Giải Toán 9 VNEN Bài 8: Phương trình quy về phương trình bậc hai
A.B. Hoạt động khởi động và hình thành kiến thức
1. a) Thực hiện các hoạt động sau
Xét các phương trình
i) x4 – 5x2 – 6 = 0
ii) 8x4 – x2 – 7 = 0
iii) 4x4 + 7x2 – 2 = 0
- Các phương trình trên có đặc điểm gì chung? Dựa vào đặc điểm chung này, hãy viết dạng tổng quát cho các phương trình đó.
- Giải phương trình x4 – 5x2 - 6 = 0 bằng các cách có thể.
- Có thể đưa việc giải phương trình x4 – 5x2 - 6 = 0 về giải một phương trình bậc hai được không? Hãy đề xuất cách giải đó.
- Hãy thảo luận để đưa ra một phương án chung giải các phương trình dạng này.
b) Đọc kĩ nội dung sau
* Phương trình trùng phương là phương trình có dạng:
ax4 + bx2 + c = 0 (a ≠ 0) (1)
* Có thể đưa phương trình trùng phương về phương trình bậc hai bằng cách đặt ẩn phụ như sau:
Đặt x2 = t ≥ 0, phương trình (1) trở thành phương trình bậc hai
at2 + bt + c = 0
c) Giải các phương trình trùng phương sau (theo mẫu)
i) 8x4 – x2 – 7 = 0
ii) 4x4 + 7x2 – 2 = 0
Mẫu: Giải phương trình 4x4 – 29x2 + 25 = 0
Giải. Đặt x2 = t, t ≥ 0, ta có: 4t2 – 29t + 25 = 0.
Cả hai giá trị 6,25 và 1 đều thỏa mãn điều kiện t ≥ 0.
* Với t = t1 = 6,25, ta có x2 = 6,25. Suy ra x1 = -2,5 ; x2 = 2,5.
* Với t = t2 = 1, ta có x2 = 1. Suy ra x3 = -1; x4 = 1.
Vậy phương trình 4x4 – 29x2 + 25 = 0 có 4 nghiệm:
x1 = -2,5 ; x2 = 2,5 ; x3 = -1; x4 = 1.
Trả lời:
a)
• Đặc điểm chung: Đều là các phương trình bậc 4, các ẩn chỉ có số mũ bậc 2 và bậc 4. Dạng tổng quát cho các phương trình là: ax4 + bx2 + c = 0.
• Giải phương trình x4 − 5x2 − 6 = 0 bằng cách có thể.
• Có thể đưa việc giải phương trình x4 − 5x2 – 6 = 0 về giải một phương trình bậc hai được bằng cách đặt x2 = t (ĐK: t ≥ 0)
c)
i) 8x4 – x2 – 7 = 0
Đặt x2 = t, t ≥ 0, ta có: 8t2 − t − 7 = 0 (*)
Phương trình (*) có: a + b + c = 0 ⇒ Nghiệm của phương trình (*) là t1 = 1 > 0 (TM) < 0 (loại)
Với t = t1 = 1 ⇒ x2 = 1 ⇒ x = ±1
ii) 4x4 + 7x2 – 2 = 0
Đặt x2 = t, t ≥ 0, ta có: 4t2 + 7t – 2 = 0 (**)
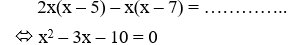
2. a) Viết tiếp vào chỗ chấm (…) để giải phương trình và trả lời các câu hỏi.
Điều kiện: x ≠ ……………
- Khử mẫu và biến đổi, ta được:
- Nghiệm của phương trình x2 – 3x – 10 = 0 là x1 = ……; x2 = ……
Hỏi x1 có thỏa mãn điều kiện nói trên không? Tương tự đối với x2?
