hệ phương trình vô nghiêm.
Bài làm:
Để hệ vô nghiệm thì phương trình thứ 2 phải vô nghiệm hay m = -2
Đáp án: C
7. Nối mỗi hệ phương trình với nghiệm của nó.
Bài làm:
Các em giải các hệ phương trình trên rồi so sánh với kết quả bên dưới:
A - 3
B - 1
C - 4
D - 2
II. Bài tập tự luận
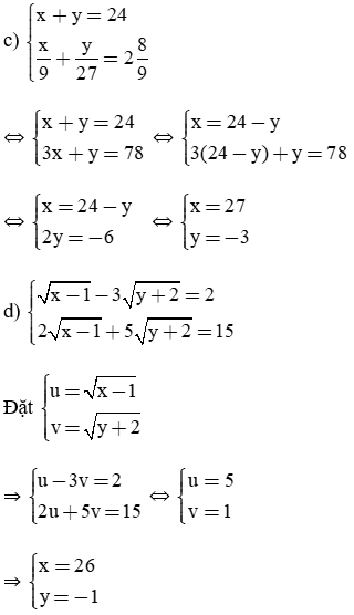
1. Giải các hệ phương trình sau:
Bài làm:
2. Giải các hệ phương trình sau:
Bài làm:
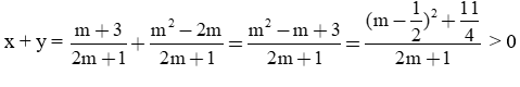
3. Cho hệ phương trình
a) Giải hệ phương trình khi m =
b) Tìm giá trị của m để hệ phương trình có nghiệm duy nhất thỏa mãn: x+ y > 0
b) Tìm giá trị của m để hệ phương trình có nghiệm duy nhất thỏa mãn: x+ y > 0
Bài làm:
a) Thay m = vào hệ phương trình, ta được hệ phương trình sau:
Lại có:
với mọi
4. Hai công nhân cùng làm một công việc trong 4 ngày thì xong công việc. Nếu người thứ nhất làm một mình trong 9 ngày rồi người thứ hai đến làm tiếp trong 1 ngày nữa thì xong công việc. Hỏi mỗi người làm một mình thì bao lâu xong công việc?
Bài làm:
Trong một ngày, người thứ nhất làm một mình được x (phần công việc), người thứ 2 làm một mình được y (phần công việc) (0 < x, y < 1)
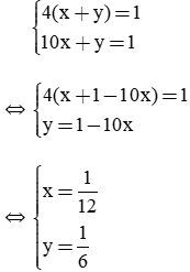
Hai công nhân cùng làm việc trong 4 ngày thì xong công việc nên: 4(x + y) = 1
Người thứ nhất làm một mình trong 9 ngày rồi người thứ 2 đến cùng làm tiếp trong 1 ngày nữa thì xong công việc nên: 10x + y = 1
Theo bài ra, ta có hệ phương trình sau:
Vậy Người thứ nhất làm 1 mình trong (ngày) thì hoàn thành công việc.
Người thứ hai làm 1 mình trong (ngày) thì hoàn thành công việc.
5. Tổng chữ số hàng chục và 2 lần chữ số hàng đơn vị của một số có hai chữ số bằng 18. Nếu đổi chỗ hai chữ số cho nhau thì được số mới lớn hơn số ban đầu là 54. Tìm số ban đầu.
Bài làm:
Gọi chữ số hàng chục là a, chữ số hàng đơn vị là b (a ≠ 0; a, b = 0, 1, 2, 3, 4, 5, 6, 7, 8, 9)
Số ban đầu là: 10a + b.
Tổng chữ số hàng chục và hai lần chữ số hàng đơn vị của một số có hai chữ số bằng 18 nên ta có phương trình sau:
a + 2b = 18
Đổi số hai chữ số cho nhau thì được số mới hơn số ban đầu là 54 nên ta có phương trình thứ 2:
(10b + a) − (10a + b) = 54 ⇔ 9b − 9a = 6 ⇔ −a + b = 6
Theo bài ra ta có hệ phương trình sau:
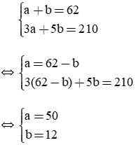
6. Một mảnh đất hình chữ nhật có chu vi 124m. Nếu tăng chiều dài thêm 5m và chiều rộng thêm 3m thì diện tích tăng thêm 225m2. Tính kích thước của mảnh đất đó.
Bài làm:
Gọi chiều dài hình chữ nhật là a, chiều rộng là b (m), (a, b > 0)
Chu vi hình chữ nhật là:
2(a + b) = 124 ⇔ a + b = 62
Tăng chiều dài thêm 5m và chiều rộng thêm 3m thì diện tích tăng thêm 225m2 nên:
(a + 5)(b + 3) − ab = 225 ⇔ 3a + 5b = 210
Ta có hệ phương trình:
Vậy chiều dài hình chữ nhật là 50m, chiều rộng là 12m.
