100 bài tập trắc nghiệm Số phức có lời giải (nâng cao - phần 3)
Với 100 bài tập trắc nghiệm Số phức nâng cao có lời giải chi tiết sẽ giúp học sinh ôn tập, biết cách làm bài tập trắc nghiệm Số phức.
100 bài tập trắc nghiệm Số phức có lời giải (nâng cao - phần 3)
(199k) Học Toán 12 KNTTHọc Toán 12 CDHọc Toán 12 CTST
Bài 61:
Cho phương trình: ( z2-z) ( z+3) (z+ 2) =10 . Tính tổng tất cả các phần thực của các nghiệm phương trình trên..
A. -1 B. -2 C. -3 D. -4
Lời giải:
Phương trình đã cho tương đương với phương trình
Z( z+ 2) ( z-1) ( z+ 3)
Hay ( z2+ 2z) ( z2+ 2z-3) = 10
Đặt t= z2+ 2z. Khi đó phương trình trở thành: t2-2t-10= 0.
Tổng tất cả các phần thực của các nghiệm phương trình đã cho là :
-1+ ( -1) + (-1) + ( -1) = -4.
Chọn D.
Bài 62:
Cho A; B; C tương ứng là các điểm trong mặt phẳng phức biểu diễn các số phức
Z1=1+2i; z1=-2+5i ; z1=2+4i . Số phức z biểu diễn bởi điểm D sao cho tứ giác ABCD là hình bình hành là
A. -1+7i. B. 5+i. C. 1+5i. D.3+5i.
Lời giải:
Bài 63:
Cho 3 điểm A ; B ;C lần lượt biểu diễn cho các số phức z1 ; z1 ; z1 .Biết |z1|= |z2|=|z3| và z1+ z2= 0 . Khi đó tam giác ABC là tam giác gì?
A. Tam giác ABC đều. B. Tam giác ABC vuông tại C.
C. Tam giác ABC cân tại C. D. Tam giác ABC vuông cân tại C
Lời giải:
Vì z1+ z2= 0 nên z1 ; z2 là hai số phức đối nhau, do đó hai điểm A: B đối xứng qua gốc O ( tức O là trung điểm của đoạn thẳng AB).
Vậy tam giác ABC có độ dài đường trung tuyến bằng một nửa cạnh huyền nên vuông tại C .
Chọn B.
Bài 64:
Xét số phức z thỏa mãn
. Mệnh đề nào dưới đây đúng?
Lời giải:
Giả sử z=x+yi có điểm biểu diễn là M(x;y).
Số phức z-1có điểm biểu diễn A(x-1; y) và z-1 có điểm biểu diễn là B(x;y-1).
Tacó
Chọn D.
Bài 65:
Lời giải:
Bài 66:
Tập hợp các điểm trong mặt phẳng tọa độ biểu diễn số phức z thoả mãn điều kiện:
là hình gì?
A. Một đường thẳng. B. Một đường Parabol.
C. Một đường Elip. D. Một đường tròn.
Lời giải:
Quỹ tích các số phức z là một đường Parabol.
Chọn B.
Bài 67:
Cho số phức z= m-2+ ( m2-1) i với m là số thực. Gọi (C) là tập hợp các điểm biểu diễn số phức z trong mặt phẳng tọa độ. Tính diện tích hình phẳng giới hạn bởi (C) và Ox.
Lời giải:
Gọi M(x;y) là điểm biểu diễn số phức z.
Chọn B.
Bài 68:
Gọi M là điểm biểu diễn của số phức z thỏa mãn
. Tập hợp tất cả những điểm M như vậy là
A. một parabol. B. một đường thẳng. C. một đường tròn. D. một elip
Lời giải:
Gọi số phức z=x+yi có điểm biểu diễn là M(x;y) trên mặt phẳng tọa độ:
Theo đề bài ta có:
Bài 69:
Xác định tập hợp các điểm M trong mặt phẳng phức biểu diễn các số phức z thỏa mãn điều kiện
A. Là đường Hyperbol.y=-1/x
B. Là đường Hyperbol.y=1/x
C. Là đường tròn tâm 0 bán kính R=4.
D. Là hai đường Hyperbol y=-1/x và y=1/x
Lời giải:
Gọi M(x; y) là điểm biểu diễn số phức z=x+yi
Bài 70:
Có bao nhiêu số phức z thỏa mãn |z|= √(2 ) và z2 là số thuẩn ảo.
