Giải Toán 9 VNEN Bài 12: Diện tích hình tròn - Hình quạt tròn
A. Hoạt động khởi động
Diện tích hình tròn đã được nghiên cứu bởi người Hi Lạp cổ đại. Nhà thiên văn học, nhà toán học Eudoxus của Cnidus, khoảng thế kỉ thứ IV trước Công Nguyên đã thấy rằng diện tích hình tròn tỉ lệ thuận với bình phương bán kính của nó. Còn Archimedes sử dụng các công cụ của hình học Euclide thấy rằng: Diện tích một hình là tương đương với một tam giác vuông với một cạnh góc vuông bằng chu vi hình tròn và cạnh góc vuông kia bằng bán kính của hình tròn đó (h.129).
Người ta cũng biết rằng: Diện tích của một đa giác đều bằng một nửa chu vi của nó nhân với chiều dài đường trung đoạn của đa giác đều.
Khi số cạnh tăng lên thì đa giác có xu hướng trở thành một hình tròn (h.130) và các đường trung đoạn có xu hướng trở thành bán kính của đường tròn đó.
B. Hoạt động hình thành kiến thức
1. Thực hiện các hoạt động sau để hiểu về cách tính diện tích hình tròn
a) Đọc và làm theo hướng dẫn
Vẽ trên một miếng bài (mỏng) một đường tròn có bán kính R, rồi cắt rời ra để được một hình tròn.
Chia hình tròn đó thành nhiều phần bằng nhau (chẳng hạn 12 phần, hình 131), rồi cắt thành các phần riêng rẽ. Sau đó, xếp các phần nhỏ đó (h.132), ta sẽ được một hình gần giống như một hình bình hành.
Nếu ta xem đó như một hình bình hành thì diện tích của nó bằng tích của đáy nhân với chiều cao. Trong đó, đáy chính là nửa chu vi hình tròn (π.R), còn chiều cao là bán kính R của hình tròn.
Theo cách trên, khi càng chia nhỏ hình tròn thành nhiều phần bằng nhau và ghép lại ta được một hình càng gần giống với hình chữ nhật, mà một cạnh của nó là nửa độ dài đường tròn và cạnh kia là bán kính hình tròn (h.133).
Như thế, có thể xem diện tích hình tròn bán kính R xấp xỉ bằng πR2.
b) Đọc kĩ nội dung sau
Diện tích S của một hình tròn bán kính R được tính theo công thức S = πR2.
Chú ý: Với đường tròn, khi biết một trong hai yếu tố S hay R ta có thể tìm được yếu tố còn lại. Chẳng hạn, biết S ta có thể tính được
c) Luyện tập, ghi vào vở
Nếu một hình tròn có chu vi bằng 175,84cm thì diện tích của nó bằng bao nhiêu cm2? (Lấy giá trị của π là 3,14).
Hướng dẫn:
Theo đề bài thì bán kính hình tròn đó là:
Diện tích hình tròn đó bằng: S = πR2 => S = 28.28.3,14 = 2461,76(cm2)
2. Thực hiện các hoạt động sau để hiểu về hình quạt tròn
a) Đọc và làm theo hướng dẫn
- Vẽ một đường tròn tâm O, bán kính R. Trên (O) lấy hai điểm M và N. Khi đó, phần hình tròn giới hạn bởi cung tròn và hai bán kính OM, ON (h.134) được gọi là hình quạt tròn (hay gọi tắt là quạt tròn ).
Nếu ta cũng nói hình quạt tròn MON tâm O bán kính R, góc n° (hay gọi tắt là quạt tròn cung n°).
- Vẽ một đường tròn tâm O, bán kính R và hai đường kính AC, BD vuông góc với nhau (h.135). Tính theo R diện tích của quạt tròn COD.
Hướng dẫn: Dễ thấy diện tích của hình quạt tròn COD bằng diện tích hình tròn (O), hay diện tích của quạt tròn COD bằng
Ta cũng có thể tính theo cách khác: Nếu xem diện tích hình tròn tâm O, bán kính R như hình quạt tròn cung 360° thì hình quạt tròn cung 90° có diện tích là
- Nếu xem diện tích hình tròn tâm O, bán kính R như hình quạt tròn cung 360° thì:
+ Quạt tròn cung 1° có diện tích bằng bao nhiêu?