Vậy nghiệm của phương trình đã cho là: …………..
b) Đọc kĩ nội dung sau
Giải phương trình chứa ẩn ở mẫu thức
- Bước 1: Tìm điều kiện xác định của phương trình ;
- Bước 2: Quy đồng mẫu thức hai vế rồi khử mẫu thức ;
- Bước 3: Giải phương trình vừa nhận được ;
- Bước 4: Trong các giá trị tìm được của ẩn, loại các giá trị không thỏa mãn điều kiện xác định, các giá trị thỏa mãn điều kiện xác định là nghiệm của phương trình đã cho
c) Giải phương trình:
Trả lời:
a) Điều kiện: x ≠ 0; x ≠ 5
Khử mẫu và biến đổi ta được: 2x(x − 5) − x(x − 7) = (x + 5) − (x − 5)
⇔ 2x2 − 10x – x2 + 7x = 10
⇔ x2 − 3x – 10 = 0
Nghiệm của phương trình: x2 − 3x – 10 = 0 là x1 = 5; x2 = −2
Hỏi x1 = 5 không thỏa mãn điều kiện, x2 = −2 có thỏa mãn điều kiện
Vậy, nghiệm của phương trình đã cho là: x = −2
c)
Điều kiện: x ≠ ±3
Khử mẫu và biến đổi ta được: x2 − 3x + 6 = x + 3 ⇔ x2 − 4x + 3 = 0 (2)
Phương trình bậc hai thu được có a + b + c = 0 nên, nghiệm của (2) là:
x1 = 1 (Thỏa mãn điều kiện)
hoặc x2 = 3 (không thỏa mãn điều kiện)
Vậy, phương trình ban đầu có nghiệm là: x = 1
3. Viết tiếp vào chỗ chấm (…) để giải phương trình tích (x – 5)(x2 + 3x + 2) = 0
(x – 5)(x2 + 3x + 2) = 0 ⇔ x – 5 = 0 hoặc x2 + 3x + 2 = 0
⇔ x = 5 hoặc ……………
Vậy nghiệm của phương trình đã cho là: ………………
b) Đọc kĩ nội dung sau
Để giải phương trình tích dạng A(x).B(x) = 0, ta giải các phương trình A(x) = 0; B(x) = 0. Tất cả các giá trị tìm được của ẩn đều là nghiệm của phương trình A(x).B(x) = 0.
c) Giải phương trình sau bằng cách đưa về phương trình tích
i) 3x3 – 5x2 + 2x = 0
ii) 2x3 – x2 + 2x – 1 = 0
Trả lời:
a)
(x − 5)(x2 + 3x + 2) = 0
⇔ x − 5 = 0 hoặc x2 + 3x + 2 = 0
⇔ x = 5 hoặc (x + 1)(x + 2) = 0
⇔ x = 5 hoặc x = −1 hoặc x = −2
c)
i) 3x3 − 5x2 + 2x = 0
⇔ x(x2 − 5x + 2) = 0
⇔ x = 0 hoặc x2 − 5x + 2 = 0 (*)
Giải (*): Δ = (−5)2 − 4×1×2 = 17 > 0
Vậy (*) có hai nghiệm phân biệt:
C. Hoạt động luyện tập
1. Giải các phương trình sau:
Bài làm:
2. Giải các phương trình sau:
Bài làm:
3. Giải các phương trình sau:
Bài làm:
Vậy (2) vô nghiệm.
Vậy, phương trình đã cho có nghiệm duy nhất: x = −3
4. Giải các phương trình sau bằng cách đưa về phương trình tích:
a) x3 – 5x2 – 2x + 10 = 0
b) x5 + 2x3 – x2 – 2 = 0
c) (2x2 – 5x + 1)2 = (x2 – 5x + 6)2
d) (2x2 – 3)2 – 4(x – 1)2 = 0
Bài làm:
D.Hoạt động vận dụng
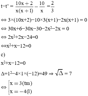
Nam và Bình được đại diện cho trường tham gia cuộc thi chạy ma-ra-tông hạng 10km. Học xuất phát cùng nhau và với cùng vận tốc là x km/h. Sau khi chạy được 2km, Nam tăng vận tốc của mình thêm 1km/h và chạy quãng đường còn lại với vận tốc không đổi là (x + 1) km/h. Bình vẫn duy trì vận tốc của mình trong cả quãng đường đua. Kết quả là Nam đã về đích sớm hơn Bình 40 phút.