A. 2 B. 3 C. 4 D. 5
Lời giải:
Đặt z= x+ yi
Vậy các số phức cần tìm là: z= 1+ i; z= 1-i; z= -1 + i và z= -1- i ..
Chọn C.
Bài 71:
Tính tổng phần ảo các số phức z thỏa mãn |z|= 5 và phần thực của nó bằng 2 lần phần ảo.
A. 0 B. 1 C. 2 D.3
Lời giải:
Gọi số phức cần tìm là z= x= yi.
Ta có:
Bài 72:
Cho số phức z thỏa mãn ( 1- 3i) z là số thực và |z−-2+5i|=1. Hỏi có bao nhiêu số phức z thỏa mãn
A. 1 B. 2 C. 3 D. 4
Lời giải:
Gọi số phức cần tìm là z = a+ bi .
Ta có ( 1-3i) z= ( 1-3i) ( a+ bi)
= a+ 3b- 3ai + bi= a+ 3b+ ( b- 3a) i
+Do ( 1-3i) z là số thực nên b- 3a= 0 hay b= 3a
+ ta có |z−-2+5i|=1⇔|a-2+(-b+5)i|=1
Hay ( a-2) 2+ ( 5- 3a) 2= 1
Vậy có hai số phức z thỏa mãn là z= 2+ 6i và z= 7/5+ 21/5 i
Chọn B.
Bài 73:
Tìm số phức z biết |iz +1 | =√(2 ) và ( 1+ i) z+ 1 – 2i là số thuần ảo
A. z= 1 B. z= 1+ 2i C. z= - 1 và z= 1+ 2i D. Đáp án khác
Lời giải:
Bài 74:
. Biết z1; z1 là hai số phức thỏa điều kiện:
. Tính z1+ z1
Lời giải:
Gọi số phức z= a+ bi.
Từ giả thiết suy ra:
2( a- bi+ 1) + a+ bi-1= ( 1-i) ( a2+ b2)
Tương đương: ( 3a-1) – bi= a2+ b2- i( a2+ b2)
Bài 75:
Biết z1; z1 là số phức thỏa mãn
Tính z12; z22
A.-111/4+ i B. -111+ i C.-111+ 4i D. -44+ i
Lời giải:
Gọi z= a+ bi
Ta được: ( a+ bi+ 1) 2+ |a+b i-1| 2 + 10i = a- bi + 3
Tương đương: ( 2a 2-a-1) + ( 2ab+ 3b+ 10) i = 0
Bài 76:
Biết z1; z2 là các số phưc thỏa mãn điều kiện
Lời giải:
Gọi z= a+ bi thì z− = a- bi
Phương trình đã cho trở thành:
X2-y2+ 2xyi+ 2( x- yi) = 0
Suy ra: x2- y2+ 2x+ ( 2xy-2y) i=0
Bài 77:
Biết z1; z2 là số phức thỏa điều kiện
A. –i B. i C. 1+ i D. 0
Lời giải:
Bài 78:
Biết z1; z2; z3; z4 là các số phức thỏa điều kiện
Lời giải:
Bài 79:
Cho số phức z thỏa điều kiện Tìm khẳng định đúng
Lời giải:
Bài 80:
Gọi z là số phức khác 0 sao cho Tìm khẳng định đúng
Lời giải:
Bài 81:
Cho phương trình z2+ mz-6i=0 Để phương trình có tổng bình phương hai nghiệm bằng 5 thì m có dạng m= ± ( a+ bi) . Giá trị a+2b là:\
A.0 B. 1 C.- 2 D. - 1
Lời giải:
Gọi z1; z1 là hai nghiệm của phương trình đã cho
Theo bài cho, tổng bình phương hai nghiệm bằng 5. Ta có:
z12+ z22 = S2- 2P= m2+ 12i= 5
Suy ra: m2= 5- 12i
Do đó; m= ±( 3-2i)
Vậy a= 3 ; b= -2 và a+ 2b= -1
Chọn D.
Bài 82:
Cho số phức z thỏa mãn điều kiện 11z10+ 10iz9+ 10iz-11=0 . Tìm khẳng định đúng
Lời giải:
Bài 83:
Trong tập số phức, giá trị của m để phương trình bậc hai z2+ mz+ i= 0 có tổng bình phương hai nghiệm bằng -4i là:
A.±( 1-i) B.1-i C.±( 1+ i) D. -1-i
Lời giải:
Gọi z1; z2 là hai nghiệm của phương trình.