+ Quạt tròn cung n° có diện tích bằng bao nhiêu?
Hướng dẫn:
360° → πR2
n° → S
Quạt tròn cung n° có diện tích là
b) Đọc kĩ nội dung sau
Diện tích quạt tròn có bán kính R, cung n° được tính theo công thức
Chú ý: Cung n° có độ dài l thì diện tích quạt tròn cung n° có bán kính R được tính theo công thức
c) Luyện tập, ghi vào vở
Một quạt tròn cung 45° có bán kính 5cm thì diện tích của nó bằng bao nhiêu cm2?
Hướng dẫn: Theo công thức tính diện tích quạt tròn có bán kính R, cung n° ta được
C. Hoạt động luyện tập
1. Xem từng hình a), b), c) giưới hạn bởi các đường gạch chéo ở hình 136 và tính diện tích của một hình đó.
Hướng dẫn (h.136):
- Ở hình 136a), phần gạch chéo là một hình tròn có dường kính là 6cm. Do đó, diện tích của nó bằng ……….
- Ở hình 136b), phần gạch chéo gồm hai hình, một hình là một nửa hình tròn (đường kính 6cm) và hình kia gồm hai hình, mà mỗi hình là một hình vuông cạnh 3cm bỏ đi một phần tư đường tròn (bán kính 3cm). Do đó, diện tích của nó bằng ……………
- Ở hình 136c), phần gạch chéo gồm bốn hình, mà mỗi hình là một hình vuông cạnh 3cm bỏ đi một phần tư hình tròn (bán kính 3cm). Do đó, diện tích của nó bằng …………….
Bài làm:
• Ở hình 136a), phần gạch chéo là một hình tròn có đường kính là 6 cm. Do đó, diện tích của nó bằng πR2 = 32×π = 9π (cm2)
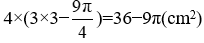
• Ở hình 136b), phần gạch chéo gồm hai hình, một hình là một nửa hình tròn (đường kính 6cm) và hình kia gồm hai hình, mà mỗi hình là một hình vuông cạnh 3 cm bỏ đi một phần tư đường tròn (bán kính 3cm). Do đó, diện tích của nó bằng
• Ở hình 136c), phần gạch chéo gồm bốn hình, mà mỗi hình là một hình vuông cạnh 3cm bỏ đi một phần tư hình tròn (bán kính 3cm). Do đó, diện tích của nó bằng
2. Tính diện tích phần tô đậm ở hình 137, giới hạn bởi nửa đường tròn đường kính là LM và hai nửa đường tròn có dường kính tương ứng LN = 8cm và NM = 4cm.
Hướng dẫn (h.137):
Gọi S, S1, S2 tương ứng là diện tích của các nửa đường tròn đường kính LM, LN và NM thì diện tích cần tìm bằng (S – S1 + S1).
Từ đó, ………………………..
Bài làm:
Độ dài đoạn LM là: LM = LN + NM = 8cm + 4cm = 12 cm
Gọi S; S1; S2 tương ứng là diện tích của các nửa đường tròn đường kính LM, LN, MN thì diện tích cần tìm là:
3. Tính diện tích của hình tròn, biết rằng nó ngoại tiếp một hình vuông có cạnh là 10cm.
Gợi ý: Nếu cạnh hình vuông là a, bán kính đường tròn ngoại tiếp của nó là R thì
Bài làm:
Gọi a là độ dài cạnh hình vuông.
Bán kính đường tròn ngoại tiếp hình vuông là:
Diện tích hình tròn là:
4. Điền vào mỗi ô trống trong bảng sau (làm tròn kết quả đến chữ số thập phân thứ nhất).
Bài làm:
Các em thực hiện phép tính rồi điền kết quả vào ô trống như bảng sau:
D.Hoạt động vận dụng
1. Trên một mảnh đất hình chữ nhật có chu vi là 448m và chiều rộng bằng chiều dài, người ta đào một cái giếng để tưới nước có dạng hình tròn, diện tích đất còn lại để trồng rau. Nếu miệng giếng đó có chu vi là 12,56m thì diện tích đất trồng rau là bao nhiêu mét vuông?
Bài làm:
Nửa chu vi là:
Gọi chiều dài khu đất là a (m), 0 < a < 224.