a) Viết biểu thức biểu thị thời gian mà Nam hoàn thành quãng đường đua theo biến x.
b) Kết quả cuộc đua cho thấy Nam đã về đích sớm hơn Bình 40 phút. Lập phương trình ẩn x thể hiện giả thiết này và chỉ ra rằng nó có thể được thu gọn thành phương trình bậc hai x2 + x – 12 = 0.
c) Giải phương trình x2 + x – 12 = 0 để tìm vận tốc xuất phát của Nam và Bình.
Bài làm:
a) Thời gian Nam chạy với vận tốc x (km/h) là:
Thời gian Nam chạy với vận tốc (x + 1) km/h là:
Tổng thời gian Nam chạy hết đường đua là:
b) Thời gian Bình chạy hết quãng đường đua là:
Đổi: 40 phút = (h)
Nam về đích sớm hơn Bình giờ nên:
Vậy, vận tốc khi xuất phát của Nam và Bình là 3 km/h
E. Hoạt động tìm tòi mở rộng
Với nhiều phương trình ta có thể dùng phương pháp đặt ẩn phụ để đưa về một phương trình bậc hai và giải.
Ví dụ. Giải phương trình 3(x2 + 5x)2 – 2(x2 + 5x) – 1 = 0
Hướng dẫn. Đặt t = x2 + 5x, ta có phương trình 3t2 – 2t – 1 = 0
Giải phương trình 3t2 – 2t – 1 = 0 ta được t1 = 1 và t2 =
Thay mỗi giá trị của t vừa tìm được vào đẳng thức t = x2 + 5x, ta được một phương trình của ẩn x, Giải mỗi phương tình này sẽ tìm được giá trị của x.
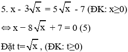
Giải mỗi phương trình sau bằng cách đặt ẩn phụ:
Bài làm:
Đặt t = 6x2 − 7x
⇒ Phương trình (1) trở thành: t2 − 2t – 3 = 0 (1')
Phương trình (1') có a−b+c=0 nên phương trình (1') có hai nghiệm là: t1=−1; t2=3
• TH1: Với t = t1 = −1
• TH2: Với t = t2 = 3
Đặt t = x2 − x
⇒ Phương trình (2) trở thành: t2 − 8t + 12 = 0 (2')
3.
⇔(x2 + 4x + 4)(x2 + 4x) = 5
Đặt t = x2 + 4x
⇒ Phương trình (3) trở thành: (t + 4)t = 5 ⇔ t2 + 4t − 5 = 0 (3')
Phương trình (3') có: a + b + c = 0 nên nghiệm của (3') là:
⇒ t1 = 1; t2 = −52
4. (x + 1)(x + 4)(x2 + 5x + 6) = 24 (4)
⇔(x2 + 5x + 4)(x2 + 5x + 6) = 24
Đặt t = x2 + 5x + 4
⇒ Phương trình (4) trở thành: t(t + 2) = 24 ⇔ t2 + 2t − 24 = 0 (4')
Δ’= 12 − 1×(−24) = 25 ⇒
⇒ t1 = 4; t2 = −6
⇒ Phương trình (5) trở thành: t2 − 8t + 7 = 0 (5')
Phương trình (5') có a + b + c = 0 nên nghiệm của (5') là:
⇒ t1 = 1 (tm); t2 = 7 (tm)
⇒ Phương trình (6) trở thành: t2 − 4t + 3 = 0 (6')
Phương trình (6') có a + b + c = 0 nên nghiệm của (6') là:
⇒ t1 = 3; t2 = 1
⇒ Phương trình (7) trở thành: t2 − 2t = 0 (7')
⇔ t(t − 2) = 0
⇔ t1 = 0 (tm); t2 = 2 (tm)
Xem thêm các bài Giải bài tập Toán lớp 9 chương trình VNEN hay khác:
- Bài 7: Luyện tập
- Bài 9: Giải toán bằng cách lập phương trình bậc hai một ẩn
- Bài 10: Luyện tập
- Bài 11: Ôn tập chương IV
Xem thêm các loạt bài Để học tốt Toán lớp 9 hay khác:
- Giải sách bài tập Toán 9
- Chuyên đề Toán 9 (có đáp án - cực hay)
- Lý thuyết & 500 Bài tập Toán 9 (có đáp án)
- Các dạng bài tập Toán 9 cực hay
- Đề thi Toán 9
- Đề thi vào 10 môn Toán
Tủ sách VIETJACK luyện thi vào 10 cho 2k11 (2026):
Đã có app VietJack trên điện thoại, giải bài tập SGK, SBT Soạn văn, Văn mẫu, Thi online, Bài giảng....miễn phí. Tải ngay ứng dụng trên Android và iOS.
