135 bài tập trắc nghiệm Số phức có lời giải (cơ bản - phần 4)
Với 135 bài tập trắc nghiệm Số phức có lời giải chi tiết sẽ giúp học sinh ôn tập, biết cách làm bài tập trắc nghiệm Số phức.
135 bài tập trắc nghiệm Số phức có lời giải (cơ bản - phần 4)
(199k) Học Toán 12 KNTTHọc Toán 12 CDHọc Toán 12 CTST
Bài 106:
Gọi z1; z2 là hai nghiệm phức của phương trình z2- 4z+ 9= 0; gọi M và N lần lượt là các điểm biểu diễn z1; z 2 trên mặt phẳng phức. Tính độ dài đoạn thẳng MN.
A. 1 B. 2 C. √5 D. 2√5
Lời giải:
Bài 107:
Tìm các số thực b,c để phương trình z2+ bz+ c= 0 nhận z= 1+ i làm một nghiệm.
A. b= -2; c= 3 B. b= -1; c= 2 C.b= -2; c= 2 D. b= 2; c= 2
Lời giải:
Theo giả thiết phương trình nhận z= 1+ i làm một nghiệm của phương trình: z2+ bz+ c= 0
Nên ( 1+ i) 2+ b( 1+i) + c= 0
Hay b+ c+ ( 2+ b) i= 0
Do đó; b+ c= 0 và 2 + b= 0
Ta tìm được : b= -2 và c= 2.
Chọn C.
Bài 108:
Viết số phức sau dưới dạng lượng giác: 1- i√3
Lời giải:
Bài 109:
Viết số phức sau dưới dạng lượng giác: √3-i√3
Lời giải:
Bài 110:
Viết số phức sau dưới dạng lượng giác: ( 1+ 3i) ( 1+2i)
Lời giải:
Bài 111:
Viết số phức sau dưới dạng lượng giác: 1/2+2i
Lời giải:
Bài 112:
Viết các số phức sau dưới dạng lượng giác:
Lời giải:
Bài 113:
Viết các số phức sau dưới dạng lượng giác
Lời giải:
Tính giá trị của số phức sau
A. 1 B. -1 C. i D. -i
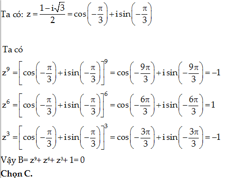
Bài 114:
Lời giải:
Bài 115:
Tính giá trị của số phức sau
Lời giải:
Bài 116:
Giá trị biểu thức sau
A. -1 B. 0 C.1 D. 3
Lời giải:
Bài 117:
Lời giải:
Chọn C.
Bài 118:
A. -2 B. -1 C. 0 D. 1
Lời giải:
Bài 119:
Trong C, nghiệm của phương trình z2= -5+ 12i là:
Lời giải:
Giả sử z=x+yi là một nghiệm của phương trình
Chọn A
Bài 120:
Trong C, phương trình z4-6z2+25=0 có nghiệm là:
Lời giải:
Chọn D.
Bài 121:
Biết z1;z2 là hai nghiệm của phương trình z2+√3 z+3=0. Khi đó giá trị của z1 1 +z2 2 là:
Lời giải:
Bài 122:
Gọi z1 ; z2 là hai nghiệm phức của phương trình z2- 4z+ 5= 0. Khi đó phần thực của z1 1 +z2 2 là: A. 5 B. 6 C. 4 D. 7Lời giải:
Bài 123:
Cho số phức z thỏa mãn z2- 6z+ 13= 0. Tính
Lời giải:
Theo giả thiết ta có : z2- 6z+ 13= 0 nên ( z-3) 2+ 4= 0 hay z= 3± 2i
+) Nếu z=3+2i:
Chọn B.
Bài 124:
Trong C, phương trình |z|+z=2+4i có nghiệm là:
A. z= -3+4i B.z=-2+4i
C. z=-4+4i D.z=-5+4i
Lời giải:
Bài 125:
Trong C, nghiệm của phương trình z2- 2z+ 1- 2i = 0 là
Lời giải:
Theo giả thiết ta có :
z2- 2z+ 1- 2i = 0 hay ( z- 1) 2= 2i
suy ra z-1= ±( 1+ i)
z= 2+i hoặc z= -i
Chọn D.