Theo bài ra, chiều rộng bằng 34 chiều dài, nên chiều rộng khu đất là:
Diện tích cả khu đất là:
Bán kính của giếng là:
Diện tích phần trồng rau là: S − S’ = 12288 − 12,56 = 12275,44(m2)
2. Nếu diện tích một bánh xe đạp có dạng hình tròn là 7234,56cm2 thì để đi được quãng đường dài 22 608m bánh xe đó phải lăn bao nhiêu vòng?
Bài làm:
Bán kính của bánh xe là:
Chu vi bánh xe là: C = 2πR = 2π×0,48 ≈ 3 (m).
Để đi được quãng đường dài 22 608 m, bánh xe đó phải lăn số vòng là:
3. Một sân thể thao có dạng hình chữ nhật ABCD, với AB = 10m và AD = 70m. Người ta lắp đặt hai dàn đèn chiếu dáng ở hai góc sân A, B, như hình 138. Biết rằng mỗi dàn đèn đó chiếu sáng cho mặt sân được một vùng có dạng hình tròn, bán kính R, mà gốc của cột dàn đèn đó được xem là tâm hình tròn này.
- Lần thứ nhất, người ta lắp đặt hai dàn đèn chiếu sáng ở A và B mà mỗi dàn chiếu sáng theo bán kính 30m.
- Lần thứ hai, người ta lắp đặt sao cho một dàn đèn ở A chiếu sáng theo bán kính 50m và dàn đèn ở B chiếu sáng theo bán kính 10m.
Theo em, với cách lắp đặt nào thì diện tích chiếu sáng trên mặt sân sẽ lớn hơn? Vì sao?
Bài làm:
• Lần thứ nhất:
Diện tích phần sân được chiếu sáng là:
• Lần thứ 2:
Diện tích phần sân được chiếu sáng là:
Do S’ > S nên diện tích chiếu sáng của cách lắp thứ hai nhiều hơn.
E. Hoạt động tìm tòi mở rộng
1. Tính vòng eo cho váy xòe
Trong kĩ năng cắt may váy xòe thì việc tính vòng eo cho váy là rất quan trọng. Nếu khong biết tính hoặc tính độ xòe cho váy không đúng kiểu mà bạn định may thì sản phẩm sẽ không đẹp như ý.
Để may một chiếc váy xòe đẹp, bạn cần phải biết cách tính chuẩn cho độ xòe bên dưới của váy tương ứng với các kiểu mà khách hàng yêu cầu. Sau đây là một số kí hiệu bạn cần nhớ để tính toán: r là bán kính đường tròn, còn π = 3,14.
Cách tính bán kính r khi thiết kế chân váy xòe (h.139)
Hi vọng rằng nội dung này sẽ phần nào giúp được bạn trong việc may vá theo sở thích.
2. Tìm hiểu thêm
Thử tìm hiểu và tính lượng giấy cần để làm một chiếc quạt giấy, như hình 140.
3. Trồng rau trên chiếc mâm xoay
Nông trại được thiết kế hình mái vòm, bên trong là chiếc mâm xoay khổng lồ, trồng đầy rau diếp xanh non (h.141). Chiếc mâm xoay khổng lồ này có đường kính lên tới 30m, được trang bị đường nước tự động phía dưới và hệ thống máy tính giúp duy trì độ ẩm, nhiệt độ lí tưởng cho cây phát triển bằng phương pháp thủy canh.
Chiếc mâm xoay đặc biệt này được đặt trong nhà vòm của nông trại Granpa ở thành phố Rikuzentakata, tỉnh Iwate, Nhật Bản. Nông trại có tất cả 8 nhà hình vòm, thuộc quyền sở hữu của Công ty Granpa, bắt đầu đi vào hoạt động từ tháng 9/2012.
Bên trong nhà vòm là một ban tròn hở ở phần tâm, nhìn giống như một chiếc mâm xoay, nơi những công nhân có thể bước vào để đặt cây giống vào các khe thiết kế sẵn. Bằng sự dịch chuyển xoay, mỗi ngày, hàng rau mới cấy lại được đẩy ra xa tâm một chút, nhường chỗ cho đợt cây giống mới. Quy trình từ cấy rau giống tới khi thu hoạch mất khoảng 20 ngày.
