Giải Toán 9 VNEN Bài 3: Giải hệ phương trình bằng phương pháp cộng đại số
A. Hoạt động khởi động
1. Đọc và tìm hiểu cách giải hệ phương trình
- Do hệ số của ẩn y trong hai phương trình là đối nhau nên cộng vế với vế của hai phương trình ta được phương trình 6x = 18, suy ra x = 3.
- Thay x = 3 vào phương trình thứ nhất của hệ được 3 – 2y = 1 nên y = 1.
- Vậy hệ đã cho có nghiệm là (3; 1).
=> Cộng vế với vế của hai phương trình để được một phương trình một ẩn.
=> Giải phương trình vừa có, tìm được giá trị của một ẩn.
=> Thay giá trị của ẩn vừa tìm được vào một trong hai hai phương trình ban đầu để tìm ẩn còn lại.
Có thể trình bày cách giải hệ trên như sau:
2. Đọc cách giải hệ phương trình sau và giải thích cách làm để xuất hiện phương trình mới một ẩn.
Giải hệ phương trình
Lời giải.
Ta có:
B. Hoạt động hình thành kiến thức
1. Đọc kĩ nội dung sau
Tóm tắt cách giải hệ phương trình bằng phương pháp cộng đại số
1. Nhân hai vế của mỗi phương trình với một số thích hợp (nếu cần) để các hệ số của một ẩn nào đó trong hai phương trình của hệ bằng nhau hoặc đối nhau.
2. Cộng (trừ) vế với vế của hai phương trình để tạo được hệ phương trình trong đó có một phương trình mà hệ số của một trong hai ẩn bằng 0 (tức là phương trình một ẩn).
3. Giải phương trình một ẩn vừa thu được rồi suy ra nghiệm của hệ đã cho.
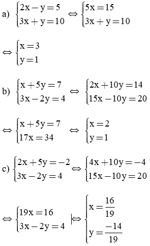
2. Giải các hệ phương trình sau
Trả lời:
C. Hoạt động luyện tập
1. Giải các hệ phương trình sau bằng phương pháp cộng đại số:
Bài làm:
2. Giải các hệ phương trình sau bằng phương pháp cộng đại số:
Bài làm:
3. Xác định các hệ số a, b biết hệ phương trình có nghiệm (1;-2).
Bài làm:
Ta có:
Do hệ phương trình có nghiệm (x; y) = (1; -2) nên: ⇔
D.E. Hoạt động vận dụng và tìm tòi mở rộng
1. Bằng cách đặt ẩn phụ, đưa các hệ phương trình sau về dạng hệ hai phương trình bậc nhất hai ẩn rồi giải.
Bài làm:
2. Xác định m để ba phương trình sau có cùng một nghiệm:
2x – 1 = -1; x + y = -2; y = -2x – m
Bài làm:
Xét hai phương trình:
Nghiệm của phương trình thứ nhất và phương trình thứ 2 là (x ; y) = (0,−2).
Vậy, để ba phương trình đã cho có cùng một nghiệm thì (x ; y) = (0,−2) phải là nghiệm chung của ba phương trình. Thay vào phương trình thứ 3, ta được:
−2 = −2×0 − m ⇔ m = 2.
Vậy, với m= 2 thì ba phương trình đã cho có cùng nghiệm (x ; y) = (0,−2)
3. Cho hệ phương trình (m là tham số)
a) Giải hệ phương trình khi m = -3
b) Với giá trị nào của tham số m thì hệ phương trình vô nghiệm?
Bài làm:
Để hệ vô nghiệm thì (m + 6)x = 9 phải vô nghiệm ⇒ m + 6 = 0 ⇔ m = −6.