Bài 126:
Trong C, phương trình z3+ 1= 0 có nghiệm là
Lời giải:
Chọn đáp án B.
Bài 127:
Trong C, phương trình z4-1=0 có nghiệm là:
Lời giải:
Chọn D.
Bài 128:
Phương trình z3=8 có bao nhiêu nghiệm phức với phần ảo âm?
A. 1 B. 2 C. 3 D. 0
Lời giải:
Do đó phương trình chỉ có một nghiệm phức có phần ảo âm.
Chọn đáp án A.
Bài 129:
Trong C, phương trình z4+ 4= 0 có nghiệm là:
A. ±( 1-4i) l ; ±( 1+ 4i) B. ±( 1-2i) ; ±( 1+2i)
C. ±( 1-3i) ;±( 1+3i) D. ±( 1-i) ; ±( 1 + i)
Lời giải:
Chọn đáp án D.
Bài 130:
Tập nghiệm trong C của phương trình z3+ z2+ z+ 1= 0 là:
A.{ -1 ; -i ; i} B.{-1 ; 1 ; i} C. -1 ; i D. 1 ; -1 ; i ; -i
Lời giải:
Theo giả thiết ta có:
z3+ z2+ z+ 1= 0 hay z2( z+ 1) + ( z+ 1) =0
suy ra : ( z2+1) ( z+ 1) =0
tương đương : z= ± i hoặc z= -1
Chọn A
Bài 131:
Phương trình ( 2+ i) z2+ az+ b= 0 có hai nghiệm là 3+i và 1-2i. Khi đó a=?
A.-9-2i B. 15+5i C.9+2i D. 15-5i
Lời giải:
Theo Viet, ta có:
(3+i)+(1-2i)=4-i
Tổng S= z1+ z2= -a/(2+i)=4-1
Do đó; a= ( i-4) ( i+2) = -9-2i
Chọn A.
Bài 132:
Giá trị của các số thực b ; c để phương trình z2+ bz+c= 0 nhận số phức z=1+i làm một nghiệm là:
Lời giải:
Do z=1+i là một nghiệm của phương trình đã cho nên ta có:
Chọn C.
Bài 133:
Trên tập hợp số phức, phương trình z2+ 7z+ 15= 0 có hai nghiệm z1;z2. Giá trị biểu thức z1+ z2+ z1z2
A. –7 B. 8 C. 15 D. 22
Lời giải:
Chọn đáp án B.
Bài 134:
Trên tập số phức, cho phương trình sau : ( z+ i) 4+ 4z2= 0. Có bao nhiêu nhận xét đúng trong số các nhận xét sau?
1. Phương trình vô nghiệm trên trường số thực R.
2. Phương trình vô nghiệm trên trường số phức C
3. Phương trình không có nghiệm thuộc tập số thực.
4. Phương trình có bốn nghiệm thuộc tập số phức.
5. Phương trình chỉ có hai nghiệm là số phức.
6. Phương trình có hai nghiệm là số thực
A. 0 B. 1 C. 3 D. 2
Lời giải:
Do đó phương trình có 2 nghiệm thực và 4 nghiệm phức. Vậy nhận xét 4, 6 đúng.
Chọn D.
Bài 135:
Giả sử z1;z2 là hai nghiệm của phương trình z2- 2z+ 5= 0 và A, B là các điểm biểu diễn của〖 z〗1;z2 . Tọa độ trung điểm I của đoạn thẳng AB là:
Lời giải:
Theo giả thiết ta có:
z2- 2z+ 5= 0
suy ra: ( z-1) 2+ 4= 0 hay z= 1± 2i
Tọa độ hai điểm biểu diễn hai số phức z1và z2là A( 1;2) và B( 1; -2)
Do đó tọa độ trung điểm I của đoạn thẳng AB là I(1;0).
Chọn D.