Theo dõi chúng tôi miễn phí trên mạng xã hội facebook và youtube:Loạt bài Giải bài tập Toán lớp 9 VNEN của chúng tôi được biên soạn bám sát theo chương trình Hướng dẫn học Toán 9 chương trình mới VNEN Tập 1 & Tập 2.
Nếu thấy hay, hãy động viên và chia sẻ nhé! Các bình luận không phù hợp với nội quy bình luận trang web sẽ bị cấm bình luận vĩnh viễn.
- Giải Tiếng Anh 9 Global Success
- Giải sgk Tiếng Anh 9 Smart World
- Giải sgk Tiếng Anh 9 Friends plus
- Lớp 9 Kết nối tri thức
- Soạn văn 9 (hay nhất) - KNTT
- Soạn văn 9 (ngắn nhất) - KNTT
- Giải sgk Toán 9 - KNTT
- Giải sgk Khoa học tự nhiên 9 - KNTT
- Giải sgk Lịch Sử 9 - KNTT
- Giải sgk Địa Lí 9 - KNTT
- Giải sgk Giáo dục công dân 9 - KNTT
- Giải sgk Tin học 9 - KNTT
- Giải sgk Công nghệ 9 - KNTT
- Giải sgk Hoạt động trải nghiệm 9 - KNTT
- Giải sgk Âm nhạc 9 - KNTT
- Giải sgk Mĩ thuật 9 - KNTT
- Lớp 9 Chân trời sáng tạo
- Soạn văn 9 (hay nhất) - CTST
- Soạn văn 9 (ngắn nhất) - CTST
- Giải sgk Toán 9 - CTST
- Giải sgk Khoa học tự nhiên 9 - CTST
- Giải sgk Lịch Sử 9 - CTST
- Giải sgk Địa Lí 9 - CTST
- Giải sgk Giáo dục công dân 9 - CTST
- Giải sgk Tin học 9 - CTST
- Giải sgk Công nghệ 9 - CTST
- Giải sgk Hoạt động trải nghiệm 9 - CTST
- Giải sgk Âm nhạc 9 - CTST
- Giải sgk Mĩ thuật 9 - CTST
- Lớp 9 Cánh diều
- Soạn văn 9 Cánh diều (hay nhất)
- Soạn văn 9 Cánh diều (ngắn nhất)
- Giải sgk Toán 9 - Cánh diều
- Giải sgk Khoa học tự nhiên 9 - Cánh diều
- Giải sgk Lịch Sử 9 - Cánh diều
- Giải sgk Địa Lí 9 - Cánh diều
- Giải sgk Giáo dục công dân 9 - Cánh diều
- Giải sgk Tin học 9 - Cánh diều
- Giải sgk Công nghệ 9 - Cánh diều
- Giải sgk Hoạt động trải nghiệm 9 - Cánh diều
- Giải sgk Âm nhạc 9 - Cánh diều
- Giải sgk Mĩ thuật 9 - Cánh diều


Giải bài tập SGK & SBT
Tài liệu giáo viên
Sách
Khóa học
Thi online
Hỏi đáp