D.E. Hoạt động vận dụng và tìm tòi mở rộng
1. Trong mặt phẳng tọa độ Oxy, ngũ giác ABCDE trong hình 4 được tạo ra bởi các đường thẳng:
(a) 3x + 2y = 15,
(b) 2x + 5y = 30,
(c) x – 2y = 14,
(d) 3x + y = -7
(e) x + 2y = -8
Tính diện tích của ngũ giác ABCDE (làm tròn kết quả đến chữ số thập phân thứ hai).
2. Em hãy tìm một số bài toán có thể giải bằng cách lập hệ hai phương trình bậc nhất hai ẩn số. Em tự sắp xếp các bài toán đó theo dạng (ví dụ dạng toán chuyển động đều, …) và giải chúng.
Xem thêm các bài Giải bài tập Toán lớp 9 chương trình VNEN hay khác:
- Bài 2: Hệ hai phương trình bậc nhất hai ẩn
- Bài 3: Giải hệ phương trình bằng phương pháp cộng đại số
- Bài 4: Minh họa hình học nghiệm của hệ phương trình bậc nhất hai ẩn
- Bài 5: Giải toán bằng cách lập hệ phương trình
Xem thêm các loạt bài Để học tốt Toán lớp 9 hay khác:
- Giải sách bài tập Toán 9
- Chuyên đề Toán 9 (có đáp án - cực hay)
- Lý thuyết & 500 Bài tập Toán 9 (có đáp án)
- Các dạng bài tập Toán 9 cực hay
- Đề thi Toán 9
- Đề thi vào 10 môn Toán
Tủ sách VIETJACK luyện thi vào 10 cho 2k11 (2026):
Đã có app VietJack trên điện thoại, giải bài tập SGK, SBT Soạn văn, Văn mẫu, Thi online, Bài giảng....miễn phí. Tải ngay ứng dụng trên Android và iOS.
Theo dõi chúng tôi miễn phí trên mạng xã hội facebook và youtube:Loạt bài Giải bài tập Toán lớp 9 VNEN của chúng tôi được biên soạn bám sát theo chương trình Hướng dẫn học Toán 9 chương trình mới VNEN Tập 1 & Tập 2.
Nếu thấy hay, hãy động viên và chia sẻ nhé! Các bình luận không phù hợp với nội quy bình luận trang web sẽ bị cấm bình luận vĩnh viễn.
- Giải Tiếng Anh 9 Global Success
- Giải sgk Tiếng Anh 9 Smart World
- Giải sgk Tiếng Anh 9 Friends plus
- Lớp 9 Kết nối tri thức
- Soạn văn 9 (hay nhất) - KNTT
- Soạn văn 9 (ngắn nhất) - KNTT
- Giải sgk Toán 9 - KNTT
- Giải sgk Khoa học tự nhiên 9 - KNTT
- Giải sgk Lịch Sử 9 - KNTT
- Giải sgk Địa Lí 9 - KNTT
- Giải sgk Giáo dục công dân 9 - KNTT
- Giải sgk Tin học 9 - KNTT
- Giải sgk Công nghệ 9 - KNTT
- Giải sgk Hoạt động trải nghiệm 9 - KNTT
- Giải sgk Âm nhạc 9 - KNTT
- Giải sgk Mĩ thuật 9 - KNTT
- Lớp 9 Chân trời sáng tạo
- Soạn văn 9 (hay nhất) - CTST
- Soạn văn 9 (ngắn nhất) - CTST
- Giải sgk Toán 9 - CTST
- Giải sgk Khoa học tự nhiên 9 - CTST
- Giải sgk Lịch Sử 9 - CTST
- Giải sgk Địa Lí 9 - CTST
- Giải sgk Giáo dục công dân 9 - CTST
- Giải sgk Tin học 9 - CTST
- Giải sgk Công nghệ 9 - CTST
- Giải sgk Hoạt động trải nghiệm 9 - CTST
- Giải sgk Âm nhạc 9 - CTST
- Giải sgk Mĩ thuật 9 - CTST
- Lớp 9 Cánh diều
- Soạn văn 9 Cánh diều (hay nhất)
- Soạn văn 9 Cánh diều (ngắn nhất)
- Giải sgk Toán 9 - Cánh diều
- Giải sgk Khoa học tự nhiên 9 - Cánh diều
- Giải sgk Lịch Sử 9 - Cánh diều
- Giải sgk Địa Lí 9 - Cánh diều
- Giải sgk Giáo dục công dân 9 - Cánh diều
- Giải sgk Tin học 9 - Cánh diều
- Giải sgk Công nghệ 9 - Cánh diều
- Giải sgk Hoạt động trải nghiệm 9 - Cánh diều
- Giải sgk Âm nhạc 9 - Cánh diều
- Giải sgk Mĩ thuật 9 - Cánh diều


Giải bài tập SGK & SBT
Tài liệu giáo viên
Sách
Khóa học
Thi online
Hỏi đáp