(199k) Học Toán 12 KNTTHọc Toán 12 CDHọc Toán 12 CTST
Xem thêm các dạng bài tập Toán lớp 12 có trong đề thi Tốt nghiệp THPT khác:
- 135 bài tập trắc nghiệm Số phức có lời giải (cơ bản - phần 1)
- 135 bài tập trắc nghiệm Số phức có lời giải (cơ bản - phần 2)
- 135 bài tập trắc nghiệm Số phức có lời giải (cơ bản - phần 3)
- 100 bài tập trắc nghiệm Số phức có lời giải (nâng cao - phần 1)
- 100 bài tập trắc nghiệm Số phức có lời giải (nâng cao - phần 2)
- 100 bài tập trắc nghiệm Số phức có lời giải (nâng cao - phần 3)
Đã có app VietJack trên điện thoại, giải bài tập SGK, SBT Soạn văn, Văn mẫu, Thi online, Bài giảng....miễn phí. Tải ngay ứng dụng trên Android và iOS.
Theo dõi chúng tôi miễn phí trên mạng xã hội facebook và youtube:Nếu thấy hay, hãy động viên và chia sẻ nhé! Các bình luận không phù hợp với nội quy bình luận trang web sẽ bị cấm bình luận vĩnh viễn.
- Giải Tiếng Anh 12 Global Success
- Giải sgk Tiếng Anh 12 Smart World
- Giải sgk Tiếng Anh 12 Friends Global
- Lớp 12 Kết nối tri thức
- Soạn văn 12 (hay nhất) - KNTT
- Soạn văn 12 (ngắn nhất) - KNTT
- Giải sgk Toán 12 - KNTT
- Giải sgk Vật Lí 12 - KNTT
- Giải sgk Hóa học 12 - KNTT
- Giải sgk Sinh học 12 - KNTT
- Giải sgk Lịch Sử 12 - KNTT
- Giải sgk Địa Lí 12 - KNTT
- Giải sgk Giáo dục KTPL 12 - KNTT
- Giải sgk Tin học 12 - KNTT
- Giải sgk Công nghệ 12 - KNTT
- Giải sgk Hoạt động trải nghiệm 12 - KNTT
- Giải sgk Giáo dục quốc phòng 12 - KNTT
- Giải sgk Âm nhạc 12 - KNTT
- Giải sgk Mĩ thuật 12 - KNTT
- Lớp 12 Chân trời sáng tạo
- Soạn văn 12 (hay nhất) - CTST
- Soạn văn 12 (ngắn nhất) - CTST
- Giải sgk Toán 12 - CTST
- Giải sgk Vật Lí 12 - CTST
- Giải sgk Hóa học 12 - CTST
- Giải sgk Sinh học 12 - CTST
- Giải sgk Lịch Sử 12 - CTST
- Giải sgk Địa Lí 12 - CTST
- Giải sgk Giáo dục KTPL 12 - CTST
- Giải sgk Tin học 12 - CTST
- Giải sgk Hoạt động trải nghiệm 12 - CTST
- Giải sgk Âm nhạc 12 - CTST
- Lớp 12 Cánh diều
- Soạn văn 12 Cánh diều (hay nhất)
- Soạn văn 12 Cánh diều (ngắn nhất)
- Giải sgk Toán 12 Cánh diều
- Giải sgk Vật Lí 12 - Cánh diều
- Giải sgk Hóa học 12 - Cánh diều
- Giải sgk Sinh học 12 - Cánh diều
- Giải sgk Lịch Sử 12 - Cánh diều
- Giải sgk Địa Lí 12 - Cánh diều
- Giải sgk Giáo dục KTPL 12 - Cánh diều
- Giải sgk Tin học 12 - Cánh diều
- Giải sgk Công nghệ 12 - Cánh diều
- Giải sgk Hoạt động trải nghiệm 12 - Cánh diều
- Giải sgk Giáo dục quốc phòng 12 - Cánh diều
- Giải sgk Âm nhạc 12 - Cánh diều


Giải bài tập SGK & SBT
Tài liệu giáo viên
Sách
Khóa học
Thi online
Hỏi đáp