Theo em, cách làm này có lợi hơn cách khác ở điểm gì?
Xem thêm các bài Giải bài tập Toán lớp 9 chương trình VNEN hay khác:
- Bài 9: Luyện tập về cung chứa góc và tứ giác nội tiếp đường tròn
- Bài 10: Đường tròn ngoại tiếp - Đường tròn nội tiếp
- Bài 11: Độ dài đường tròn - cung tròn
- Bài 13: Ôn tập chương III - Góc với đường tròn
Xem thêm các loạt bài Để học tốt Toán lớp 9 hay khác:
- Giải sách bài tập Toán 9
- Chuyên đề Toán 9 (có đáp án - cực hay)
- Lý thuyết & 500 Bài tập Toán 9 (có đáp án)
- Các dạng bài tập Toán 9 cực hay
- Đề thi Toán 9
- Đề thi vào 10 môn Toán
Tủ sách VIETJACK luyện thi vào 10 cho 2k11 (2026):
Đã có app VietJack trên điện thoại, giải bài tập SGK, SBT Soạn văn, Văn mẫu, Thi online, Bài giảng....miễn phí. Tải ngay ứng dụng trên Android và iOS.
Theo dõi chúng tôi miễn phí trên mạng xã hội facebook và youtube:Loạt bài Giải bài tập Toán lớp 9 VNEN của chúng tôi được biên soạn bám sát theo chương trình Hướng dẫn học Toán 9 chương trình mới VNEN Tập 1 & Tập 2.
Nếu thấy hay, hãy động viên và chia sẻ nhé! Các bình luận không phù hợp với nội quy bình luận trang web sẽ bị cấm bình luận vĩnh viễn.
- Giải Tiếng Anh 9 Global Success
- Giải sgk Tiếng Anh 9 Smart World
- Giải sgk Tiếng Anh 9 Friends plus
- Lớp 9 Kết nối tri thức
- Soạn văn 9 (hay nhất) - KNTT
- Soạn văn 9 (ngắn nhất) - KNTT
- Giải sgk Toán 9 - KNTT
- Giải sgk Khoa học tự nhiên 9 - KNTT
- Giải sgk Lịch Sử 9 - KNTT
- Giải sgk Địa Lí 9 - KNTT
- Giải sgk Giáo dục công dân 9 - KNTT
- Giải sgk Tin học 9 - KNTT
- Giải sgk Công nghệ 9 - KNTT
- Giải sgk Hoạt động trải nghiệm 9 - KNTT
- Giải sgk Âm nhạc 9 - KNTT
- Giải sgk Mĩ thuật 9 - KNTT
- Lớp 9 Chân trời sáng tạo
- Soạn văn 9 (hay nhất) - CTST
- Soạn văn 9 (ngắn nhất) - CTST
- Giải sgk Toán 9 - CTST
- Giải sgk Khoa học tự nhiên 9 - CTST
- Giải sgk Lịch Sử 9 - CTST
- Giải sgk Địa Lí 9 - CTST
- Giải sgk Giáo dục công dân 9 - CTST
- Giải sgk Tin học 9 - CTST
- Giải sgk Công nghệ 9 - CTST
- Giải sgk Hoạt động trải nghiệm 9 - CTST
- Giải sgk Âm nhạc 9 - CTST
- Giải sgk Mĩ thuật 9 - CTST
- Lớp 9 Cánh diều
- Soạn văn 9 Cánh diều (hay nhất)
- Soạn văn 9 Cánh diều (ngắn nhất)
- Giải sgk Toán 9 - Cánh diều
- Giải sgk Khoa học tự nhiên 9 - Cánh diều
- Giải sgk Lịch Sử 9 - Cánh diều
- Giải sgk Địa Lí 9 - Cánh diều
- Giải sgk Giáo dục công dân 9 - Cánh diều
- Giải sgk Tin học 9 - Cánh diều
- Giải sgk Công nghệ 9 - Cánh diều
- Giải sgk Hoạt động trải nghiệm 9 - Cánh diều
- Giải sgk Âm nhạc 9 - Cánh diều
- Giải sgk Mĩ thuật 9 - Cánh diều


Giải bài tập SGK & SBT
Tài liệu giáo viên
Sách
Khóa học
Thi online
Hỏi đáp