Bài 84:
Gọi z1 ; z2 là hai nghiệm của phương trình z2+ 2z+ 8= 0, trong đó z1 có phần ảo dương. Giá trị của số phức
A. 12+6i B. 10 C. 8 D.12- 6i
Lời giải:
Bài 85:
Gọi z1; z2; z3; z4 là bốn nghiệm của phương trình ( z-1) )( z+ 2) ( z2-2z+ 2) = 0 trên tập số phức, tính tổng:
Lời giải:
Không mất tính tổng quát ta gọi 4 nghiệm của phương trình là:
Z1= 1; z2= - 2; z3= 1+ i và z4= 1-i
Bài 86:
Cho z1; z2; z3; z4 là các nghiệm của phương trình: ( z2+1) ( z2-2z+ 2) = 0 . Tính s=z12014 +z22014+ z32014+ z42014
A.5 B.4 C.-2 D.3
Lời giải:
Bài 87:
Viết các số phức sau dưới dạng lượng giác:√2+1+i
Lời giải:
Bài 88:
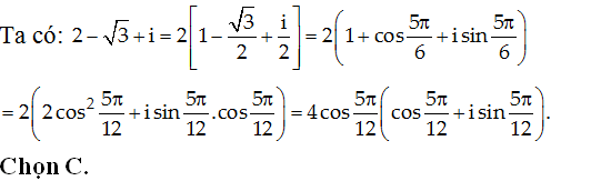
Viết các số phức sau dưới dạng lượng giác: 2- √3+i
Lời giải:
Bài 89:
Viết các số phức sau dưới dạng lượng giác : 1+ ( √2+1) i.
Lời giải:
Bài 90:
Tìm số nguyên dương n bé nhất để(√3+i/1-i) 3 là số thực.
A. 6 B. 12 C. 10 D. 24
Lời giải:
Bài 91:
Tính giá trị của biểu thức sau.
A. -52 B. -64 C. -512 D. -468
Lời giải:
Bài 92:
Tính giá trị của biểu thức sau.
A. -8 B. - 12 C. – 16 D. -18
Lời giải:
Bài 93:
Tính giá trị các biểu thức sau
A. – 6 B. – 9 C. -12 D. – 15
Lời giải:
Bài 94:
Biểu thức sau có modul bằng bao nhiêu
A. 1 B. 2 C. 3 D. 4 .
Lời giải:
Bài 95:
Tìm modul của biểu thức sau.
A. 2 B. 4 C. 1 D. 3
Lời giải:
Bài 96:
Cho z1; z2 là hai nghiệm phức của phương trình z2- 2z+ 4= 0. Tìm phần thực, phần ảo của số phức:w=(z1/z2)2013 lần luợt là bao nhiêu, biết z1 có phần ảo dương.
A. 0; 1 B. 1;2 C. 1; 0 D. tất cả sai
Lời giải:
Vậy phần thực bằng 1, phần ảo bằng 0.
Chọn C.
Bài 97:
Cho số phức z biết
Viết dạng lượng giác của z . Tìm tổng của phần thực và phần ảo của số phức w= ( 1+i) z5
A. 16 B. 19 C. 28 D. 32
Lời giải:
Ta có phương trình đã cho tương đương với phương trình:
Vậy số phức w= ( 1+i ) z5 có phần thực là 16+16√3 và phần ảo 16-16√3 là
Tổng của phần thực và phần ảo là 32.
Chọn D.
Bài 98:
Gọi z1; z2 là hai nghiệm phức của phương trình z2-z+ 1= 0 .\ Tìm phần thực, phần ảo của số phức w= z12014+z2 2014 lần lượt là?
A. 0; 1 B. 1; 0 C. -1; 0 D. 0; -1
Lời giải:
Phần thực của w là -1, phần ảo là 0.
Chọn C.
Bài 99:
Cho các số phức z thỏa mãn: ( 2-z) 5= z5. Hỏi phần thực của z là bao nhiêu?
A. 0 B.1 C. 2 D. Chưa kết luận được
Lời giải:
Vậy z luôn có phần thực là 1.
Chọn B.
Bài 100:
Cho phương trình 8z2-4( a+ 1) z+ 4a+1= 0 (1) với a là tham số. Tính tổng tất cả các giá trị của a để (1) có hai nghiệm z1 ; z2 thỏa mãn z1/ z2 là số ảo, trong đó z2 là số phức có phần ảo dương.
A. 1 B. 2 C. 3 D. 4
Lời giải:
Từ giả thiết suy ra z1; z2 không phải là số thực.