Xem thêm các bài Giải bài tập Toán lớp 9 chương trình VNEN hay khác:
- Bài 2: Hệ hai phương trình bậc nhất hai ẩn
- Bài 4: Minh họa hình học nghiệm của hệ phương trình bậc nhất hai ẩn
- Bài 5: Giải toán bằng cách lập hệ phương trình
- Bài 6: Ôn tập chương III
Xem thêm các loạt bài Để học tốt Toán lớp 9 hay khác:
- Giải sách bài tập Toán 9
- Chuyên đề Toán 9 (có đáp án - cực hay)
- Lý thuyết & 500 Bài tập Toán 9 (có đáp án)
- Các dạng bài tập Toán 9 cực hay
- Đề thi Toán 9
- Đề thi vào 10 môn Toán
Tủ sách VIETJACK luyện thi vào 10 cho 2k11 (2026):
Đã có app VietJack trên điện thoại, giải bài tập SGK, SBT Soạn văn, Văn mẫu, Thi online, Bài giảng....miễn phí. Tải ngay ứng dụng trên Android và iOS.
Theo dõi chúng tôi miễn phí trên mạng xã hội facebook và youtube:Loạt bài Giải bài tập Toán lớp 9 VNEN của chúng tôi được biên soạn bám sát theo chương trình Hướng dẫn học Toán 9 chương trình mới VNEN Tập 1 & Tập 2.
Nếu thấy hay, hãy động viên và chia sẻ nhé! Các bình luận không phù hợp với nội quy bình luận trang web sẽ bị cấm bình luận vĩnh viễn.
- Giải Tiếng Anh 9 Global Success
- Giải sgk Tiếng Anh 9 Smart World
- Giải sgk Tiếng Anh 9 Friends plus
- Lớp 9 Kết nối tri thức
- Soạn văn 9 (hay nhất) - KNTT
- Soạn văn 9 (ngắn nhất) - KNTT
- Giải sgk Toán 9 - KNTT
- Giải sgk Khoa học tự nhiên 9 - KNTT
- Giải sgk Lịch Sử 9 - KNTT
- Giải sgk Địa Lí 9 - KNTT
- Giải sgk Giáo dục công dân 9 - KNTT
- Giải sgk Tin học 9 - KNTT
- Giải sgk Công nghệ 9 - KNTT
- Giải sgk Hoạt động trải nghiệm 9 - KNTT
- Giải sgk Âm nhạc 9 - KNTT
- Giải sgk Mĩ thuật 9 - KNTT
- Lớp 9 Chân trời sáng tạo
- Soạn văn 9 (hay nhất) - CTST
- Soạn văn 9 (ngắn nhất) - CTST
- Giải sgk Toán 9 - CTST
- Giải sgk Khoa học tự nhiên 9 - CTST
- Giải sgk Lịch Sử 9 - CTST
- Giải sgk Địa Lí 9 - CTST
- Giải sgk Giáo dục công dân 9 - CTST
- Giải sgk Tin học 9 - CTST
- Giải sgk Công nghệ 9 - CTST
- Giải sgk Hoạt động trải nghiệm 9 - CTST
- Giải sgk Âm nhạc 9 - CTST
- Giải sgk Mĩ thuật 9 - CTST
- Lớp 9 Cánh diều
- Soạn văn 9 Cánh diều (hay nhất)
- Soạn văn 9 Cánh diều (ngắn nhất)
- Giải sgk Toán 9 - Cánh diều
- Giải sgk Khoa học tự nhiên 9 - Cánh diều
- Giải sgk Lịch Sử 9 - Cánh diều
- Giải sgk Địa Lí 9 - Cánh diều
- Giải sgk Giáo dục công dân 9 - Cánh diều
- Giải sgk Tin học 9 - Cánh diều
- Giải sgk Công nghệ 9 - Cánh diều
- Giải sgk Hoạt động trải nghiệm 9 - Cánh diều
- Giải sgk Âm nhạc 9 - Cánh diều
- Giải sgk Mĩ thuật 9 - Cánh diều


Giải bài tập SGK & SBT
Tài liệu giáo viên
Sách
Khóa học
Thi online
Hỏi đáp