Do đó , hay 4( a+1)2-8( 4a+1) < 0
Hay a2-6a-1< 0
Tương đương: ( a+1) 2-( - ( a2-6a-1) ) = 0 hay a2-2a= 0
Vậy a= 0 hoặc a= 2.
Đối chiếu với điều kiện (*) ta có giá trị của a là a= 0 hoặc a= 2 .
Chọn B.
(199k) Học Toán 12 KNTTHọc Toán 12 CDHọc Toán 12 CTST
Xem thêm các dạng bài tập Toán lớp 12 có trong đề thi Tốt nghiệp THPT khác:
- 135 bài tập trắc nghiệm Số phức có lời giải (cơ bản - phần 1)
- 135 bài tập trắc nghiệm Số phức có lời giải (cơ bản - phần 2)
- 135 bài tập trắc nghiệm Số phức có lời giải (cơ bản - phần 3)
- 135 bài tập trắc nghiệm Số phức có lời giải (cơ bản - phần 4)
- 100 bài tập trắc nghiệm Số phức có lời giải (nâng cao - phần 1)
- 100 bài tập trắc nghiệm Số phức có lời giải (nâng cao - phần 2)
Đã có app VietJack trên điện thoại, giải bài tập SGK, SBT Soạn văn, Văn mẫu, Thi online, Bài giảng....miễn phí. Tải ngay ứng dụng trên Android và iOS.
Theo dõi chúng tôi miễn phí trên mạng xã hội facebook và youtube:Nếu thấy hay, hãy động viên và chia sẻ nhé! Các bình luận không phù hợp với nội quy bình luận trang web sẽ bị cấm bình luận vĩnh viễn.
- Giải Tiếng Anh 12 Global Success
- Giải sgk Tiếng Anh 12 Smart World
- Giải sgk Tiếng Anh 12 Friends Global
- Lớp 12 Kết nối tri thức
- Soạn văn 12 (hay nhất) - KNTT
- Soạn văn 12 (ngắn nhất) - KNTT
- Giải sgk Toán 12 - KNTT
- Giải sgk Vật Lí 12 - KNTT
- Giải sgk Hóa học 12 - KNTT
- Giải sgk Sinh học 12 - KNTT
- Giải sgk Lịch Sử 12 - KNTT
- Giải sgk Địa Lí 12 - KNTT
- Giải sgk Giáo dục KTPL 12 - KNTT
- Giải sgk Tin học 12 - KNTT
- Giải sgk Công nghệ 12 - KNTT
- Giải sgk Hoạt động trải nghiệm 12 - KNTT
- Giải sgk Giáo dục quốc phòng 12 - KNTT
- Giải sgk Âm nhạc 12 - KNTT
- Giải sgk Mĩ thuật 12 - KNTT
- Lớp 12 Chân trời sáng tạo
- Soạn văn 12 (hay nhất) - CTST
- Soạn văn 12 (ngắn nhất) - CTST
- Giải sgk Toán 12 - CTST
- Giải sgk Vật Lí 12 - CTST
- Giải sgk Hóa học 12 - CTST
- Giải sgk Sinh học 12 - CTST
- Giải sgk Lịch Sử 12 - CTST
- Giải sgk Địa Lí 12 - CTST
- Giải sgk Giáo dục KTPL 12 - CTST
- Giải sgk Tin học 12 - CTST
- Giải sgk Hoạt động trải nghiệm 12 - CTST
- Giải sgk Âm nhạc 12 - CTST
- Lớp 12 Cánh diều
- Soạn văn 12 Cánh diều (hay nhất)
- Soạn văn 12 Cánh diều (ngắn nhất)
- Giải sgk Toán 12 Cánh diều
- Giải sgk Vật Lí 12 - Cánh diều
- Giải sgk Hóa học 12 - Cánh diều
- Giải sgk Sinh học 12 - Cánh diều
- Giải sgk Lịch Sử 12 - Cánh diều
- Giải sgk Địa Lí 12 - Cánh diều
- Giải sgk Giáo dục KTPL 12 - Cánh diều
- Giải sgk Tin học 12 - Cánh diều
- Giải sgk Công nghệ 12 - Cánh diều
- Giải sgk Hoạt động trải nghiệm 12 - Cánh diều
- Giải sgk Giáo dục quốc phòng 12 - Cánh diều
- Giải sgk Âm nhạc 12 - Cánh diều


Giải bài tập SGK & SBT
Tài liệu giáo viên
Sách
Khóa học
Thi online
Hỏi đáp

